(新A卷,200分)- 二维伞的雨滴效应(Java & JS & Python & C)
题目描述
普通的伞在二维平面世界中,左右两侧均有一条边,而两侧伞边最下面各有一个伞坠子,雨滴落到伞面,逐步流到伞坠处,会将伞坠的信息携带并落到地面,随着日积月累,地面会呈现伞坠的信息。
1、为了模拟伞状雨滴效应,用二叉树来模拟二维平面伞(如下图所示),现在输入一串正整数数组序列(不含0,数组成员至少是1个),若此数组序列是二叉搜索树的前序遍历的结果,那么请输出一个返回值1,否则输出0。
2、同时请将此序列构成的伞状效应携带到地面的数字信息输出来(左边伞坠信息,右边伞坠信息,详细参考示例图地面上数字),若此树不存在左或右扇坠,则对应位置返回0。同时若非二叉排序树那么左右伞坠信息也返回0。

输入描述
一个通过空格分割的整数序列字符串,数组不含0,数组成员至少1个,输入的数组的任意两个数字都互不相同,最多1000个正整数,正整数值范围1~65535
输出描述
输出如下三个值,以空格分隔:是否二叉排序树,左侧地面呈现的伞坠数字值,右侧地面呈现的伞坠数字值。
若是二叉排序树,则输出1,否则输出0(其左右伞坠值也直接赋值0)。
若不存存在左侧或者右侧伞坠值,那么对应伞坠值直接赋值0。
用例
| 输入 | 8 3 1 6 4 7 10 14 13 |
| 输出 | 1 1 13 |
| 说明 | 1表示是二叉搜索树前序遍历结果,1表示左侧地面呈现的伞坠数字值,13表示右侧地面呈现的伞坠数字值 |
题目解析
本题解题前需要先了解几个概念:
什么是二叉搜索树?
二叉搜索树,也叫二叉排序树,它具有如下特点:
- 若它的左子树不空,则左子树上所有结点的值均小于它的根结点的值
- 若它的右子树不空,则右子树上所有结点的值均大于它的根结点的值
- 它的左、右子树也分别为二叉搜索树
什么是前序遍历?
二叉树的遍历方式有:前序遍历、中序遍历、后序遍历,这里的”前、中、后“指的是二叉树根节点的遍历顺序,
- 前序遍历,可以理解为前根序,即:根左右(先遍历根,再遍历左子树,最后遍历右子树)
- 中序遍历,可以理解为中根序,即:左根右(先遍历左子树,再遍历根,最后遍历右子树)
- 后续遍历,可以理解为后根序,即:左右根(先遍历左子树,再遍历右子树,最后遍历根)
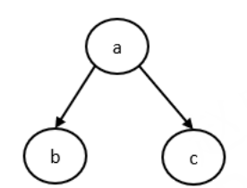
下面举个例子帮助理解,
上图二叉树的
- 前序遍历结果为:abc
- 中序遍历结果为:bac
- 后序遍历结果为:bca
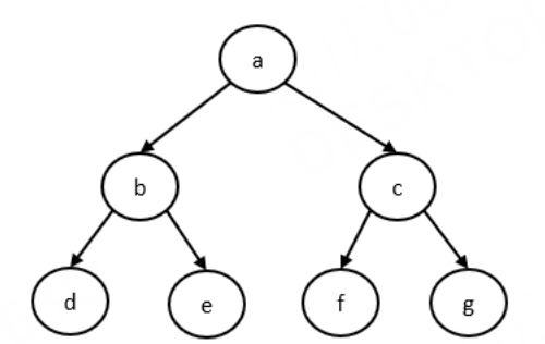
上图二叉树的
- 前序遍历结果为:【a】【[b][d][e]】【[c][f][g]】
- 中序遍历结果为:【[d][b][e]】【a】【[f][c][g]】
- 后序遍历结果为:【[d][e][b]】【[f][g][c]】【a】
知道上面概念后,我们再来看本题:
给定一个二叉树的前序遍历的结果序列,判断该二叉树是否为二叉搜索树?
