抽象型矩阵的特征值与特征向量
![![[Pasted image 20251123040536.png]]](https://i-blog.csdnimg.cn/direct/1e0c1050c486401190c2bc418ea917e8.png)
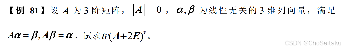
∣A∣=0,0是特征值A(α+β)=α+β, 1 是特征值.A(α−β)=β−α=(−1)(α−β), −1 是特征值.A的特征值:−1,0,1.A+2E的特征值:1,2,3(A+2E)∗=∣A+2E∣(A+2E)−1∣A+2E∣=1⋅2⋅3=6(A+2E)−1的特征值为1,12,13(A+2E)∗的特征值为6⋅1,6⋅12,6⋅13=6,3,2tr((A+2E)∗)=6+3+2=11 \begin{aligned} &|A|=0,0是特征值 \\ &A(\alpha + \beta) = \alpha + \beta,\ 1\ \text{是特征值}. \\ &A(\alpha - \beta) = \beta - \alpha = (-1)(\alpha - \beta),\ -1\ \text{是特征值}.\\ &A的特征值:-1, 0, 1. \quad A + 2E的特征值: 1, 2, 3 \\ &(A + 2E)^* = |A + 2E|(A + 2E)^{-1} \\ &|A+2E|=1 \cdot 2 \cdot 3 = 6\\&(A+2E)^{-1}的特征值为1,\frac{1}{2},\frac{1}{3}\\&(A+2E)^{*}的特征值为6\cdot1,6\cdot\frac{1}{2},6\cdot\frac{1}{3}=6,3,2\\&\text{tr}((A + 2E)^*) = 6+3+2=11 \end{aligned} ∣A∣=0,0是特征值A(α+β)=α+β, 1 是特征值.A(α−β)=β−α=(−1)(α−β), −1 是特征值.A的特征值:−1,0,1.A+2E的特征值:1,2,3(A+2E)∗=∣A+2E∣(A+2E)−1∣A+2E∣=1⋅2⋅3=6(A+2E)−1的特征值为1,21,31(A+2E)∗的特征值为6⋅1,6⋅21,6⋅31=6,3,2tr((A+2E)∗)=6+3+2=11
【小结】本题可作为结论来记,若有 Aα=β, Aβ=α,则 A 的特征值含1和−1。 \boxed{【小结】本题可作为结论来记,若有\ A\alpha = \beta,\ A\beta = \alpha,则\ A\ 的特征值含1和-1。} 【小结】本题可作为结论来记,若有 Aα=β, Aβ=α,则 A 的特征值含1和−1。
![![[Pasted image 20251123092813.png]]](https://i-blog.csdnimg.cn/direct/1dd19b56c555486c88987b7a8d251016.png)
解:A(β1,β2,β3)=2(β1,β2,β3), Aβ1=2β1, Aβ2=2β2, Aβ3=2β32 是A 的特征值,r(B)=2, 2 的重数≥2(E+A)x=0 有非零解,−1 为其特征值A 的特征值:−1, 2, 2A∗=∣A∣A−1 的特征值:4, −2, −2A∗−E 的特征值:3, −3, −3∣A∗−E∣=27 \begin{aligned} &\text{解:}A(\beta_1, \beta_2, \beta_3) = 2(\beta_1, \beta_2, \beta_3),\ A\beta_1 = 2\beta_1,\ A\beta_2 = 2\beta_2,\ A\beta_3 = 2\beta_3 \\ &2\ \text{是}A\ \text{的特征值,}r(B)=2,\ 2\ \text{的重数} \geq 2 \\ &(E+A)\boldsymbol{x}=0\ \text{有非零解,}-1\ \text{为其特征值} \\ &A\ \text{的特征值:}-1,\ 2,\ 2 \\ &A^* = |A|A^{-1}\ \text{的特征值:}4,\ -2,\ -2 \\ &A^* - E\ \text{的特征值:}3,\ -3,\ -3 \\ &|A^* - E| = 27 \end{aligned} 解:A(β1,β2,β3)=2(β1,β2,β3), Aβ1=2β1, Aβ2=2β2, Aβ3=2β32 是A 的特征值,r(B)=2, 2 的重数≥2(E+A)x=0 有非零解,−1 为其特征值A 的特征值:−1, 2, 2A∗=∣A∣A−1 的特征值:4, −2, −2A∗−E 的特征值:3, −3, −3∣A∗−E∣=27
