
| 🚀 算法题 🚀 |
🌲 算法刷题专栏 | 面试必备算法 | 面试高频算法 🍀
🌲 越难的东西,越要努力坚持,因为它具有很高的价值,算法就是这样✨
🌲 作者简介:硕风和炜,优快云-Java领域优质创作者🏆,保研|国家奖学金|高中学习JAVA|大学完善JAVA开发技术栈|面试刷题|面经八股文|经验分享|好用的网站工具分享💎💎💎
🌲 恭喜你发现一枚宝藏博主,赶快收入囊中吧🌻
🌲 人生如棋,我愿为卒,行动虽慢,可谁曾见我后退一步?🎯🎯
| 🚀 算法题 🚀 |


🚩 题目链接
⛲ 题目描述
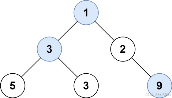
给定一棵二叉树的根节点 root ,请找出该二叉树中每一层的最大值。
示例1:

输入: root = [1,3,2,5,3,null,9]
输出: [1,3,9]
示例2:
输入: root = [1,2,3]
输出: [1,3]
提示:
二叉树的节点个数的范围是 [0,104]
-231 <= Node.val <= 231 - 1
🌟 求解思路&实现代码&运行结果
⚡ 二叉树 + BFS
🥦 求解思路
- 通过层序遍历二叉树,利用队列辅助实现。每次遍历一层时,先记录当前层节点数,初始化该层最大值为最小值,接着遍历这一层的每个节点,更新最大值,同时将非空左右子节点入队,一层遍历完后把该层最大值存入结果列表,最终返回存有各层最大值的列表。
- 有了基本的思路,接下来我们就来通过代码来实现一下。
🥦 实现代码
/**
* Definition for a binary tree node.
* public class TreeNode {
* int val;
* TreeNode left;
* TreeNode right;
* TreeNode() {}
* TreeNode(int val) { this.val = val; }
* TreeNode(int val, TreeNode left, TreeNode right) {
* this.val = val;
* this.left = left;
* this.right = right;
* }
* }
*/
class Solution {
public List<Integer> largestValues(TreeNode root) {
LeetCode 515:二叉树每层最大值的 BFS 解法

最低0.47元/天 解锁文章
416

被折叠的 条评论
为什么被折叠?