我们知道前序遍历是:根左右,因此给定序列的第一个元素必然是根节点值。
假设根节点对应的序列索引范围是[start, end],那么根节点索引位置就是start。
而二叉搜索树的特点是:
- 根节点的值 大于 其左子树的所有节点的值
- 根节点的值 小于 其右子树的所有节点的值
因此,我们从start+1位置开始判断,如果satrt+1位置的元素值 < 根节点的元素值(start位置),那么start+1位置的元素就是根节点的左子树节点,按此逻辑,依次往后判断。
假设在 i 位置,发现 i 位置的元素 ≮ 根节点的元素值(start位置),则当前根节点的左子树索引范围是[satrt + 1, i - 1]
之后,我们从 i 位置开始判断,如果 i 位置的元素值 > 根节点的元素值(start位置),那么 i 位置的元素就是 根节点的右子树节点,按此逻辑,依次完后判断。
如果当前序列满足二叉搜索树前序遍历,那么最终,当前根节点的右子树索引范围必须是[i, end],
如果右子树索引范围的结束位置达不到end,则不合法。
按照上面逻辑,我们可以得到根节点、根的左子树、根的右子树。
之后,我们可以继续按上面逻辑递归的判断:根的左子树[satrt + 1, i - 1]、根的右子树[i, end],他们对应索引范围的子序列,是否满足二叉搜索树前序遍历的特点(根节点的值 大于 其左子树的所有节点的值、根节点的值 小于 其右子树的所有节点的值)
以上逻辑,是判断一个序列是否为二叉搜索树的前序遍历结果。但是本题还需要我们求解出:左边伞坠信息,右边伞坠信息
这里思维上最简单的做法是,根据前面判断二叉搜索树前序遍历序列的逻辑,生成一颗二叉搜索树,还原出二叉搜索树后
求解左边伞缀的逻辑:
- 从根节点开始,不停的遍历当前节点的左子节点,
- 如果存在左子节点,则递归继续遍历其左子节点,
- 如果不存在左子节点,此时需要看当前节点所处层级:
- 如果是第0层,则当前节点就是根节点,且当前根节点没有左子树,因此必然没有左边伞缀;
- 如果不是第0层,则需要检查当前节点是否存在右子节点,
- 如果存在右子节点,则将当前节点的右子节点当成下一层的节点,然后重复上面逻辑,
- 如果不存在右子节点,则说明当前节点就是叶子节点,且是最后一层,最左边的叶子节点,即左边伞缀信息。
求解右边伞缀的逻辑和上面差不多,大家可以自行推导。
JS算法源码
const rl = require("readline").createInterface({ input: process.stdin });
var iter = rl[Symbol.asyncIterator]();
const readline = async () => (await iter.next()).value;
void (async function () {
// 二叉搜索树前序遍历的结果序列
const preOrder = (await readline()).split(" ").map(Number);
// 二叉树的节点类定义
class Node {
constructor(val) {
this.val = val; // 节点值
this.left_child = null; // 当前节点的左子节点
this.right_child = null; // 当前节点的右子节点
}
}
// 二叉搜索树的根节点root
const root = new Node(preOrder[0]);
if (isValid(root, 0, preOrder.length - 1)) {
console.log(
`1 ${getFarLeftBottomVal(root, 0)} ${getFarRightBottomVal(root, 0)}`
);
} else {
console.log("0 0 0");
}
/**
* 判断preOrder数组是否为合法的二叉搜索树前序遍历结果序列,如果是,则根绝preOrder还原出对应二叉搜索树
* @param {*} root 二叉搜索树的节点,每个二叉搜索树节点都对应preOrder序列中的一段子序列
* @param {*} start 该子序列在preOrder中的范围的起始位置
* @param {*} end 该子序列在preOrder中的范围的结束位置
* @returns preOrder数组是否为合法的二叉搜索树前序遍历结果
*/
function isValid(root, start, end) {
// 如果当前节点对应的序列范围长度为1,则当前节点为叶子节点,无法继续递归,需要结束递归,而单个节点本身就是前序遍历结果,因此返回true
if (start == end) return true;
// 前序遍历即:根左右,因此start位置是当前序列对应的子树的根节点位置,当前子树的左子子树从start+1位置开始判断
let i = start + 1;
// 二叉搜索树的特点是:当前节点的左子节点值 < 当前节点的值
while (i <= end && preOrder[i] < root.val) {
i++;
}
// i 最终指向左右子树的分界位置
let j = i;
// 二叉搜索树的特点是:当前节点的右子节点值 > 当前节点的值
while (j <= end && preOrder[j] > root.val) {
j++;
}
// j 最终指向右子树的终点位置的后一个位置,而右子树的终点位置必须在end,因此合法的二叉搜索树前序遍历结果 j > end
if (j <= end) return false;
