摘要:
近年来,大模型在代码生成和数学推理中展现出巨大潜力,但面对科学机器学习(Scientific Machine Learning, SciML)这样的高精度数值任务,大模型仍难以胜任。单一智能体往往无法同时处理包括数据分析、架构设计、物理推理、代码生成与实验调试在内的多环节任务,导致误差累积、推理不稳定,难以真正形成可用的科研流程。
为突破这些瓶颈,研究者提出了 AgenticSciML —— 一个由多个专职智能体协作工作的创新框架,能够自动分析任务、检索文献经验、提出科学模型改进方案、实现代码、调试并反思实验结果,形成完整的“科研循环”。
在多项 benchmark(如 PINN、PDE 求解、算子学习等)中,其性能可以大幅超越单模型方案,甚至能“发明”出文献中未明确提出的新 SciML 方法,展示出迈向自主科研的雏形。
一、研究背景:为什么需要AgenticSciML?
虽然大型语言模型已能自动编写代码、解释科学现象、优化参数,但面对复杂的科学问题,比如训练 PINN 求解 PDE,或构建高精度算子学习模型,仅靠一个大模型完成所有任务极其困难。科学建模本身就包含数据分析、物理约束选取、模型结构设计、训练策略调整等诸多环节,而任何一个环节出现错误,都可能导致最终结果失效。这些问题源于:
1.单智能体往往缺乏跨步骤的稳定性
写代码、调模型、改架构、查结果,这些任务差异巨大,单一大模型容易在长链条任务中累积错误。
2.科学问题需要“推理 + 文献知识 + 工程实现”的综合能力
例如:
- PINN 何时需要 domain decomposition?
- Operator learning 在多尺度问题中为何失效?
- Loss function 如何随残差分布自适应调整?
单一模型往往做不到全面兼顾。
3.科研具有“迭代改进”的结构性
需要不断试错、分析、修正——像人类科研团队一样。
这实际上类似一个科研团队:有人看数据、有人查文献、有人提出思路、有人尝试实现、有人分析结果。如果把所有事情丢给一个人,往往难以保证稳定性与系统性。
因此,AgenticSciML 的核心思想是:让不同 AI 扮演不同科研角色,让“科研协作结构”本身成为智能。不是一个大模型做所有事,而是一群分工明确的智能体协作完成科研流程。
这种结构性创新,是系统能够产生可解释、稳定且不断改进的 SciML 方法的关键。
二、研究方法:一个“科研团队式”的多智能体系统
AgenticSciML 包含多个各司其职的智能体,它们在一个统一框架下协作,逐步构建、优化并验证科学机器学习模型。整体流程如图1所示。

在整个过程中,用户通过自然语言给出问题描述。系统首先对这些描述进行结构化处理,包括任务目标、物理约束、数据来源以及评估指标。由此,它建立了一个完整的“问题契约”,为后续所有模型提供统一的评测标准。
随后,数据分析智能体会对训练数据进行自动探索,包括统计分布、边界层行为、奇异点检测、多尺度结构等,并将这些信息整理为一份报告。这份报告极其关键,因为许多 SciML 方法(如 PINN、DeepONet、FNO)对数据结构的敏感度很高,一个不恰当的建模决策很可能让训练直接失败。
在此基础上,系统进入最关键的一环:由多智能体共同驱动的模型进化搜索。这里有几个核心角色:
- Retriever 负责从知识库中检索潜在有用的方法,比如权重自适应、gPINN、domain decomposition、operator learning 技巧等。它相当于为科研讨论“准备参考文献”。
- Proposer 和 Critic 则组成模型创新的“辩论系统”。Proposer 逐步推理如何改进当前模型,而 Critic 则不断指出其潜在的漏洞、物理不一致性或工程不可行性。多轮辩论后,Proposer 会整理出一个完整且可执行的设计方案。
- Engineer 将方案转化为实际代码,Debugger 再对运行失败的部分进行调试,使模型能够真正进入训练。
- Result Analyst 对训练日志、残差字段、误差分布、可视化结果等进行分析,形成“实验总结”。这些总结会被写入 analysis base,成为后续迭代的参考依据。
每个Agent的主要作用以及类比的科研角色具体如下表所示:
| Agent | 主要作用 | 类比角色 |
| Root Engineer | 建立初始模型 | 初级研究员 |
| Data Analyst | 分析数据 | 数据科学家 |
| Evaluator | 规范评估流程 | 审计 / 评测专家 |
| Retriever | 检索相关 SciML 技术 | 文献检索专家 |
| Proposer | 设计解决方案 | 算法研究者 |
| Critic | 质疑与完善方案 | 同行评审 / 导师 |
| Engineer | 编码实现方案 | 软件工程师 |
| Debugger | 修复代码错误 | 调试工程师 |
| Result Analyst | 分析模型结果 | 研究助理 |
| Selector Agents | 选择进化树父节点 | 项目评审委员会 |
所有这些步骤共同组成了一次“科学探索循环”。系统会根据评估指标得分,选择表现最好的模型作为下一代“父模型”,并在其基础上继续探索新的变体,从而形成一个不断扩展和演化的“模型进化树”(如下图所示)。