【小结】(1) 如果 AB=C,则可以检验 B 和 C 对应的列是否是成比例的,如果是,则可以通过将矩阵 B,C 列分块凑出特征值和特征向量的定义。特别地,如果 AB=kB,则B 的每一列(非零的)都是矩阵 A 属于特征值 k 的特征向量。(2) 如果 r(A−kE)<n,则 k 为矩阵 A 的特征值。 \begin{aligned} \\&【小结】\\&(1)\ \text{如果}\ AB = C,\text{则可以检验}\ B\ \text{和}\ C\ \text{对应的列是否是成比例的,如果是,则可以} \\ &\text{通过将矩阵}\ B,C\ \text{列分块凑出特征值和特征向量的定义。特别地,如果}\ AB = kB,\text{则} \\ &B\ \text{的每一列(非零的)都是矩阵}\ A\ \text{属于特征值}\ k\ \text{的特征向量。} \\ & \\ &(2)\ \text{如果}\ r(A - kE) < n,\text{则}\ k\ \text{为矩阵}\ A\ \text{的特征值。} \end{aligned} 【小结】(1) 如果 AB=C,则可以检验 B 和 C 对应的列是否是成比例的,如果是,则可以通过将矩阵 B,C 列分块凑出特征值和特征向量的定义。特别地,如果 AB=kB,则B 的每一列(非零的)都是矩阵 A 属于特征值 k 的特征向量。(2) 如果 r(A−kE)<n,则 k 为矩阵 A 的特征值。
![![[Pasted image 20251123104455.png]]](https://i-blog.csdnimg.cn/direct/59e27c2c842c4f29bea1a0058b9a4ce5.png)
解:A 的特征值为 1, 1, 7.1 的特征向量为 k1(−110)+k2(−101), k1,k2不全为0;7 的特征向量为 k3(111), k3≠0.A∗=∣A∣A−1 的特征值为 7, 7, 1.7 的特征向量为 k1(−110)+k2(−101), k1,k2不全为0;1 的特征向量为 k3(111), k3≠0. \begin{aligned} &\text{解:}A\ \text{的特征值为}\ 1,\ 1,\ 7. \\ &1\ \text{的特征向量为}\ k_1\begin{pmatrix} -1 \\ 1 \\ 0 \end{pmatrix} + k_2\begin{pmatrix} -1 \\ 0 \\ 1 \end{pmatrix},\ k_1,k_2\text{不全为}0; \\ &7\ \text{的特征向量为}\ k_3\begin{pmatrix} 1 \\ 1 \\ 1 \end{pmatrix},\ k_3\neq0. \\ & \\ &A^* = |A|A^{-1}\ \text{的特征值为}\ 7,\ 7,\ 1. \\ &7\ \text{的特征向量为}\ k_1\begin{pmatrix} -1 \\ 1 \\ 0 \end{pmatrix} + k_2\begin{pmatrix} -1 \\ 0 \\ 1 \end{pmatrix},\ k_1,k_2\text{不全为}0; \\ &1\ \text{的特征向量为}\ k_3\begin{pmatrix} 1 \\ 1 \\ 1 \end{pmatrix},\ k_3\neq0. \end{aligned} 解:A 的特征值为 1, 1, 7.1 的特征向量为 k1−110+k2−101, k1,k2不全为0;7 的特征向量为 k3111, k3=0.A∗=∣A∣A−1 的特征值为 7, 7, 1.7 的特征向量为 k1−110+k2−101, k1,k2不全为0;1 的特征向量为 k3111, k3=0.
