描述
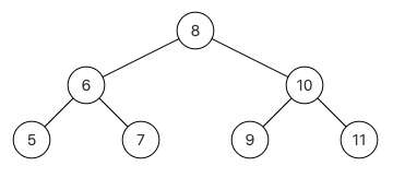
给定一个二叉树其中的一个结点,请找出中序遍历顺序的下一个结点并且返回。注意,树中的结点不仅包含左右子结点,同时包含指向父结点的next指针。下图为一棵有9个节点的二叉树。
示例:
输入:{8,6,10,5,7,9,11},8
返回:9
解析:这个组装传入的子树根节点,其实就是整颗树,中序遍历{5,6,7,8,9,10,11},根节点8的下一个节点就是9,应该返回{9,10,11},后台只打印子树的下一个节点,所以只会打印9,如下图,其实都有指向左右孩子的指针,还有指向父节点的指针,下图没有画出来

数据范围:节点数满足 1 \le n \le 50 \1≤n≤50 ,节点上的值满足 1 \le val \le 100 \1≤val≤100
要求:空间复杂度 O(1) \O(1) ,时间复杂度 O(n)\O(n)
输入描述:
输入分为2段,第一段是整体的二叉树,第二段是给定二叉树节点的值,后台会将这2个参数组装为一个二叉树局部的子树传入到函数GetNext里面,用户得到的输入只有一个子树根节点
返回值描述:
返回传入的子树根节点的下一个节点,后台会打印输出这个节点
示例1
输入:
{8,6,10,5,7,9,11},8
复制返回值:
9
如下:

红色数字是中序遍历的顺序。接下来,我们就假设,如果当前结点分别是1,2 ... 7,下一结点看有什么规律没?
|
1 2 3 4 5 6 7 |
|
此时,可以总结一下:
[1] 是一类:特点:当前结点是父亲结点的左孩子
[2 3 6] 是一类,特点:当前结点右孩子结点,那么下一节点就是:右孩子结点的最左孩子结点,如果右孩子结点没有左孩子就是自己
[4 5]是一类,特点:当前结点为父亲结点的右孩子结点,本质还是[1]那一类
[7]是一类,特点:最尾结点
class Solution {
public:
TreeLinkNode* GetNext(TreeLinkNode* pNode)
{
if (!pNode) {
return pNode;
}
// 属于[2 3 6]类
if (pNode->right) {
pNode = pNode->right;
while (pNode->left) {
pNode = pNode->left;
}
return pNode;
}
// 属于 [1] 和 [4 5]
while (pNode->next) {
TreeLinkNode *root = pNode->next;
if (root->left == pNode) {
return root;
}
pNode = pNode->next;
}
// 属于[7]
return nullptr;
}
};
这篇博客讨论了一种在给定二叉树中找到中序遍历下一个节点的方法。根据中序遍历的顺序,节点分为四类,并提供了对应的处理策略。算法的空间复杂度为O(1),时间复杂度为O(n)。示例展示了如何在给定的二叉树结构中找到特定节点的后续节点。
491

被折叠的 条评论
为什么被折叠?



