摘 要
随着现代社会生活节奏的加快和家庭结构的变化,越来越多的家庭对于家政服务的需求日益增加。与此同时,互联网技术的发展和普及,为传统家政行业带来了新的机遇和挑战。传统的家政服务管理模式往往依赖于人工调度、电话预约等方式,效率低下且管理成本高,难以满足现代家庭对服务质量、响应速度和服务多样性的要求。在这种背景下,基于Spring Boot的家政管理系统应运而生。
本文基于SpringBoot和Vue框架,设计与实现了一款功能丰富的家政管理系统。通过详细分析市场需求和现有问题,结合现代软件开发技术,实现了后台首页、系统用户、服务类型管理、家政服务管理、预约订单管理、服务订单管理、服务评价管理、系统管理、通知公告管理、资源管理等多个模块的开发。在设计过程中,采用了前后端分离开发模式,利用Vue实现了动态响应式用户界面,提升了用户体验;后端基于SpringBoot框架搭建了安全稳定的服务端,支持RESTful API接口,实现了数据的高效管理和安全传输。基于Spring Boot的家政管理系统的研究与应用,不仅是对当前家政服务业面临问题的有效解决方案,也是顺应时代发展需求,推动家政服务业转型升级的重要举措。
关键词:家政管理系统;SpringBoot;Java;MySQL
Abstract
With the acceleration of the pace of life in modern society and the change of family structure, more and more families have an increasing demand for domestic service. At the same time, the development and popularization of Internet technology has brought new opportunities and challenges to the traditional housekeeping industry. The traditional domestic service management mode often relies on manual scheduling, telephone appointment and other ways, with low efficiency and high management cost, which is difficult to meet the requirements of modern families for service quality, response speed and service diversity. In this context, a housekeeping management system based on Spring Boot came into being.
Based on SpringBoot and Vue framework, this paper designs and implements a feature-rich housekeeping management system. Through detailed analysis of market demand and existing problems, combined with modern software development technology, the development of background home page, system users, service type management, domestic service management, reservation order management, service order management, service evaluation management, system management, announcement management, resource management and other modules. In the design process, the front and rear end separation development mode is adopted, and the user experience; the back end builds safe and stable server based on SpringBoot framework, supports RESTful API interface, and realizes efficient data management and secure transmission. The research and application of the domestic management system based on Spring Boot is not only an effective solution to the problems faced by the domestic service industry, but also an important measure to promote the transformation and upgrading of the domestic service industry in line with the development needs of The Times.