// i 最终指向左右子树的分界位置
// 如果 i > start + 1,则存在左子树
if (i > start + 1) {
// 创建当前节点的左子树节点
root.left_child = new Node(preOrder[start + 1]);
// 递归判断左子树对应的序列范围是否为前序遍历结果
if (!isValid(root.left_child, start + 1, i - 1)) {
// 若不是,则preOrder无法还原出二叉搜索树
return false;
}
}
// i 最终指向左右子树的分界位置
// 如果 i <= end,则存在右子树
if (i <= end) {
// 创建当前节点的右子树节点
root.right_child = new Node(preOrder[i]);
// 如果右子树对应的序列是合法的前序遍历结果,结合前面左子树对应的序列也是合法的前序遍历结果,则preOrder整体就是合法的前序遍历结果
return isValid(root.right_child, i, end);
}
return true;
}
// 递归查找二叉树的左缀点,即二叉树最后一层中,最靠左的点
function getFarLeftBottomVal(root, level) {
// 如果当前节点存在左子节点,则递归查找其左子节点
if (root.left_child != null) {
return getFarLeftBottomVal(root.left_child, level + 1);
}
// 如果当前节点没有左子节点,则检查当前节点处于哪一层
if (level > 0) {
if (root.right_child != null) {
// 如果当前节点不处于第0层,且存在右子节点,则递归查找其右子节点
return getFarLeftBottomVal(root.right_child, level + 1);
} else {
// 如果当前节点不处于第0层,且不存在右子节点,则当前节点即为左缀点
return root.val;
}
} else {
// 如果当前节点处于第0层,且没有左子节点,则没有左缀点,按题目要求返回0
return 0;
}
}
// 递归查找二叉树的右缀点,即二叉树最后一层中,最靠右的点
function getFarRightBottomVal(root, level) {
if (root.right_child != null) {
return getFarRightBottomVal(root.right_child, level + 1);
}
if (level > 0) {
if (root.left_child != null) {
return getFarRightBottomVal(root.left_child, level + 1);
} else {
return root.val;
}
} else {
return 0;
}
}
})();
Java算法源码
import java.util.Arrays;
import java.util.Scanner;
public class Main {
// 二叉树的节点类定义
static class Node {
int val; // 节点值
Node left_child; // 当前节点的左子节点
Node right_child; // 当前节点的右子节点
public Node(int val) {
this.val = val;
}
}
// 二叉搜索树前序遍历的结果序列
static int[] preOrder;
public static void main(String[] args) {
Scanner sc = new Scanner(System.in);
preOrder = Arrays.stream(sc.nextLine().split(" ")).mapToInt(Integer::parseInt).toArray();
System.out.println(getResult());
}
public static String getResult() {
// 二叉搜索树的根节点root
Node root = new Node(preOrder[0]);
if (isValid(root, 0, preOrder.length - 1)) {
return 1 + " " + getFarLeftBottomVal(root, 0) + " " + getFarRightBottomVal(root, 0);
} else {
return "0 0 0";
}
}
/**
* 判断preOrder数组是否为合法的二叉搜索树前序遍历结果序列,如果是,则根绝preOrder还原出对应二叉搜索树
*
* @param root 二叉搜索树的节点,每个二叉搜索树节点都对应preOrder序列中的一段子序列
* @param start 该子序列在preOrder中的范围的起始位置
* @param end 该子序列在preOrder中的范围的结束位置
* @return preOrder数组是否为合法的二叉搜索树前序遍历结果
*/
public static boolean isValid(Node root, int start, int end) {
// 如果当前节点对应的序列范围长度为1,则当前节点为叶子节点,无法继续递归,需要结束递归,而单个节点本身就是前序遍历结果,因此返回true
