作者:茉茉
链接:https://www.zhihu.com/question/20099757/answer/13971886
来源:知乎
著作权归作者所有。商业转载请联系作者获得授权,非商业转载请注明出处。
本來,按照定義,方差的 estimator 應該是這個:

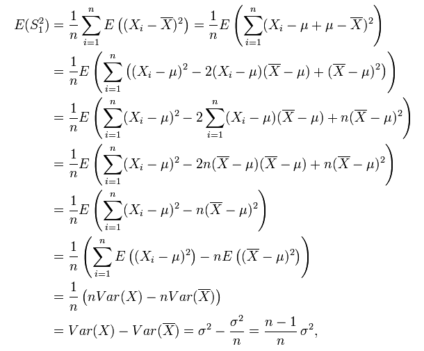
但,這個 estimator 有 bias,因為:

而 (n-1)/n * σ² != σ² ,所以,為了避免使用有 bias 的 estimator,我們通常使用它的修正值 S²:

作者:茉茉
链接:https://www.zhihu.com/question/20099757/answer/13971886
来源:知乎
著作权归作者所有。商业转载请联系作者获得授权,非商业转载请注明出处。
本來,按照定義,方差的 estimator 應該是這個:

但,這個 estimator 有 bias,因為:

而 (n-1)/n * σ² != σ² ,所以,為了避免使用有 bias 的 estimator,我們通常使用它的修正值 S²:


被折叠的 条评论
为什么被折叠?