Keywords: Home-keeping management system; SpringBoot; Java; MySQL
目 录
随着现代社会生活节奏的加快和家庭结构的变化,越来越多的家庭对于家政服务的需求日益增加。与此同时,互联网技术的发展和普及,为传统家政行业带来了新的机遇和挑战。传统的家政服务管理模式往往依赖于人工调度、电话预约等方式,效率低下且管理成本高,难以满足现代家庭对服务质量、响应速度和服务多样性的要求。SpringBoot作为一种轻量级的Java开发框架,以其简化的配置和快速的开发特性,非常适合用于构建家政管理系统。结合前端框架Vue.js,可以实现良好的用户交互体验和响应式设计,提升用户的使用感受。在这种背景下,基于Spring Boot的家政管理系统应运而生。
基于SpringBoot家政管理系统通过数字化手段实现家政服务流程的自动化,如预约订单处理、服务评价反馈等,大大减少了手工操作的工作量,提高了工作效率。系统能够实时收集用户的服务评价,有助于企业快速了解服务质量情况,并据此进行针对性改进,从而不断提升用户体验和服务满意度。所有服务过程和评价信息公开透明,不仅增强了用户的信任感,也促进了家政服务提供者之间的良性竞争,推动整个行业的健康发展。利用大数据分析用户偏好,可以为用户提供更加个性化的服务推荐,提高用户粘性和满意度。通过对各类数据的统计分析,为管理层提供科学的决策依据,比如根据市场需求调整服务类型、优化资源配置等。线上平台的建立打破了地域限制,扩大了服务覆盖范围,同时也方便了更多潜在客户获取信息并下单,有助于开拓新市场。随着移动互联网、物联网等新技术的应用和发展,家政服务智能化、信息化是未来发展的必然趋势。采用Spring Boot框架构建的家政管理系统,具有良好的可扩展性,便于后续集成新兴技术,符合行业发展潮流。
综上所述,基于Spring Boot的家政管理系统的研究与应用,不仅是对当前家政服务业面临问题的有效解决方案,也是顺应时代发展需求,推动家政服务业转型升级的重要举措。
在中国,随着城市化进程的加快和生活节奏的提升,对家政服务的需求日益增加。家政服务平台的发展得到了政府的支持与规范,如广东省出台的《广东省家政服务条例》提出建立全省统一的“南粤家政”综合管理服务平台[1]。对于技术实现,许多研究者探讨了如何利用Spring Boot框架来构建高效、可靠的家政服务系统。例如,万千山设计了一个基于Spring Boot的家政服务平台,实现了企业管理的信息化,提高了服务质量[2]。针对家政人员流动和服务质量控制的问题,周永意研究了不同市场间家政服务人员的移动行为及其对平台策略的影响,提出了相应的广告投放和服务定价策略[3]。
国际上,家政服务平台的设计已经相对成熟。特别是在发达国家,这些平台通过集成先进的自动化技术和信息管理工具,提供了高效的家政服务组织和管理。Luís Carvalho等人虽然研究的是旅游税,但其采用的内容分析方法和概念框架构建为家政服务系统的政策分析和用户分类提供了参考方法[4]。Badiru在其著作中讨论了邮政服务系统的优化建模,这为家政服务行业的供应链管理和效率提升提供了理论支持[5]。Tetiana Ostapenko等人的研究表明,在项目管理中使用行政管理工具可以显著提高项目的执行效果,这对家政服务管理系统中的任务调度和资源分配具有借鉴意义[6]。Md Shamim Talukder等人的研究强调了数字市政服务系统的重要性,包括便利性和包容性价值,这对于家政服务APP的设计有重要启示[7]。Anita Musiega等人的研究则展示了公共财政管理(PFM)对卫生系统效率的影响,间接指出了财务管理在家政服务管理中的重要性[8]。
综上所述,国内外对于基于Spring Boot的家政管理系统的研究不仅关注技术层面的实现,还注重结合实际应用场景进行功能设计和用户体验优化。同时,随着行业标准的逐步确立和技术的进步,未来的家政服务系统将更加智能化和人性化。上述文献提供了丰富的理论基础和技术指导,有助于进一步推动该领域的研究与发展。
在开发家政管理系统时,后端采用了Java作为编程语言,并利用了SpringBoot框架,这使得复杂的业务逻辑和数据操作得以高效完成。与此同时,系统的数据存储和管理通过MySQL数据库实现。结合Vue.js作为前端框架,具有响应式数据绑定和组件化的特点,能够有效地提升用户体验和开发效率。在开发工具的选取上,使用了eclipse,它的强大功能和易用性使得编程工作更为高效;而Navicat作为数据库管理工具,使得数据库操作更为方便和快捷。这样的技术选择,确保了管理系统的开发流程既高效又稳定。本系统主要实现包括后台首页、系统用户、服务类型管理、家政服务管理、预约订单管理、服务订单管理、服务评价管理、系统管理、通知公告管理、资源管理、个人信息修改、密码修改等功能进行管理。
家政管理系统使用Java语言作为主要语言,前端使用Vue.js框架,后端基于SpringBoot框架开发而成,存储数据使用的是使用较为广泛的MySQL数据库。系统所使用的系统开发环境如下表2-1所示。
表2-1系统开发环境
| 操作系统版本: | Win10 |
| 数据库环境: | MySQL5.7 |
| JDK版本: | JDK1.8.0_191 |
| 主要技术: | Springboot2、Apache Tomcat8.5、Webpack 4.0、Vue.js、Element UI、Navicat、bootstrap…… |
| 浏览器: | Chrome |
MySQL是一款广受欢迎的关系数据库管理系统,它能够高效地存储和处理大量的数据。MySQL在Web应用程序中有着卓越的表现,是众多开发者的首选。MySQL遵循SQL语言的标准,这是一种通用的数据库操作语言,简单易学,功能强大。结合Apache服务器,MySQL可以构建出一个优秀的开发环境。