if (start == end) return true;
// 前序遍历即:根左右,因此start位置是当前序列对应的子树的根节点位置,当前子树的左子子树从start+1位置开始判断
int i = start + 1;
// 二叉搜索树的特点是:当前节点的左子节点值 < 当前节点的值
while (i <= end && preOrder[i] < root.val) {
i++;
}
// i 最终指向左右子树的分界位置
int j = i;
// 二叉搜索树的特点是:当前节点的右子节点值 > 当前节点的值
while (j <= end && preOrder[j] > root.val) {
j++;
}
// j 最终指向右子树的终点位置的后一个位置,而右子树的终点位置必须在end,因此合法的二叉搜索树前序遍历结果 j > end
if (j <= end) return false;
// i 最终指向左右子树的分界位置
// 如果 i > start + 1,则存在左子树
if (i > start + 1) {
// 创建当前节点的左子树节点
root.left_child = new Node(preOrder[start + 1]);
// 递归判断左子树对应的序列范围是否为前序遍历结果
if (!isValid(root.left_child, start + 1, i - 1)) {
// 若不是,则preOrder无法还原出二叉搜索树
return false;
}
}
// i 最终指向左右子树的分界位置
// 如果 i <= end,则存在右子树
if (i <= end) {
// 创建当前节点的右子树节点
root.right_child = new Node(preOrder[i]);
// 如果右子树对应的序列是合法的前序遍历结果,结合前面左子树对应的序列也是合法的前序遍历结果,则preOrder整体就是合法的前序遍历结果
return isValid(root.right_child, i, end);
}
return true;
}
// 递归查找二叉树的左缀点,即二叉树最后一层中,最靠左的点
public static int getFarLeftBottomVal(Node root, int level) {
// 如果当前节点存在左子节点,则递归查找其左子节点
if (root.left_child != null) {
return getFarLeftBottomVal(root.left_child, level + 1);
}
// 如果当前节点没有左子节点,则检查当前节点处于哪一层
if (level > 0) {
if (root.right_child != null) {
// 如果当前节点不处于第0层,且存在右子节点,则递归查找其右子节点
return getFarLeftBottomVal(root.right_child, level + 1);
} else {
// 如果当前节点不处于第0层,且不存在右子节点,则当前节点即为左缀点
return root.val;
}
} else {
// 如果当前节点处于第0层,且没有左子节点,则没有左缀点,按题目要求返回0
return 0;
}
}
// 递归查找二叉树的右缀点,即二叉树最后一层中,最靠右的点
public static int getFarRightBottomVal(Node root, int level) {
if (root.right_child != null) {
return getFarRightBottomVal(root.right_child, level + 1);
}
if (level > 0) {
if (root.left_child != null) {
return getFarRightBottomVal(root.left_child, level + 1);
} else {
return root.val;
}
} else {
return 0;
}
}
}
Python算法源码
# 输入获取
preOrder = list(map(int, input().split())) # 二叉搜索树前序遍历的结果序列
# 二叉树的节点类定义
class Node:
def __init__(self, val):
self.val = val # 节点值
self.left_child = None # 当前节点的左子节点
self.right_child = None # 当前节点的右子节点
def isValid(root, start, end):
"""
判断preOrder数组是否为合法的二叉搜索树前序遍历结果序列,如果是,则根绝preOrder还原出对应二叉搜索树
:param root: 二叉搜索树的节点,每个二叉搜索树节点都对应preOrder序列中的一段子序列
:param start: 该子序列在preOrder中的范围的起始位置
:param end: 该子序列在preOrder中的范围的结束位置
:return: preOrder数组是否为合法的二叉搜索树前序遍历结果
"""
# 如果当前节点对应的序列范围长度为1,则当前节点为叶子节点,无法继续递归,需要结束递归,而单个节点本身就是前序遍历结果,因此返回true
if start == end:
return True
# 前序遍历即:根左右,因此start位置是当前序列对应的子树的根节点位置,当前子树的左子子树从start+1位置开始判断
i = start + 1