结果与讨论:
在一系列 benchmark 测试中,AgenticSciML 展现了远超单模型方案的能力。在 PINN 求解、算子学习、多输入 PDE、稀疏流场重建等任务上,它能够通过多轮进化,逐步提高模型精度,某些场景下的误差甚至降低了几个数量级。
更值得注意的是,系统在多次实验中产生了文献中尚未提出的模型结构或训练策略,例如:
- 为适应复杂区域提出的“分区域解耦式 PINN”
- 针对残差分布自适应调整 loss 的训练调度策略
- 类似 MoE 的多专家结构用于物理区域划分
- 用 operator-learning 思路强化 PDE 解耦的神经算子模型
这些策略虽未在知识库中直接出现,但通过 Retriever 提供的背景知识、Proposer–Critic 辩论链条和 Result Analyst 的失败分析,系统得以进行跨方法组合和创新。
换句话说,它不仅能“复制”文献方法,更能综合不同方法的物理动机,自主提出新的 SciML 技术路线。这也是 AgenticSciML 令人兴奋之处。
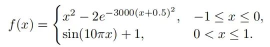
为节省篇幅,关键验证结果对比可见原文献。我们仅用算例A1.1——断点振荡函数拟合,来完整模拟过程:
在这个问题中,多智能体系统被要求基于提供的训练数据构建一个机器学习模型,以近似具有不连续性的分段振荡函数。目标函数定义为:

然而,系统无法访问函数的底层数学形式。他们只观察包含200个输入-输出对的训练数据集。还为模型评估提供了500个点的验证集,但在训练过程中没有泄漏。用户向系统提供了以下结构化提示:

智能体选择:下表总结了本实验中使用的智能体配置和进化参数。Gemini被用作提议者,因为它的长上下文窗口能够处理大量检索到的知识和分析报告。Claude因其强大的编码能力而被用作根工程师和主要工程代理。对于需要确定性输出的代理(如根工程师、评估员、工程师、调试器),温度参数(控制探索随机性的超参数)设置得较低,而对于创造性代理(如提议者、评论家、分析师),则设置得较高:

进化过程在6次迭代中产生了16个解决方案。在这个问题中将验证集上的MSE作为排名依据。下图显示了解决方案演化树。

下图跟踪了进化迭代中获得的最佳MSE。最佳MSE随着解决方案树在达到平台之前变深而降低。并按字数统计显示了关键规划代理的贡献。

冠军解(0100)的测试MSE为1.46×10−3,比根解(0.283)提高了194倍。获胜策略采用专家混合(MoE)架构,由两名专业专家组成:一个用于x<0区域的简单MLP,另一个用于振荡区域x>0的傅里叶特征增强MLP。二者在验证数据集上的拟合结果与误差如下图所示:

