注:此文档仅用于学习记录,部分内容引用于王道考研的视频课
一、滑动窗口协议分类
滑动窗口协议主要分为以下三类:停止等待协议(Stop-and-Wait ARQ)、后退N帧协议(Go-Back-N ARQ)和选择性重传协议(Selective Repeat ARQ)。
停止等待协议(Stop-and-Wait ARQ):这是最简单的滑动窗口协议形式,窗口大小固定为1。发送方发送一个数据帧后,停止发送并等待接收方的确认帧(ACK)。如果在规定时间内收到ACK,发送方继续发送下一个数据帧;若超时未收到ACK,则重发该数据帧。这种协议的优点是简单易实现,但缺点是信道利用率低,因为发送方在等待确认的过程中处于空闲状态。
后退N帧协议(Go-Back-N ARQ):该协议的发送窗口大小大于1,接收窗口大小仍为1。发送方可以连续发送多个数据帧,而不需要等待每个帧的确认。接收方按顺序接收数据帧,如果收到一个正确的帧,就发送一个确认帧给发送方。如果某个帧丢失或出错,接收方会等待后续的帧,直到收到一个序号不正确的帧时,才发送一个针对最后一个正确接收帧的确认帧。这种协议提高了信道利用率,但在信道误码率高的情况下,可能会导致发送方的发送进度经常需要后退,传输效率低下。
选择性重传协议(Selective Repeat ARQ):在这种协议中,每个数据帧发出时都设置一个计时器。如果某个数据帧未收到确认,计时器超时后重传该数据帧。如果接收方检测到错误,会发送否认帧(NAK)给发送方,发送方收到NAK后重传对应的数据帧。这种协议允许发送方只重传丢失或出错的数据帧,而不是整个窗口内的数据帧,提高了传输的可靠性。
注意:上述的三种协议目前没有明确规定用于计算机网络的哪一层中,由于教材的更新,实际上三种ARQ可以作用于数据链路层也可以作用于传输层,如果作用于链路层,那么发送的数据就是帧;如果说作用于传输层,那么发送的数据就是数据报,此时滑动窗口协议在教材中还有另一种说法:TCP流量控制、拥塞控制。
本文的二、三、四章节主要针对链路层的实现,对于传输层的概念集中于五、六两章节讲解!
二、停止等待协议
顾名思义,发送发 发送了一帧数据后,必须等到接收方接受到信息,并返回一个ack确认帧后才能再次发送第二帧,可以将停止等待协议看成一个特殊的,发送方和接收方的窗口大小都是1的滑动窗口协议。
1.停等协议无差错情况

这边为什么需要1bit来编号,而且为什么1位就足够呢?可以不编号吗?带着这些疑问往下看,当出现差错的情况下怎么办?
2.发送方出现差错

发送方发送1帧后,在RTT时间内没有收到确认帧,那么就会触发超时重传,这里有两点需要注意的:
(1)由于需要触发超时重传,所以每次发送帧的时候都需要保存当前帧的一个副本
(2)数据帧和确认帧需要编号,这个就是上一小节的疑问点了,为什么要编号很好理解,因为接收方如果收到了相同的帧序号,就说明这是一个重复帧,那么会丢弃上一帧,如果不编号,那么发送方不知道接收方你给我的确认帧是哪一帧的,接收方也不知道你发送的帧是不是重复帧,就会出现数据传输不可靠
那为什么用1位就可以呢?其实答案和上述的一样,1位bit可以表示0和1。我们模拟一下场景:
发送方:发送0帧。接收方:收到0帧,发送ACK=0
发送方:收到ACK=0,发送1帧。接收方:收到1帧,但是接收方检测到这个帧有问题,那好,我不给发送方确认信息了,因为这个帧有问题
发送方:RTT超时重传,没有收到ACK=1,说明需要重传1号帧,而不是0号帧。接收方:收到了1号帧的重传,因为帧编码是1,所以明确知道这个重传的是哪一个帧。
所以1位bit位就足够了(本质原因还是停等协议窗口大小就=1),那么有同学会问?2位3位更多位可以吗?当然可以,只是没必要浪费存储空间
3.接收方出现差错
接收方出现差错即ACK丢失,和2小节的概念其实也差不多很好理解,发送方超时重传了1帧,然后接收方收到了1帧,由于帧已经编号了,所以知道这个帧是要覆盖掉原来的帧,这里也可以解释为什么要对帧编号的理由。
4.ACK延迟

