💡GraphQL 为什么要叫 GraphQL,其中的 Graph 体现在什么地方❓
GraphQL 的查询语句,看起来是 JSON 写法的一种简化。而 JSON 是一个 Tree 树形数据结构。为什么不叫 TreeQL,而是 GraphQL 呢?
Tree 🆚 Graph
那我们先来看看 什么是 Tree,什么是 Graph,它们有什么关系?
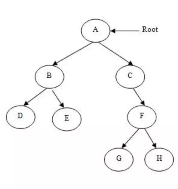
Tree 的结构示意图:

Tree 有且只有一个 Root 节点,并且对于每个非 Root 节点,有且只有一个父节点;它们组成了一个层次结构。其中任意两个节点,有且只有一条连接路径;没有循环,也没有递归引用。
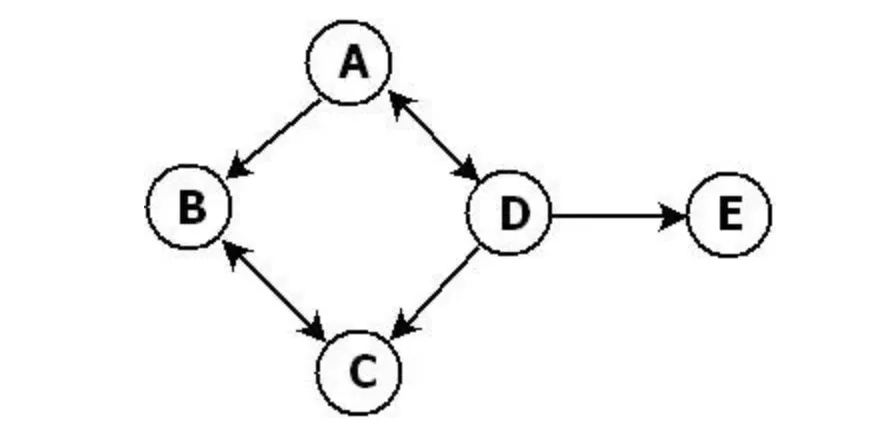
Graph 的结构示意图:

而 Graph 里的节点之间,可能存在不只一种连接路径,可能存在循环,可能存在递归引用,可能没有 Root 节点。它们组成了一个网络结构。
我们可以把 Graph 这种网络结构,通过裁剪连接路径,把它压缩成任意节点只有唯一连接路径的简化形态。如此网络结构退化成层次结构,它变成了 Tree。
也就是说,Graph 是比 Tree 更复杂的数据结构,后者是它的简化形式。 拥有 Graph,我们可以按照不同的裁剪方式,衍生出不同的 Tree。而 Tree 里包含的信息,如果不增加其它额外数据,不足以构建足够复杂的 Graph 结构。
GraphQL 里的 Graph 结构
在 GraphQL 里,承担 构建网络结构 的,并非 GraphQL 查询语句,而是基于 GraphQL Type System 构建的 Schema。

上图是一个 GraphQL Schema,定义了 A, B, C, D 和 E 五种数据类型,它们分别挂载到 入口类型 Query 里的 a, b, c, d 和 e 字段里。
A, B, C, D, E 里面,包含着递归的结构。A 里面包含 B 和 C,B 里面包含 C 和 D,……,E 里面又包含 A,又回到了 A。
有

本文探讨了GraphQL中的Graph结构,解释了为何不叫TreeQL。通过对比Tree和Graph,展示了Graph的复杂性和灵活性。GraphQL的Graph结构允许根据查询语句裁剪数据网络,避免冗余。文中还讨论了GraphQL在社交网络和电商平台等场景的应用,并解答了关于GraphQL的几个常见问题,如其不一定要操作数据库、与RESTful API并非对立、不限于后端服务、不一定要Schema以及返回数据不一定是JSON格式。
最低0.47元/天 解锁文章
711

被折叠的 条评论
为什么被折叠?



