规划问题
LP(Linear Programming, 线性规划)

最后返回值是决策向量的取值,和目标函数的最优解。
ILP(整数线性规划)一般包括三大类:
纯ILP:所有的变量都是整数
MILP:一部分变量是整数
0/1,整数变量只能是0,1.
IP(整数规划)

返回值同上。
MILP(混合整数线性规划)
优化问题中不仅有连续变量还有整数变量例如

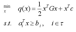
二次规划(quadratic programming)
一般形式为

目标函数是变量的二次函数,约束条件是变量的线性不等式
本文介绍了线性规划(LP)与整数规划(IP)的基本概念,包括纯ILP、MILP及0/1整数规划的不同类型。探讨了优化问题中连续与整数变量的处理方式,并对比了二次规划的一般形式。
规划问题
LP(Linear Programming, 线性规划)

最后返回值是决策向量的取值,和目标函数的最优解。
ILP(整数线性规划)一般包括三大类:
纯ILP:所有的变量都是整数
MILP:一部分变量是整数
0/1,整数变量只能是0,1.
IP(整数规划)

返回值同上。
MILP(混合整数线性规划)
优化问题中不仅有连续变量还有整数变量例如

二次规划(quadratic programming)
一般形式为

目标函数是变量的二次函数,约束条件是变量的线性不等式
2380
431
6486

被折叠的 条评论
为什么被折叠?