SpringBoot是一个新颖的框架,由Pivotal团队推出,旨在简化Spring应用的创建和开发过程。SpringBoot通过提供一些默认的配置和约定,避免了开发者重复编写模板化的代码。SpringBoot力求成为快速应用开发领域的领导者,让开发者能够更专注于业务逻辑。
Mybatis是一个优秀的持久层框架,它支持定制化SQL、存储过程和高级映射。Mybatis可以消除大部分的JDBC代码和参数的手工设置,让开发者更方便地操作数据库。Mybatis可以和Spring框架完美地集成,提高开发效率和性能。
Tomcat是一种免费的服务器,它能够有效地处理大量的网络访问,特别是在访问量较少的情况下。当将Tomcat安装在电脑上时,它能够自动分析前端HTML页面的请求,从而提高网络的性能。事实上,Tomcat是对Apache的一种延伸[7],但它与Apache之间的关系更加紧密,因为它们在不同的进程中运行,而且它们之间也有着自己的独立性。
Vue.js是一个轻量级的、用于构建用户界面的渐进式框架。它与其他大型框架不同,Vue.js采用了自底向上的设计思想,可以逐层地应用到项目中。Vue.js的核心库只关注视图层,易于上手,也便于与第三方库或现有项目集成。另一方面,Vue.js也可以与现代化的工具链和各种支持库结合使用,从而实现复杂的单页应用程序。
本系统是基于SpringBoot、Mysql、Vue的前后端完全分离的后台管理系统。
B/S模式,即浏览器/服务器模式,是一种常见的网络应用架构模式。在B/S模式中,用户通过浏览器作为客户端与服务器进行交互。在浏览器/服务器(browser / Server Architecture)系统中,用户只需通过浏览器,就能够轻松地向分布在网络各处的众多服务器发送海量的请求。B/S系统大大地简化了客户端的工作,让用户体验更加便捷。
Spring是一个知名的开源框架,它于2003年诞生于Rod Johnson的《Expert One-on-One Java EE Development and Design》一书中。Spring的初衷是为了解决企业级应用开发的复杂性,它让简单的JavaBean也能够实现原本只有EJB才能做到的功能。Spring不仅适用于服务器端的开发,它还能够为任何Java应用程序带来简洁、可测试和低耦合的优势。尽管Spring的组件代码很轻量级,但是它的配置却很繁琐。最初,Spring是使用XML配置的,但是随着项目的增长,XML配置也变得越来越多。
为了改进和优化Spring的缺点,SpringBoot框架应运而生,它基于约定优于配置的理念,让开发者无需编写大量的配置文件,只需遵循一些简单的规则即可。SpringBoot使开发者能够专注于业务逻辑的编码,而不用在配置和业务之间切换思维,这在很大程度上提高了开发效率,缩短了项目开发周期。
- 需求分析
通过综合考虑经济、操作、技术等因素,可以对基于SpringBoot的家政管理系统的可行性进行全面评估。这将有助于确定项目的成功概率,并为项目规划提供坚实的基础。
经济可行性在此仅代表平台的运维成本,开发成本不在此考虑。
目前该模式下的相关系统的数量日益增多,信息管理系统的平民化、普及化使用户人数呈上升趋势,当用户人数庞大了,运维成本可以由广告费进行填补,包括开发成本。
所以经济可行性没有问题。
此次项目设计参考了几个该模式下系统的开发案例,对他们的操作界面分析,将众多案例结合在一起,突出以人为本简化操作,所以具有基本计算机知识的人都会操作本项目。
因此操作可行性也没有问题。
技术可行性指的是对于搭建框架的可行性,以及有更优秀的技术出现时系统的技术更新换代的纳新性如何,开发时间成本费用比如何。
现有的JAVA语言能够迎合所有系统的搭建。开发这个家政管理系统的时候我采用了JAVA+SpringBoot+Vue 用以运行整体程序。
综上所述技术可行性也没有问题。
通过对应的功能做了需求分析以后该家政管理系统各角色主要包括的功能说明如下:
- 用户角色:
- 注册用户:可以在线浏览新闻和家政服务列表,搜索家政服务,下单预约支付服务,查看服务订单状态,评价和投诉交易等功能。
- 员工用户:可以发布家政服务信息,管理家政服务价格,处理预约服务单,也有评价和投诉交易等功能。
- 管理员:具备对用户、家政服务、预约订单、服务订单、评价、资讯等所有管理功能权限,同时可以处理投诉和异常情况,查看服务评价统计,管理系统配置,更新维护系统等。
- 基础功能:这个模块包括了系统的一些基本设置,如系统参数、日志管理、数据备份、数据恢复等。这些功能可以保证系统的正常运行和安全性。
- 家政服务管理:员工及管理员对家政服务的发布、编辑、删除等操作,支持多种家政服务分类和标签。家政服务详情页展示,管理员审核通过的家政服务信息才可显示在前台。
- 交易流程:用户注册与登录功能,支持第三方登录和快速注册。下单预约及服务流程,包括员工回复,下单填写预约单、提交订单、支付等功能。订单管理,包括订单状态跟踪、订单投诉处理、评价功能等。
- 用户体验:响应式设计,适配不同终端设备(如PC、手机)。搜索功能优化,支持关键词搜索、筛选等。
- 身份验证功能:这个模块包括了用户的注册、登录、修改密码、找回密码等功能。这些功能可以保证用户的身份和权限的正确性和安全性。
- 安全与权限:用户权限管理,确保不同角色用户只能访问其具备权限的功能。数据安全保护,包括用户信息加密存储、支付信息安全等。
根据使用该系统的用户角色可以划分为注册用户、员工用户和管理员,具体如下所示。
家政管理系统注册用户角色用例图如下所示。