以上图为例,发送方发了0帧后,接收方发送的ACK=0在网络上太慢了,这时候发送方启动了超时重传,重新发送0帧,这时候接收方收到后 丢弃重复的0帧,重新发第二个ACK=0,并且这时候网速正常,接收方也收到了ACK=0,并且开始发送1帧,但发送完1帧后,接收方才收到了最早的第一个ACK=0的信息,这时候发送方就要对这个信息丢弃,那么接收方怎么知道这个ACK信息不是刚才发的1帧的ACK呢?很简单因为编码了呀!ACK=0,这里同样也可以解释为什么要对帧编码
5.停等协议性能分析

TD、TA表示的这一帧从第0bit开始发送,到最后一位bit发送结束的时间(发送n位bit的事件),也叫发送时延
RTT表示往返时延
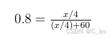
相关例题:

题干分析:4kb/s就是发送bit速度,单向传播时延是30ms,那么RTT往返就是60ms,由于停等协议确认帧只有1位,我们忽略不计确认帧的发送时延,那么假设数据帧长度为x,根据公式可以得出x=960

三、后退N帧协议
为了应对停等协议的信道利用率低的情况,就有了后退N帧协议,此协议也是基于流水线的进一步优化。
后退N帧协议中发送窗口一般都是大于1,接受窗口固定为1。我们以图片形式来简单描述一下GBN协议的基本流程
1.我们假设窗口大小是6,窗口中0,1,2三个帧开始发送

2.上图中,其中0号帧接收到数据了,接收方窗口开始移动一位,如下图所示

3.上图中,其中1号帧接到到数据了,接收方窗口继续移动一位,如下图所示

4.上图中,其中2号帧也收到数据了,接收方窗口继续移动一位,且这一段的数据都接受成功了,所以发送一个ACK=2,表明我0,1,2三个帧都收到了,此时发送方开始移动窗口,知道前面三个帧已经完事了,如下图所示

至此GBN的基本逻辑讲解完毕,可以看到,GBN采用了滑动窗口协议,相比较于停等协议,接收端采用了累计确认的方式,帧0发送的时候,帧1帧2等都能继续发送,不需要等到帧0的ACK码后再发送,接收端收到一组信息后会发送一个ACK=N的确认信息,表示N编号及之前的帧我都确认无误收到了。
使用累计确认的好处:
1.即使确认分组丢失,发送方也可能不必重传,比如累计确认返回了ACK=3,然后又返回了ACK=6,但ACK=3在返回过程中丢失了,发送方只收到了ACK=6,但也不影响后续的传输,数据还是可靠的。
2.减少接收方的开销。
使用累计确认的坏处:
1.不能及时的和发送方确认帧丢失情况
当然上述只是理想情况,既然是GBA回退N帧协议,那么我们看下当出现传输异常的时候,是怎么做回退N帧的呢?
GBN重传
我们来看下如果在传输过程中出现了差错,那么GBN协议是如何进行重传,且如何保证重传数据是可靠的呢?我们看如下例子,这里就不采用累计重传的方式,主要是方便理解。
如上图所示,发送窗口为4,当0和1帧发送,并且收到了ACK0和ACK1的时候,发送窗口移动两格,这时候4和5帧开始发送,2号帧在传输过程中丢失,导致3号帧先到达,由于接收窗口只接受2号帧,和3号不匹配,所以立马发送ACK=1,表示0和1号帧是正确的,同时4和5号帧也达到了,同样和2号帧不匹配,也发送ACK=1,这里就要具体细分:
(a)有些网络结构定义同时接受了多次ACK=N时,直接触发重传,重发N+1号帧及后面已发送的所有帧。
(b)不触发重传,等到2号帧触发了超时后(一直没有收到ACK=2),对所有已发送的帧全部重发。
GBN窗口大小
假设对帧编码为n位,即帧的编码范围是[0,2n-1],即如果n=3,编码范围就是0-7,那么发送窗口大小范围限定在[1,2n-1],接收窗口大小固定=1,为什么发送窗口要这么限制呢?我们假设发送窗口大小为8,我们看如下异常,假设0-7帧(一共8个)全部发送,接收方收到之后返回一个ACK=7,同时窗口向后移动了7位,但ACK=7在返回过程中丢失了,所以发送方触发超时重传机制,对0-7帧全部重传,重传之后的数据对于接收方来说,这个数据并不知道是新的一组数据还是重复数据,所以会出现真实的数据中会出现两组一模一样的包,如下图所示:

最后发送ACK=7的时候出现异常,那么发送方会对所有已发送的帧全部超时重传,重传结果如下,很明显出错了:

