今天对LSTM网络进行学习。
在理解LSTM网络之前,我们首先要对Recurrent Neural Networks(RNNs)递归神经网络进行了解。
RNN递归神经网络
以我们人类来说,我们不会将所有的东西都全部丢弃,然后用空白的大脑进行思考。我们的思想拥有持久性。而在传统神经网络中,模型不会关注上一时刻的处理会有什么信息可以用于下一时刻,每一次都只会关注当前时刻的处理。假设我们希望对电影中的每个时间点的时间类型进行分类,传统的神经网络很难使用电影中先前的事件推断后续的事件。
而RNN能够解决这一问题。RNN 是包含循环的网络,允许信息的持久化。
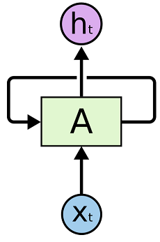
简单来说,RNN网络带有一个指向自身的环,用来表示它可以传递当前时刻处理的信息给下一时刻使用,结构如下:

上图中Xt为输入,ht为输出,A为隐藏层。可以看到,上图隐藏层有一条指向自身的路径,在这一过程中,隐藏层将输入传递到一个记忆单元中,通过记忆单元保存上一时刻的信息再传递给下一隐藏层,将上图展开可以更直观理解这个过程:

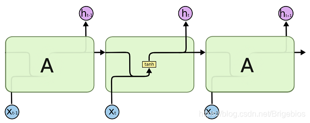
这样的一条链状神经网络代表了一个递归神经网络,可以认为它是对相同神经网络的多重复制,每一时刻的神经网络会传递信息给下一时刻。以一个语言模型为例,我们有一个句子:“What is the problem?”我们要根据句子中已出现的词预测当前词是什么,递归神经网络的工作原理如下:

在第一层输入词“What”时,我们预测出当前词is,此时输入词同时保存到记忆单元中传输到下一个预测中,并与第二个输入词“is”共同预测出第二个预测词the,同样再把输入保存到记忆单元中继续下一步预测。这样就实现了神经网络的信息传递,也就是RNN网络的原理。
理论上来说,RNN是可以记忆任意长度序列的信息的,即RNN的记忆单元中可以保存此前很长时刻网络的状态,但是在实际的使用中我们发现,RNN的记忆能力总是很有限,它通常只能记住最近几个时刻的网络状态,也就是说它并不能很好地处理长时依赖问题。还是以语言模型为例,如果遇到一个较长的句子,那么预测结果就没那么理想了。而LSTM网络可以很好地解决这个问题。
LSTM神经网络
**长短时记忆网络(Long Short Term Memory Network, LSTM)**是一种特殊的RNNs,可以很好地解决长时依赖问题。那么它与常规神经网络有什么不同?
首先我们来看RNNs具体一点的结构:

所有的递归神经网络都是由重复神经网络模块构成的一条链,可以看到它的处理层非常简单,通常是一个单tanh层,通过当前输入及上一时刻的输出来得到当前输出。与神经网络相比,经过简单地改造,它已经可以利用上一时刻学习到的信息进行当前时刻的学习了。
LSTM的结构与上面相似,不同的是它的重复模块会比较复杂一点,它有四层结构:

LSTM共由四个部分组成,分别是三个门(forget gate、input gate、output gate)与一个记忆单元(cell)。方框内上方的那条水平线,被称为cell state(单元状态),它就像一个传送带,可以控制信息传递给下一时刻。
LSTM通过门控单元可以对记忆单元添加和删除信息。通过门可以有选择地决定信息是否通过,下面分别对三个门的功能进行解析。
遗忘门(图左部分):

遗忘门的功能是决定应丢弃或保留哪些信息。来自前一个隐藏状态的信息ht-1和当前输入的信息xt同时传递到 sigmoid 函数中去,输出值介于 0 和 1 之间,越接近 0 意味着越应该丢弃,越接近 1 意味着越应该保留。
输入门(中间部分):

输入门用于更新单元状态。首先将前一层隐藏状态的信息和当前输入的信息传递到 sigmoid 函数中去得到输出it。将值调整到 0~1 之间来决定要更新哪些信息。0 表示不重要,1 表示重要。
其次还要将前一层隐藏状态的信息和当前输入的信息传递到 tanh 函数中去,创造一个新的侯选值向量Ct。
最后将 sigmoid 的输出值与 tanh 的输出值相乘,sigmoid 的输出值将决定 tanh 的输出值中哪些信息是重要且需要保留下来的。
单元状态(图上侧):

下一步,就是计算单元状态。首先前一层的单元状态Ct-1与前面计算的遗忘向量逐点相乘。如果它乘以接近 0 的值,意味着在新的单元状态中,这些信息是需要丢弃掉的。然后再将该值与输入门的输出值逐点相加,将神经网络发现的新信息更新到单元状态中去。至此,就得到了更新后的单元状态。
输出门(图右部分):

输出门用来确定下一个隐藏状态的值,隐藏状态包含了先前输入的信息。首先,我们将前一个隐藏状态ht-1和当前输入xt传递到 sigmoid 函数中得到ot,然后将新得到的单元状态传递给 tanh 函数。
最后将 tanh 的输出与 sigmoid 的输出相乘,以确定隐藏状态应携带的信息。再将隐藏状态作为当前的输出,把新的单元状态Ct和新的隐藏状态ht传递到下一个时间步长中去。
门结构中包含着 sigmoid 和tanh函数。Sigmoid 激活函数与 tanh 函数类似,不同之处在于 sigmoid 是把值压缩到 0~1 之间而不是 -1~1 之间。这样的设置有助于更新或忘记信息,因为任何数乘以 0 都得 0,这部分信息就会剔除掉。同样的,任何数乘以 1 都得到它本身,这部分信息就会完美地保存下来。这样网络就能了解哪些数据是需要遗忘,哪些数据是需要保存。tanh函数是对先前学到信息的压缩处理,起到稳定数值的作用,两者的结合学习就是递归神经网络的学习思想。
结构变形
LSTM网络还有其它变形。思想相近,简单进行一下介绍。
1.peephole connections结构
它允许各个门结构能够看到细胞信息,由Gers & Schmidhuber (2000)提出。

2.在忘记门与输入门之间引入一个耦合
不同于之前的LSTM结构,遗忘门和输入门是独立的,这个变式是在遗忘门删除历史信息的位置加入新的信息,在加入新信息的位置删除旧信息。

3.门循环单元(GRU)
它将遗忘门和输入门合并成一个新的门,称为更新门。GRU还有一个门称为重置门。

其中重置门为上图中前面那个门,决定了如何将新的输入信息与前面的记忆相结合。更新门为上图中后面那个门,定义了前面记忆保存到当前时间步的量。由于该模型比标准LSTM模型更简单,因此被广泛应用。
本文介绍了递归神经网络(RNN)的基本原理,指出其在处理长时依赖问题上的局限性。接着详细阐述了LSTM(长短时记忆网络)的结构和工作原理,包括其门控机制如何有效地控制信息的遗忘和保留。此外,还提到了LSTM的结构变形,如peephole connections和门循环单元(GRU)。LSTM通过其复杂的门控单元设计,能够更好地捕捉长期依赖关系,从而在序列建模任务中表现出色。
1621





