
| 🚀 算法题 🚀 |
🌲 算法刷题专栏 | 面试必备算法 | 面试高频算法 🍀
🌲 越难的东西,越要努力坚持,因为它具有很高的价值,算法就是这样✨
🌲 作者简介:硕风和炜,优快云-Java领域优质创作者🏆,保研|国家奖学金|高中学习JAVA|大学完善JAVA开发技术栈|面试刷题|面经八股文|经验分享|好用的网站工具分享💎💎💎
🌲 恭喜你发现一枚宝藏博主,赶快收入囊中吧🌻
🌲 人生如棋,我愿为卒,行动虽慢,可谁曾见我后退一步?🎯🎯
| 🚀 算法题 🚀 |


🚩 题目链接
⛲ 题目描述
给你二叉树的根节点 root ,返回它节点值的 前序 遍历。
示例 1:
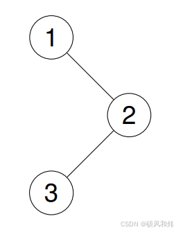
输入:root = [1,null,2,3]
输出:[1,2,3]
解释:

示例 2:
输入:root = [1,2,3,4,5,null,8,null,null,6,7,9]
输出:[1,2,4,5,6,7,3,8,9]
解释:

示例 3:
输入:root = []
输出:[]
示例 4:
输入:root = [1]
输出:[1]
提示:
树中节点数目在范围 [0, 100] 内
-100 <= Node.val <= 100
进阶:递归算法很简单,你可以通过迭代算法完成吗?
🌟 求解思路&实现代码&运行结果
⚡ 栈
🥦 求解思路
- 前序遍历的顺序,左,根,右,通过维护一个栈模拟递归的过程,因为栈是先进后出的,所以,需要先压入右子树节点,然后是左子树节点。
- 有了基本的思路,接下来我们就来通过代码来实现一下。
🥦 实现代码
/**
* Definition for a binary tree node.
* public class TreeNode {
* int val;
* TreeNode left;
* TreeNode right;
* TreeNode() {}
* TreeNode(int val) { this.val = val; }
* TreeNode(int val, TreeNode left, TreeNode right) {
* this.val = val;
* this.left = left;
* this.right = right;
* }
* }
*/
class Solution {
public List<Integer> preorderTraversal(TreeNode root) {
if (root == null)
return new ArrayList<Integer>();
List<Integer> ans = new ArrayList<>();
Deque<TreeNode> queue = new LinkedList<>();
queue.add(root);
while (!queue.isEmpty()) {
TreeNode node = queue.pollLast();
// 根
ans.add(node.val);
// 右子树
if (node.right != null) {
queue.add(node.right);
}
// 左子树
if (node.left != null) {
queue.add(node.left);
}
}
return ans;
}
}
🥦 运行结果

💬 共勉
| 最后,我想和大家分享一句一直激励我的座右铭,希望可以与大家共勉! |



2777

被折叠的 条评论
为什么被折叠?