那窗口大小在正常范围内,怎么就不会异常了呢?我们假设:如果窗口大小为限制到7,最后发送ACK=6的时候异常了,那么发送方全部重传已发送的帧,这时候接受窗口序号=7,重传的序列是0-6,这时候会发现全部不符合,接收方就会继续返回ACK=6,直到发送窗口恢复正常,如下图所示,最终发送窗口恢复到正常范围。

相关例题:
(1)

分析:发送方只收到了0,2,3帧的确认,根据累计重传原则:ACK=3表明,0,1,2,3帧全部正确接受了,4号帧发送后一直没有收到ACK,所以4,5,6,7需要重传,选择C
(2)

分析:想要达到最大平均传输率,甲窗口1000的字段需要一次性全部发出,甲发送窗口的发送时延=100010008/100M=0.08s=80ms,RTT=50*2=100ms,这两个数字什么意思呢?我们来画张图好了解了

可以看到在红色区域内的这20ms没有被利用到,这个时间段内,发送发不在发送数据,接收方返回的ACK也没有在路上,所以最大数据传输率=80%,选择C即可
(3)

分析:信道利用率要达到最高,那么我们假设利用率拉满了=100%,按照上述例题(2)的图来说,就是第一帧发送出去~最后一帧发送出去前,这个时间段内(也可以说发送时延)已经收到了第一帧的ACK码。题目中说帧的比特数至少是多少?换种说话就是支持发送最多帧,那么我们把数据帧的长度限定在最小就能算出至少,那么128字节的帧发送时间=(1288bit)/(161000bit/s)=64ms,经过RTT传播时延收到ACK的时间=64+270*2=668ms,在668ms内要确保发送方一直在发送帧,所以发送了=668/64=10.4(帧),用4位bit位即可编码。如下图所示

四、选择重传协议
上述GBN协议中,虽然相比较于停等协议效率大大提高,但是我们发现回退N帧实际上会把已经传输好的数据再次发送,难免造成了资源浪费,那么针对这个进一步优化,选择重传协议就来了,我们就只重传出错的帧
方法:设置单个确认,同时加大接收窗口,设置接收缓存,缓存乱序到达的帧

首先了解一下大致的逻辑,发送方和接收方都有两个窗口,且大于1,发送方发送一批帧后,什么时候会开始滑动发送窗口呢?我们知道GBN协议中,当收到了ACK码后(表面接收方的帧已经是有序的)会开始滑动,但是在SR协议中,我们可能会收到的ACK码是无序的,比如上图中,2,3,4帧都发送出去了,但是ACK=3优先被确认,2还是待确认,所以这时候窗口是不能动的,换句话说只有ACK=N(N是窗口的左临界点)窗口才会滑动,滑动到最小未确认帧处。
那什么时候开始滑动接收窗口呢?我们知道GBN协议中,只要发送方发送的帧和窗口中预期帧一样就滑动,不一样直接丢弃,但是SR协议中,接收窗口大小可不是1,这里分为两类情况:
(a)如果收到的帧在窗口预期内的一样,如果是左临界点,那么窗口滑动到最小未确认帧处,如果不是,窗口不动,直接缓存非左临界点的帧。
(b)如果收到的帧都不在窗口预期内,直接舍弃
按照上图所示,6号帧先被接收到了,但由于6不是左临界点,所以缓存起来,后面5号帧来了,5号帧是左临界点,那么滑动窗口开始移动,移动到最小未确认帧处,即7号帧位置
SR超时
SR协议中,每一个帧都有计时器,如果在规定时间内没有收到ACK,则会触发重传
(1)ACK码异常,导致超时重传,以下图为例,来了一个7帧(然后返回ACK=7),由于5还没收到,需要缓存起来

缓存后,5号帧也来了(然后返回ACK=5),如下图

这时候接收方窗口开始滑动,结果如下图

但是呢,上面说了,5,6,7发送的ACK码可能丢失了,所以发送方出现超时重传,所以我们可能在滑动窗口0,1,2,3的情况下,收到了小于左下界的帧(4,5,6,7,上一个窗口的帧),这种情况下我们其实不用关心,我们只需要再次发送一个ACK即可,表明我们实际上已经收到了这个帧,只是ACK丢失了
(2)发送出现异常,导致超时重传

