
| 🚀 算法题 🚀 |
🌲 算法刷题专栏 | 面试必备算法 | 面试高频算法 🍀
🌲 越难的东西,越要努力坚持,因为它具有很高的价值,算法就是这样✨
🌲 作者简介:硕风和炜,优快云-Java领域优质创作者🏆,保研|国家奖学金|高中学习JAVA|大学完善JAVA开发技术栈|面试刷题|面经八股文|经验分享|好用的网站工具分享💎💎💎
🌲 恭喜你发现一枚宝藏博主,赶快收入囊中吧🌻
🌲 人生如棋,我愿为卒,行动虽慢,可谁曾见我后退一步?🎯🎯
| 🚀 算法题 🚀 |


🚩 题目链接
⛲ 题目描述
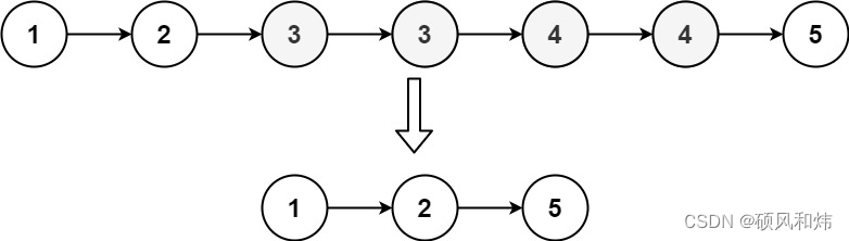
给定一个已排序的链表的头 head , 删除原始链表中所有重复数字的节点,只留下不同的数字 。返回 已排序的链表 。
示例 1:

输入:head = [1,2,3,3,4,4,5]
输出:[1,2,5]
示例 2:

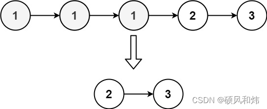
输入:head = [1,1,1,2,3]
输出:[2,3]
提示:
链表中节点数目在范围 [0, 300] 内
-100 <= Node.val <= 100
题目数据保证链表已经按升序 排列
🌟 求解思路&实现代码&运行结果
⚡ 链表
🥦 求解思路
- 首先注意,该题给定的链表中元素是有序的,因此重复的元素在链表中出现的位置是连续的。
- 因为链表的头节点可能会被删除,我们需要额外使用一个节点指向链表的头节点root。
- 假设当前的节点是cur,如果cur.next.val==cur.next.next.val,那么我们就需要将cur.next以及后面的节点都删除,该过程是可能存在多个相同元素的, 所以,通过while来实现。当然,如果cur.next.val!=cur.next.next.val,那么,我们直接让cur=cur.next即可。
- 最后,链表遍历一遍结束后,我们直接返回root.next的即可。
- 有了基本的思路,接下来我们就来通过代码来实现一下。
🥦 实现代码
/**
* Definition for singly-linked list.
* public class ListNode {
* int val;
* ListNode next;
* ListNode() {}
* ListNode(int val) { this.val = val; }
* ListNode(int val, ListNode next) { this.val = val; this.next = next; }
* }
*/
class Solution {
public ListNode deleteDuplicates(ListNode head) {
if (head == null)
return null;
ListNode root = new ListNode(-1);
root.next = head;
ListNode cur = root;
while (cur.next != null && cur.next.next != null) {
if (cur.next.val == cur.next.next.val) {
int val = cur.next.val;
while (cur.next != null && cur.next.val == val) {
cur.next = cur.next.next;
}
} else {
cur = cur.next;
}
}
return root.next;
}
}
🥦 运行结果

💬 共勉
| 最后,我想和大家分享一句一直激励我的座右铭,希望可以与大家共勉! |



572

被折叠的 条评论
为什么被折叠?



