0. 题干
给定一个链表,返回链表开始入环的第一个节点。 如果链表无环,则返回 null。
为了表示给定链表中的环,我们使用整数 pos 来表示链表尾连接到链表中的位置(索引从 0 开始)。 如果 pos 是 -1,则在该链表中没有环。
说明:不允许修改给定的链表。
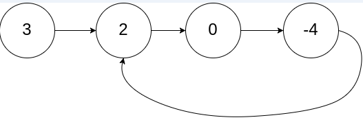
示例 1:
输入:head = [3,2,0,-4], pos = 1
输出:tail connects to node index 1
解释:链表中有一个环,其尾部连接到第二个节点。

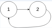
示例 2:
输入:head = [1,2], pos = 0
输出:tail connects to node index 0
解释:链表中有一个环,其尾部连接到第一个节点。

示例 3:
输入:head = [1], pos = -1
输出:no cycle
解释:链表中没有环。

1. 解法

(灵魂画手,大家见谅…)
相遇时:
slow走过的路程: x+y
fast走过的路程: x+y+z+y
–>
又因为fast 每次走两步,slow每次走一步,所以fast走过的路程是slow的两倍。
所以:
x+y+z+y = 2*(x+y)
z=x
即z=x,所以思路是,当快慢指针第一次相遇时,让其中一个指针指向头节点head,然后两个指针以同样的速度(同样的魔鬼步伐…)让后走,再次相遇的地方,必然在起始点,之后直接返回这个起始结点即可。
代码如下:
/***
* Definition for singly-linked list.
* struct ListNode {
* int val;
* ListNode *next;
* ListNode(int x) : val(x),next(NULL) {}
* };
*/
class Solution{
public:
ListNode *detectCycle(ListNode* head){
//两个指针位于同一起点
ListNode* fast=head; //快指针
ListNode* slow=head; //慢指针
if ( head == NULL) //输入链表为空,还找个屁
return NULL;
while (fast != NULL && fast->next != NULL)
{
fast=fast->next->next; //快指针每次迈两步
slow=slow->next; //慢指针每次迈一步
if ( fast == slow){ //如果两个能相等,说明链表有环
slow = head;
while (slow !=fast){ //快慢指针相遇则找到环的入口结点
fast=fast->next;
slow=slow->next;
}
return fast; // 不然肯定不相等,快指针永远比慢指针快
}
}
return NULL; //走到这里,说明快指针到了单链表的结尾,链表无环
}
};
本文OVER! 感谢阅读!
本文介绍了一种高效算法,用于检测链表中是否存在环,并定位环的起始节点。通过快慢指针技巧,当两者首次相遇后,将一指针移至头部,再同步移动直至再次相遇,即为环的起点。
41

被折叠的 条评论
为什么被折叠?



