图卷积网络基础知识
论文:SEMI-SUPERVISED CLASSIFICATION WITH
GRAPH CONVOLUTIONAL NETWORKS
论文地址:https://arxiv.org/pdf/1609.02907.pdf
Reference: https://zhuanlan.zhihu.com/p/107162772
GCN的网络结构

一个NNNDDD的矩阵XXX作为输入,其中NNN表示nodes的个数,DDD是输入特征的维度;输出ZZZ是一个NNNFFF的矩阵,FFF是输出特征的维度。
层级传导
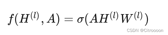
定义简单的f函数,作为基础的网络层

表示将图的邻接矩阵与隐藏层相乘,经过WWW的线性变换,再经过σ\sigmaσ的激活函数。
而AHAHAH代表什么含义?

假设输入层xi=[i,i,i,i]x_i=[i,i,i,i]xi=[i,i,i,i], 我们不难得出,x1′=x2+x5x'_1 = x_2+x_5x1′=x2+x5, 因为node1和node2与node5相连。其他的以此类推(见下图)

这样的问题是,AHAHAH会丢失原本这个node的信息, 只保留与之相邻的node信息,解决方案是,对每个节点手动增加一条self-loop 到每一个节点,用A^=A+I\hat{A} = A + IA^=A+I来代替AAA.
其次,为了避免每层越乘越大的问题,取归一化的AAA,即让每一行的和为1, A′=D−1AA' = D^{-1}AA′=D−1A, DDD是度矩阵(degree matrix), 实际运用中我们采用的是对称的normalization A′=D−1/2AD−1/2A' = D^{-1/2}AD^{-1/2}A′=D−1/2AD−1/2. 最终得到:

其中A^=A+I\hat{A} = A + IA^=A+I, D^\hat{D}D^是A^\hat{A}A^的度矩阵。
1525

被折叠的 条评论
为什么被折叠?



