
| 🚀 算法题 🚀 |
🌲 算法刷题专栏 | 面试必备算法 | 面试高频算法 🍀
🌲 越难的东西,越要努力坚持,因为它具有很高的价值,算法就是这样✨
🌲 作者简介:硕风和炜,优快云-Java领域优质创作者🏆,保研|国家奖学金|高中学习JAVA|大学完善JAVA开发技术栈|面试刷题|面经八股文|经验分享|好用的网站工具分享💎💎💎
🌲 恭喜你发现一枚宝藏博主,赶快收入囊中吧🌻
🌲 人生如棋,我愿为卒,行动虽慢,可谁曾见我后退一步?🎯🎯
| 🚀 算法题 🚀 |


🚩 题目链接
⛲ 题目描述
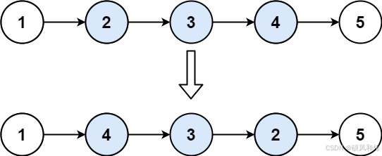
给你单链表的头指针 head 和两个整数 left 和 right ,其中 left <= right 。请你反转从位置 left 到位置 right 的链表节点,返回 反转后的链表 。
示例 1:

输入:head = [1,2,3,4,5], left = 2, right = 4
输出:[1,4,3,2,5]
示例 2:
输入:head = [5], left = 1, right = 1
输出:[5]
提示:
链表中节点数目为 n
1 <= n <= 500
-500 <= Node.val <= 500
1 <= left <= right <= n
进阶: 你可以使用一趟扫描完成反转吗?
🌟 求解思路&实现代码&运行结果
⚡ 链表
🥦 求解思路
- 首先,创建一个虚拟头节点并使其指向原链表的头节点,方便后续处理边界情况以及对链表进行操作。
- 接着,通过循环移动指针,定位到需要反转区间的前一个节点。
- 然后,利用头插法的思路来反转指定区间内的节点。具体做法是在循环中,先保存当前节点的下一个节点,接着改变当前节点的指针指向使其指向前一个节点,再更新前一个节点和当前节点的指针,以此类推,直至完成区间内所有节点的反转。
- 最后,调整指针,将反转后的区间与原链表剩余部分重新连接起来,使链表整体保持连贯,再返回虚拟头节点的下一个节点,也就是处理后的链表真正头节点,从而实现了对链表指定区间节点的反转。
- 有了基本的思路,接下来我们就来通过代码来实现一下。
🥦 实现代码
/**
* Definition for singly-linked list.
* public class ListNode {
* int val;
* ListNode next;
* ListNode() {}
* ListNode(int val) { this.val = val; }
* ListNode(int val, ListNode next) { this.val = val; this.next = next; }
* }
*/
class Solution {
public ListNode reverseBetween(ListNode head, int left, int right) {
if (head == null)
return null;
ListNode dummy = new ListNode(-1);
dummy.next = head;
ListNode p0 = dummy;
for (int i = 0; i < left - 1; i++) {
p0 = p0.next;
}
ListNode pre = null;
ListNode cur = p0.next;
for (int i = 0; i < right - left + 1; i++) {
ListNode tmp = cur.next;
cur.next = pre;
pre = cur;
cur = tmp;
}
p0.next.next = cur;
p0.next = pre;
return dummy.next;
}
}
🥦 运行结果

💬 共勉
| 最后,我想和大家分享一句一直激励我的座右铭,希望可以与大家共勉! |



491

被折叠的 条评论
为什么被折叠?