# 二叉搜索树的特点是:当前节点的左子节点值 < 当前节点的值
while i <= end and preOrder[i] < root.val:
i += 1
# i 最终指向左右子树的分界位置
j = i
# 二叉搜索树的特点是:当前节点的右子节点值 > 当前节点的值
while j <= end and preOrder[j] > root.val:
j += 1
# j 最终指向右子树的终点位置的后一个位置,而右子树的终点位置必须在end,因此合法的二叉搜索树前序遍历结果 j > end
if j <= end:
return False
# i 最终指向左右子树的分界位置
# 如果 i > start + 1,则存在左子树
if i > start + 1:
# 创建当前节点的左子树节点
root.left_child = Node(preOrder[start + 1])
# 递归判断左子树对应的序列范围是否为前序遍历结果
if not isValid(root.left_child, start + 1, i - 1):
# 若不是,则preOrder无法还原出二叉搜索树
return False
# i 最终指向左右子树的分界位置
# 如果 i <= end,则存在右子树
if i <= end:
# 创建当前节点的右子树节点
root.right_child = Node(preOrder[i])
# 如果右子树对应的序列是合法的前序遍历结果,结合前面左子树对应的序列也是合法的前序遍历结果,则preOrder整体就是合法的前序遍历结果
return isValid(root.right_child, i, end)
return True
# 递归查找二叉树的左缀点,即二叉树最后一层中,最靠左的点
def getFarLeftBottomVal(root, level):
# 如果当前节点存在左子节点,则递归查找其左子节点
if root.left_child is not None:
return getFarLeftBottomVal(root.left_child, level + 1)
# 如果当前节点没有左子节点,则检查当前节点处于哪一层
if level > 0:
if root.right_child is not None:
# 如果当前节点不处于第0层,且存在右子节点,则递归查找其右子节点
return getFarLeftBottomVal(root.right_child, level + 1)
else:
# 如果当前节点不处于第0层,且不存在右子节点,则当前节点即为左缀点
return root.val
else:
# 如果当前节点处于第0层,且没有左子节点,则没有左缀点,按题目要求返回0
return 0
# 递归查找二叉树的右缀点,即二叉树最后一层中,最靠右的点
def getFarRightBottomVal(root, level):
if root.right_child is not None:
return getFarRightBottomVal(root.right_child, level + 1)
if level > 0:
if root.left_child is not None:
return getFarRightBottomVal(root.left_child, level + 1)
else:
return root.val
else:
return 0
# 核心代码
def getResult():
# 二叉搜索树的根节点root
root = Node(preOrder[0])
if isValid(root, 0, len(preOrder) - 1):
return f"1 {getFarLeftBottomVal(root, 0)} {getFarRightBottomVal(root, 0)}"
else:
return "0 0 0"
# 算法调用
print(getResult())
C算法源码
#include <stdio.h>
#include <stdlib.h>
#define MAX_SIZE 1000
#define TRUE 1
#define FALSE 0
// 二叉树的节点定义
typedef struct Node {
int val; // 节点值
struct Node* left_child; // 当前节点的左子节点
struct Node* right_child; // 当前节点的右子节点
} NODE;
// 函数声明
int isValid(NODE* root, int start, int end);
int getFarLeftBottomVal(NODE* root, int level);
int getFarRightBottomVal(NODE* root, int level);
// 全局变量
int pre_order[MAX_SIZE];
int pre_order_size = 0;
// 程序入口
int main()
{
// 输入获取
while (scanf("%d", &pre_order[pre_order_size++])) {
if (getchar() != ' ') break;
}
// 算法调用
NODE* root = (NODE*) malloc(sizeof(NODE)); // 二叉搜索树的根节点root
root->val = pre_order[0];
root->left_child = NULL;
root->right_child = NULL;
if (isValid(root, 0, pre_order_size - 1)) {