以上图为例开始解析,假设发送窗口和接收窗口大小都是4
(a) 发送窗口开始发送0帧,接受窗口收到0帧,并返回ACK=0,由于0帧是左下界,所以接受窗口移动到最小未确认出,现在窗口范围是1,2,3,4
(b) 发送窗口发送1帧,接受窗口收到1帧,并返回ACK=1,由于1帧是左下界,所以接收窗口移动到最小未确认出,现在窗口范围是2,3,4,5
(c ) 发送窗口开始发送2帧,但是发送过程中丢失了
(d) 发送窗口开始发送3帧,接收方收到了3帧,并返回ACK=3,但是3帧不是窗口左下界,所以窗口不能动,3帧开始缓存
(e) 最开始的ACK=0收到了,由于0是发送窗口左下界,所以发送窗口开始移动,现在发送窗口是1,2,3,4,这时候4号帧开始发送
(f) 接收到了4号帧,由于4号帧不是左下界,缓存起来,然后发送ACK=4
(g) 最开始的ACK=1收到了,由于1是发送窗口左下界,所以发送窗口开始移动,现在发送窗口是2,3,4,5,这时候5号帧开始发送
(h) 接收到了5号帧,由于5号帧不是左下界,缓存起来,然后发送ACK=5
(i) 2帧一直没有收到ACK=2,触发超时重传
(j) 接收方收到2号帧,由于2是窗口左下界,所以窗口移动,并且3,4,5都缓存起来了,所以窗口直接变成6,7,0,1,同时ACK=2返回
(k) 收到了ACK=3,由于3不是左下界,所以不动,只知道3帧对方明确收到缓存了,只有等到ACK=2收到后,才滑动窗口到6,7,0,1
SR窗口大小
以下图为例

0,1,2三个帧都收到了,窗口移动变成3,0,1,但是这ACK=0在返回过程中丢失了,发送窗口0号帧超时触发了重传,然后接收方收到了0号帧,但是这个0号帧在窗口3,0,1中被缓存起来了,也就说旧帧被当真新帧了。
结论,Wtmax=Wrmax=2(n-1),注意区分GBN发送窗口大小是2n-1
相关例题
(1)
分析:收到了1号帧的确认=接收方1号帧缓存,发送方1号帧确认收到,0,2超时了,所以需要重发0,2两帧,选择A。可能有人会有疑问:0-3帧一共4帧,编码位数就是2,那么窗口大小就是最大是22-1=2,0号帧没有收到ACK=0的情况下,2号帧不应该能发出去啊??哈哈,问题点在于题干中没说0-3一定是完全编码好的,可能是编码位数是3位(0,1,2,3,4,5,6,7),窗口大小这时候是23-1=4,这样可以直接发送0-3帧。
注:选择重传是不需要累计确认的
五、TCP流量控制
此节的流量控制讲的主要是TCP的流量控制。采用的也是滑动窗口机制,但是区别在于发送窗口的大小是动态变化的。上面几节的滑动窗口机制用于数据链路层,所以窗口都是固定大小的。
概念:在通信过程中,接收方根据自己接收缓存的大小,动态的调整发送窗口大小(发送方通过接收方发送的ACK确认报文中的字段来确定发送窗口大小)。发送窗口=Min(接收窗口rwnd,拥塞窗口cwnd)
案例介绍:
1.首先发送方A和接收方B建立TCP连接,建立连接的时候B就已经告诉A我的接收窗口大小是多少了,然后A确认好发送窗口。这边我们以窗口4为例。

2.发送方开始发送数据,A开始给B发送seq=1的,第一组数据

3.发送方开始发送数据,A开始发送给Bseq=101,第二组数据

4.发送方开始发送数据,seq=201,但是发送途中丢失了

5.这时候B收到了前面两条报文seq=1,seq=101的数据了,开始处理数据上交上层,这里处理细节不做过多讨论,假设一个结论,处理完毕后自己的接收窗口rwnd=300,这时候需要返回给A相关数据了

如上图所示,发送ACK=1表面这是有效数据,ack=201表明201以前所有的数据已经接收到了(注意这里用的是累计确认),rwnd=300表示自己可用的缓存窗口大小
6.A收到了相关信息后,知道了我前面发送的两个报文已经确认收到了(ack=201),那么我可以窗口滑动了,但是呢,又收到了rwnd=300,所以重新滑动窗口后的样式如下图:

深蓝色表示已发送,浅色表示未发送,整体窗口大小为300
7.由于201~300的字段发送方不知道有没有丢失(超时器没有重传、也没有收到冗余ack),所以发送方继续发送301 ~400的报文

8.发送方继续发送401~500的报文

9.此时窗口所有数据已经发送完毕了,但是同时也一直没有收到ack码,所以此阶段处于等待阶段,不能再发送任何新报文
10.原先发送的seq=201的重传计时器超时,开始重传发送,记住!!这里重传了旧报文,即使发送窗口大小=0,还是可以发送的