Aα=λαB(P−1α)=P−1APP−1α=P−1Aα=P−1λα=λP−1α \begin{aligned} A\alpha &= \lambda\alpha \\ B(P^{-1}\alpha) &= P^{-1}APP^{-1}\alpha = P^{-1}A\alpha = P^{-1}\lambda\alpha = \lambda P^{-1}\alpha \end{aligned} AαB(P−1α)=λα=P−1APP−1α=P−1Aα=P−1λα=λP−1α
(010101001)(100010001)→(100010001)(01−1100001)(01−1100001)(−1−11101011)=(1−10−1−11011)故 B+2E 的特征值为 9, 9, 3.9 的特征向量为 k1(1−10)+k2(−111), k1,k2 不全为0.3 的特征向量为 k3(011), k3≠0. \begin{aligned} &\begin{pmatrix} 0 & 1 & 0 \\ 1 & 0 & 1 \\ 0 & 0 & 1 \end{pmatrix} \begin{pmatrix} 1 & 0 & 0 \\ 0 & 1 & 0 \\ 0 & 0 & 1 \end{pmatrix} \to \begin{pmatrix} 1 & 0 & 0 \\ 0 & 1 & 0 \\ 0 & 0 & 1 \end{pmatrix} \begin{pmatrix} 0 & 1 & -1 \\ 1 & 0 & 0 \\ 0 & 0 & 1 \end{pmatrix} \\ & \\ &\begin{pmatrix} 0 & 1 & -1 \\ 1 & 0 & 0 \\ 0 & 0 & 1 \end{pmatrix} \begin{pmatrix} -1 & -1 & 1 \\ 1 & 0 & 1 \\ 0 & 1 & 1 \end{pmatrix} = \begin{pmatrix} 1 & -1 & 0 \\ -1 & -1 & 1 \\ 0 & 1 & 1 \end{pmatrix} \\ & \\ &\text{故}\ B + 2E\ \text{的特征值为}\ 9,\ 9,\ 3. \\ &9\ \text{的特征向量为}\ k_1\begin{pmatrix} 1 \\ -1 \\ 0 \end{pmatrix} + k_2\begin{pmatrix} -1 \\ 1 \\ 1 \end{pmatrix},\ k_1,k_2\ \text{不全为}0. \\ &3\ \text{的特征向量为}\ k_3\begin{pmatrix} 0 \\ 1 \\ 1 \end{pmatrix},\ k_3 \neq 0. \end{aligned} 010100011100010001→100010001010100−101010100−101−110−101111=1−10−1−11011故 B+2E 的特征值为 9, 9, 3.9 的特征向量为 k11−10+k2−111, k1,k2 不全为0.3 的特征向量为 k3011, k3=0.
![![[Pasted image 20251123111045.png]]](https://i-blog.csdnimg.cn/direct/2e0834d5a1354613a952b5c572763524.png)
选B。1和4
【小结】
矩阵AkAAnf(A)A−1A∗f(A−1)P−1APAT特征值λkλλnf(λ)λ−1∣A∣λ−1f(λ−1)λλ特征向量αααααααP−1α? \begin{array}{|c|c|c|c|c|c|c|c|c|c|} \hline \text{矩阵} & A & kA & A^n & f(A) & A^{-1} & A^* & f(A^{-1}) & P^{-1}AP & A^T \\ \hline \text{特征值} & \lambda & k\lambda & \lambda^n & f(\lambda) & \lambda^{-1} & |A|\lambda^{-1} & f(\lambda^{-1}) & \lambda & \lambda \\ \hline \text{特征向量} & \boldsymbol{\alpha} & \boldsymbol{\alpha} & \boldsymbol{\alpha} & \boldsymbol{\alpha} & \boldsymbol{\alpha} & \boldsymbol{\alpha} & \boldsymbol{\alpha} & P^{-1}\boldsymbol{\alpha} &? \\ \hline \end{array} 矩阵特征值特征向量AλαkAkλαAnλnαf(A)f(λ)αA−1λ−1αA∗∣A∣λ−1αf(A−1)f(λ−1)αP−1APλP−1αATλ?
Aα=λα,kAα=kλα,kAα=(kλ)αAnα=An−1Aα=An−1λα=λAn−1α=λAn−2Aα=λ2An−2α=⋯=λnαAα=λα,A−1Aα=A−1λα,α=λA−1α,A−1α=1λα∣AT−λE∣=∣(A−λE)T∣=∣A−λE∣ \begin{aligned} &A\alpha = \lambda\alpha, \quad kA\alpha = k\lambda\alpha, \quad kA\alpha = (k\lambda)\alpha \\ & \\ &A^n\alpha = A^{n-1}A\alpha = A^{n-1}\lambda\alpha = \lambda A^{n-1}\alpha = \lambda A^{n-2}A\alpha = \lambda^2 A^{n-2}\alpha \\ &\quad = \cdots = \lambda^n\alpha \\ & \\ &A\alpha = \lambda\alpha, \quad A^{-1}A\alpha = A^{-1}\lambda\alpha, \quad \alpha = \lambda A^{-1}\alpha, \quad A^{-1}\alpha = \frac{1}{\lambda}\alpha \\ & \\ &|A^T - \lambda E| = |(A - \lambda E)^T| = |A - \lambda E| \end{aligned} Aα=λα,kAα=kλα,kAα=(kλ)αAnα=An−1Aα=An−1λα=λAn−1α=λAn−2Aα=λ2An−2α=⋯=λnαAα=λα,A−1Aα=A−1λα,α=λA−1α,A−1α=λ1α∣AT−λE∣=∣(A−λE)T∣=∣A−λE∣
抽象矩阵特征值求解方法

被折叠的 条评论
为什么被折叠?