char res[20];
sprintf(res, "1 %d %d", getFarLeftBottomVal(root, 0), getFarRightBottomVal(root, 0));
puts(res);
}
else {
puts("0 0 0");
}
return 0;
}
/**
* 判断preOrder数组是否为合法的二叉搜索树前序遍历结果序列,如果是,则根绝preOrder还原出对应二叉搜索树
*
* @param root 二叉搜索树的节点,每个二叉搜索树节点都对应preOrder序列中的一段子序列
* @param start 该子序列在preOrder中的范围的起始位置
* @param end 该子序列在preOrder中的范围的结束位置
*/
int isValid(NODE* root, int start, int end)
{
// 如果当前节点对应的序列范围长度为1,则当前节点为叶子节点,无法继续递归,需要结束递归,而单个节点本身就是前序遍历结果,因此返回true
if (start == end) {
return TRUE;
}
// 前序遍历即:根左右,因此start位置是当前序列对应的子树的根节点位置,当前子树的左子子树从start+1位置开始判断
int i = start + 1;
// 二叉搜索树的特点是:当前节点的左子节点值 < 当前节点的值
while (i <= end && pre_order[i] < root->val) {
i++;
}
// i 最终指向左右子树的分界位置
int j = i;
// 二叉搜索树的特点是:当前节点的右子节点值 > 当前节点的值
while (j <= end && pre_order[j] > root->val) {
j++;
}
// j 最终指向右子树的终点位置的后一个位置,而右子树的终点位置必须在end,因此合法的二叉搜索树前序遍历结果 j > end
if (j <= end) {
return FALSE;
}
// i 最终指向左右子树的分界位置
// 如果 i > start + 1,则存在左子树
if (i > start + 1) {
// 创建当前节点的左子树节点
NODE* lc = (NODE*) malloc(sizeof(NODE));
lc->val = pre_order[start + 1];
lc->left_child = NULL;
lc->right_child = NULL;
root->left_child = lc;
// 递归判断左子树对应的序列范围是否为前序遍历结果
if (!isValid(root->left_child, start + 1, i - 1)) {
// 若不是,则preOrder无法还原出二叉搜索树
return FALSE;
}
}
// i 最终指向左右子树的分界位置
// 如果 i <= end,则存在右子树
if (i <= end) {
// 创建当前节点的右子树节点
NODE* rc = (NODE*) malloc(sizeof(NODE));
rc->val = pre_order[i];
rc->left_child = NULL;
rc->right_child = NULL;
root->right_child = rc;
// 如果右子树对应的序列是合法的前序遍历结果,结合前面左子树对应的序列也是合法的前序遍历结果,则preOrder整体就是合法的前序遍历结果
return isValid(root->right_child, i, end);
}
return TRUE;
}
// 递归查找二叉树的左缀点
int getFarLeftBottomVal(NODE* root, int level)
{
// 如果当前节点存在左子节点,则递归查找其左子节点
if (root->left_child != NULL) {
return getFarLeftBottomVal(root->left_child, level + 1);
}
// 如果当前节点没有左子节点,则检查当前节点处于哪一层
if (level > 0) {
if (root->right_child != NULL) {
// 如果当前节点不处于第0层,且存在右子节点,则递归查找其右子节点
return getFarLeftBottomVal(root->right_child, level + 1);
}
else {
// 如果当前节点不处于第0层,且不存在右子节点,则当前节点即为左缀点
return root->val;
}
}
else {
// 如果当前节点处于第0层,且没有左子节点,则没有左缀点,按题目要求返回0
return 0;
}
}
// 递归查找二叉树的右缀点
int getFarRightBottomVal(NODE* root, int level)
{
if (root->right_child != NULL) {
return getFarRightBottomVal(root->right_child, level + 1);
}
if (level > 0) {
if (root->left_child != NULL) {
return getFarRightBottomVal(root->left_child, level + 1);
}
else {
return root->val;
}
}
else {
return 0;
}
}


3738

被折叠的 条评论
为什么被折叠?