11.B收到了seq=301和seq=401的两条报文,并返回ACK=1,ack=501的返回信息,同时自己处理缓存窗口数据,返回的rwnd=100

此时A等了半天终于收到了B来的ack码了,终于可以滑动窗口继续发新报文了,又看到了rwnd=100,所以滑动新窗口,设置新的窗口大小,如下图所示:

12.开始发送501~600的报文,我们可以看到这时候把rwnd设置成100的情况下,就是几乎是停等协议了,你发一个出去只有等到B返回了ack码才能继续发送

13.B收到seq=501,由于自己服务端很忙,自己没有额外的缓存窗口了,返回一个rwnd=0,告诉发送方你不要再发了,我这里承受不住了(笑嘻)

14.A收到rwnd=0,窗口设置为0,表示不再发送了(犹如晴天霹雳),此时A进入等待状态,一直等待B发送一个rwnd的新确认窗口大小,来告诉我什么时候可以再发了。当然了,如果B因为网络原因给你返回的rwnd丢失了,就会出现所谓的一个死锁状态:
A一直在等B发送的rwnd新窗口大小,B由于之前已经给你发送了一个非0的rwnd,一直等你重新给我发消息,出现了互相等的情况了。
所以针对上述情况,如果A收到了rwnd=0的情况,会开启一个计时器,超时后重新发送一个试探报文给B,表面我可以不可以发数据了,B返回一个当前最新rwnd,如果返回的最新rwnd还是0,那么计时器置0,重新开始新的一个循环。

注:可能大家有疑问,明明B表面了rwnd=0了,为什么还能收到探测报文呢?TCP协议规定:接收窗口即使大小为0的状态下,也需要留有空间接收探测报文等紧急报文
六、拥塞控制
拥塞控制相比较于上述的流量控制,拥塞控制是全局性的,流量控制是点对点的。在拥塞控制中就有几个非常重要的概念:拥塞窗口、慢开始、拥塞避免、快重传、快恢复
以下图为例,我们假设发送方的窗口不收接收方的接收窗口未定,仅仅限制于网络的拥塞情况决定。

慢开始和拥塞避免算法是1988年提出的(TCP tahoe)算法,现已废弃

为了进一步增加效率,1990年提出的新算法(TCP reno版本)新增了快重传与快恢复。
比如:在原先版本中,在cwnd到24的时候,由于网络出现的偶发性延迟,出发了超时重传,这种情况下容易被误判断成拥塞,为了避免这种情况,用更加准确的快重传逻辑。如下图所示快重传逻辑:M3丢失,发送M4、M5、M6的时候,都不是接收方想要的报文段,所以每次都会返回一个确认ack=M2的字段,发送方收到了这个字段就重新发送M3,从而不会错误的认为网络拥塞,导致设置了cwnd=1从而降低了网络性能效率。

我们再来看快恢复:发送方收到了接收方的3个快重传ACK就知道有报文个别丢失了,就不会认为网络拥塞了,直接快恢复即可,即发送方将慢开始门限值调整为当前窗口值的一半,然后开始拥塞避免算法

相关例题:

分析:16KB发生了超时,说明这个值是拥塞的阈值,直接开始更新cwnd=1,开始慢开始,这时候阈值=8kb,所以发送了三个RTT后就到了8,然后开始拥塞避免,第四个RTT往返就是9了,答案选择C。用人可能会问,你为什么不走快重传和快恢复呢?记住!快重传快恢复只是减少被误判断拥塞的情况罢了,题干中说了很清楚刀了16kb发生了超时,且发送的数据足够多,我们可以简单的理解成就是全局情况下的超时(而且你哪怕用快重传快恢复的逻辑来算,答案也没有你算到的啊- -。。。)

七、总结
1.滑动窗口协议不算一个协议,它本质上是一个抽象概念,滑动窗口协议在数据链路层可以具体应用到GBN回退N协议、SR选择重传协议、停等协议(特殊的滑动窗口),同时上述的三种协议又可以定义为ARQ(自动重传协议)。同时滑动窗口协议在传输层可以应用于TCP的流量控制欲拥塞避免。
2.停等协议的发送窗口和接收窗口大小都是1;GBN回退N帧协议的发送窗口大小[1,2n-1],接受窗口大小=1;SR选择重传协议的发送窗口和接收窗口大小,Wtmax=Wrmax=2(n-1),n=报文序号的编码位数。
3.拥塞控制和流量控制的发送窗口大小不是固定的,区别于应用于数据链路层的滑动窗口协议。
4.快重传和快恢复主要是增加拥塞避免的效率,这俩也是绑定在一起的。
9087

被折叠的 条评论
为什么被折叠?