图3-1 注册用户角色用例图
家政管理系统员工用户角色用例图如下所示。

图3-2 员工用户角色用例图
家政管理系统管理员角色用例图如下所示。

图3-3 管理员角色用例图
-
- 性能需求分析
用户操作响应时间:系统应保证用户在操作平台时的响应速度,例如浏览商品、下单等操作应该迅速响应。
系统稳定性:平台应具备一定的容错能力和稳定性,防止因为意外情况导致系统崩溃。
数据安全:用户信息、交易记录等敏感数据需要加密存储,确保数据安全性。
系统并发能力:平台应考虑到可能大量用户同时访问的情况,保证系统的并发处理能力。
日志记录:系统需要记录用户操作日志、异常日志等,便于排查问题和分析用户行为。
基于以上性能需求将确保家政管理系统能够稳定、高效地运行,能够很好地满足用户和管理员的需求。
注册的过程,第一部分是账号的注册,第二部分是信息完善。在业务开展过程中,管理员可对用户信息进行修改等管理操作,注册流程如图3-4用户注册流程图所示。

图3-4 用户注册流程图
登录时,用户填写用户名、密码、选择身份进行登录,在登录过程中后端会对发送过来的信息进行验证和判断,具体的登录流程如图3-5用户登录流程图所示。

图3-5 用户登录流程图
业务流程图既反映了内部业务间的相互联系,又反映了家政服务交易和信息流动情况。家政管理系统须支撑整个机构不同层面的多种职能,而各功能模块间存在着多种关联信息,组成一个有机整体,并针对家政服务信息自身特点和面临的现实条件,对系统进行业务流程图设计。系统通过流程的顺畅和高效,实现了家政服务交易需求的满足和系统管理的便捷,提升了系统的运行效率和用户体验。家政管理系统的业务流程如下图所示。
用户预约家政服务业务流程如下图所示。

