
| 🚀 算法题 🚀 |
🌲 算法刷题专栏 | 面试必备算法 | 面试高频算法 🍀
🌲 越难的东西,越要努力坚持,因为它具有很高的价值,算法就是这样✨
🌲 作者简介:硕风和炜,优快云-Java领域优质创作者🏆,保研|国家奖学金|高中学习JAVA|大学完善JAVA开发技术栈|面试刷题|面经八股文|经验分享|好用的网站工具分享💎💎💎
🌲 恭喜你发现一枚宝藏博主,赶快收入囊中吧🌻
🌲 人生如棋,我愿为卒,行动虽慢,可谁曾见我后退一步?🎯🎯
| 🚀 算法题 🚀 |


🚩 题目链接
⛲ 题目描述
给定一个二叉树,找出其最小深度。
最小深度是从根节点到最近叶子节点的最短路径上的节点数量。
说明:叶子节点是指没有子节点的节点。
示例 1:

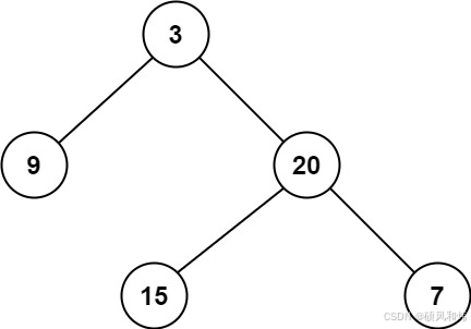
输入:root = [3,9,20,null,null,15,7]
输出:2
示例 2:
输入:root = [2,null,3,null,4,null,5,null,6]
输出:5
提示:
树中节点数的范围在 [0, 105] 内
-1000 <= Node.val <= 1000
🌟 求解思路&实现代码&运行结果
⚡ 二叉树
🥦 求解思路
- 使用深度优先搜索的方法,遍历整棵树,记录最小深度。对于每一个非叶子节点,分别计算其左右子树的最小叶子节点深度。将一个大问题转化为了小问题,通过递归地解决该问题。
- 有了基本的思路,接下来我们就来通过代码来实现一下。
🥦 实现代码
/**
* Definition for a binary tree node.
* public class TreeNode {
* int val;
* TreeNode left;
* TreeNode right;
* TreeNode() {}
* TreeNode(int val) { this.val = val; }
* TreeNode(int val, TreeNode left, TreeNode right) {
* this.val = val;
* this.left = left;
* this.right = right;
* }
* }
*/
class Solution {
public int minDepth(TreeNode root) {
if (root == null) {
return 0;
}
if (root.left == null && root.right == null) {
return 1;
}
int min_depth = Integer.MAX_VALUE;
if (root.left != null) {
min_depth = Math.min(minDepth(root.left), min_depth);
}
if (root.right != null) {
min_depth = Math.min(minDepth(root.right), min_depth);
}
return min_depth + 1;
}
}
🥦 运行结果

💬 共勉
| 最后,我想和大家分享一句一直激励我的座右铭,希望可以与大家共勉! |



486

被折叠的 条评论
为什么被折叠?



