题目描述
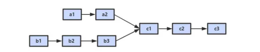
输入两个链表,找出它们的第一个公共结点。

image.png
代码实现
思路一
开始遍历两遍链表获取两个表的长度,比较长度让长的一个先走差值个步长,
再两个一起走。(快慢指针思想,也是链表问题的一般性思路)
public class Solution {
public ListNode FindFirstCommonNode(ListNode pHead1, ListNode pHead2) {
if(pHead1==null||pHead2==null)return null;
ListNode p = pHead1;
ListNode q = pHead2;
int length1 = getLength(p);
int length2 = getLength(q);
//如果链表1的长度大于链表2的长度
if(length1>=length2) {
int len = length1-length2;
//先遍历链表1,遍历的长度就是两链表的长度差
while(len>0) {
p=p.next;
len--;
}
}else if(length1<length2) {
//如果链表2的长度大于链表1的长度
int len = length2-length1;
//先遍历链表2,遍历的长度就是两链表的长度差
while(len>0) {
q=q.next;
len--;
}
}
//开始齐头并进,直到找到第一个公共结点
while(p!=q) {
p=p.next;
q=q.next;
}
return p;
}
//求指定链表的长度
private int getLength(ListNode q) {
int length = 0;
ListNode current = q;
while(current!=null) {
length++;
current=current.next;
}
return length;
}
}
思路2
如果有公共节点,
- 若两个链表长度相等,那么遍历一遍后,在某个时刻,p1 == p2
- 若两个链表长度不相等,那么短的那个链表的指针pn
也就是p1或p2)
必先为null,那么这时再另pn
链表头节点。经过一段时间后,
则一定会出现p1 == p2。
如果没有公共节点:这种情况可以看成是公共节点为null,顾不用再考虑。
public class Solution {
public ListNode FindFirstCommonNode(ListNode pHead1, ListNode pHead2) {
if(pHead1==null||pHead2==null)return null;
ListNode p = pHead1;
ListNode q = pHead2;
while(p!=q) {
if(p!=null) {
p=p.next;
}
if(q!=null) {
q=q.next;
}
if(p!=q) {
if(p==null) {
p=pHead1;
}
if(q==null) {
q=pHead2;
}
}
}
return p;
}
}

被折叠的 条评论
为什么被折叠?