这个相对“简单”但具有挑战性的分段振荡函数拟合任务中,AgenticSciML 通过多智能体协作完成了从问题分析、方法检索、方案辩论、代码实现到训练评估的完整闭环,并在此过程中自动组合出 Mixture-of-Experts + Fourier features + 可训练门控 + 加权/熵正则 的完整解决方案,把验证集 MSE 降低194倍,展示了该框架在发现问题结构与生成针对性模型上的强大能力与效果。
如何学习大模型 AI ?
由于新岗位的生产效率,要优于被取代岗位的生产效率,所以实际上整个社会的生产效率是提升的。
但是具体到个人,只能说是:
“最先掌握AI的人,将会比较晚掌握AI的人有竞争优势”。
这句话,放在计算机、互联网、移动互联网的开局时期,都是一样的道理。
我在一线互联网企业工作十余年里,指导过不少同行后辈。帮助很多人得到了学习和成长。
我意识到有很多经验和知识值得分享给大家,也可以通过我们的能力和经验解答大家在人工智能学习中的很多困惑,所以在工作繁忙的情况下还是坚持各种整理和分享。但苦于知识传播途径有限,很多互联网行业朋友无法获得正确的资料得到学习提升,故此将并将重要的AI大模型资料包括AI大模型入门学习思维导图、精品AI大模型学习书籍手册、视频教程、实战学习等录播视频免费分享出来。

第一阶段(10天):初阶应用
该阶段让大家对大模型 AI有一个最前沿的认识,对大模型 AI 的理解超过 95% 的人,可以在相关讨论时发表高级、不跟风、又接地气的见解,别人只会和 AI 聊天,而你能调教 AI,并能用代码将大模型和业务衔接。
- 大模型 AI 能干什么?
- 大模型是怎样获得「智能」的?
- 用好 AI 的核心心法
- 大模型应用业务架构
- 大模型应用技术架构
- 代码示例:向 GPT-3.5 灌入新知识
- 提示工程的意义和核心思想
- Prompt 典型构成
- 指令调优方法论
- 思维链和思维树
- Prompt 攻击和防范
- …
第二阶段(30天):高阶应用
该阶段我们正式进入大模型 AI 进阶实战学习,学会构造私有知识库,扩展 AI 的能力。快速开发一个完整的基于 agent 对话机器人。掌握功能最强的大模型开发框架,抓住最新的技术进展,适合 Python 和 JavaScript 程序员。
- 为什么要做 RAG
- 搭建一个简单的 ChatPDF
- 检索的基础概念
- 什么是向量表示(Embeddings)
- 向量数据库与向量检索
- 基于向量检索的 RAG
- 搭建 RAG 系统的扩展知识
- 混合检索与 RAG-Fusion 简介
- 向量模型本地部署
- …
第三阶段(30天):模型训练
恭喜你,如果学到这里,你基本可以找到一份大模型 AI相关的工作,自己也能训练 GPT 了!通过微调,训练自己的垂直大模型,能独立训练开源多模态大模型,掌握更多技术方案。
到此为止,大概2个月的时间。你已经成为了一名“AI小子”。那么你还想往下探索吗?
- 为什么要做 RAG
- 什么是模型
- 什么是模型训练
- 求解器 & 损失函数简介
- 小实验2:手写一个简单的神经网络并训练它
- 什么是训练/预训练/微调/轻量化微调
- Transformer结构简介
- 轻量化微调
- 实验数据集的构建
- …
第四阶段(20天):商业闭环
对全球大模型从性能、吞吐量、成本等方面有一定的认知,可以在云端和本地等多种环境下部署大模型,找到适合自己的项目/创业方向,做一名被 AI 武装的产品经理。
- 硬件选型
- 带你了解全球大模型
- 使用国产大模型服务
- 搭建 OpenAI 代理
- 热身:基于阿里云 PAI 部署 Stable Diffusion
- 在本地计算机运行大模型
- 大模型的私有化部署
- 基于 vLLM 部署大模型
- 案例:如何优雅地在阿里云私有部署开源大模型
- 部署一套开源 LLM 项目
- 内容安全
- 互联网信息服务算法备案
- …
学习是一个过程,只要学习就会有挑战。天道酬勤,你越努力,就会成为越优秀的自己。
如果你能在15天内完成所有的任务,那你堪称天才。然而,如果你能完成 60-70% 的内容,你就已经开始具备成为一名大模型 AI 的正确特征了。
这份完整版的大模型 AI 学习资料已经上传优快云,朋友们如果需要可以微信扫描下方优快云官方认证二维码免费领取【保证100%免费】


被折叠的 条评论
为什么被折叠?