图3-6 用户预约家政服务业务流程图
基于SpringBoot家政管理系统程序采用前后端分离的设计,前台功能主要分为注册用户和员工用户两大模块。游客可以浏览系统前台信息,注册成为注册用户,登录后才可进行其他操作。注册用户登录后,可搜索和浏览最新资讯、家政服务等信息,可以下单预约家政服务、并对预约订单进行支付、评价;员工用户用管理员添加生成的账号和密码进行登录系统,也可搜索和浏览最新资讯、家政服务等信息,并可以发布新的家政服务信息,处理下单预约信息,管理服务订单,也可进行评价订单操作。系统前台功能模块图如下图所示。

图4-1系统前台功能模块图
后台功能是管理员模块。其中管理员是系统最高权限拥有者,可管理用户、家政服务信息、订单、评价、资讯等信息,并保证及时更新系统信息,维护系统正常运行。系统后台功能模块图如下图所示。

图4-2系统后台功能模块图
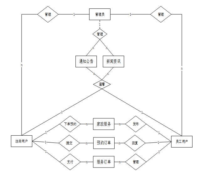
数据库的设计是系统的设计中比较重要的一部分内容,数据库设计是一切系统设计的基础,首先需要进行概念模型E-R图的设计,然后进行关系模型物理模型的建立。
本文在系统分析阶段就抽取了一些实体,根据实体之间的关系,经过分析进行系统E-R图的设计。家政管理系统总体E-R图如下图所示。

图4-7系统总体E-R图
本系统采MySQL数据库管理系统对数据进行管理。下面是对各个表中的表中各个字段数据类型、大小等做简短描述。家政管理系统所需要的部分数据结构表如下表所示。
| 编号 | 名称 | 数据类型 | 长度 | 小数位 | 允许空值 | 主键 | 默认值 | 说明 |
| 1 | token_id | int | 10 | 0 | N | Y | 临时访问牌ID | |
| 2 | token | varchar | 64 | 0 | Y | N | 临时访问牌 | |
| 3 | info | text | 65535 | 0 | Y | N | ||
| 4 | maxage | int | 10 | 0 | N | N | 2 | 最大寿命:默认2小时 |
| 5 | create_time | timestamp | 19 | 0 | N | N | CURRENT_TIMESTAMP | 创建时间: |
| 6 | update_time | timestamp | 19 | 0 | N | N | CURRENT_TIMESTAMP | 更新时间: |
| 7 | user_id | int | 10 | 0 | N | N | 0 | 用户编号: |
| 编号 | 名称 | 数据类型 | 长度 | 小数位 | 允许空值 | 主键 | 默认值 | 说明 |
| 1 | auth_id | int | 10 | 0 | N | Y | 授权ID: | |
| 2 | user_group | varchar | 64 | 0 | Y | N | 用户组: | |
| 3 | mod_name | varchar | 64 | 0 | Y | N | 模块名: | |
| 4 | table_name | varchar | 64 | 0 | Y | N | 表名: | |
| 5 | page_title | varchar | 255 | 0 | Y | N | 页面标题: | |
| 6 | path | varchar | 255 | 0 | Y | N | 路由路径: | |
| 7 | parent | varchar | 64 | 0 | Y | N | 父级菜单 | |
| 8 | parent_sort | int | 10 | 0 | N | N | 0 | 父级菜单排序 |
| 9 | position | varchar | 32 | 0 | Y | N | 位置: | |
| 10 | mode | varchar | 32 | 0 | N | N | _blank | 跳转方式: |
| 11 | add | tinyint | 3 | 0 | N | N | 1 | 是否可增加: |
| 12 | del | tinyint | 3 | 0 | N | N | 1 | 是否可删除: |
| 13 | set | tinyint | 3 | 0 | N | N | 1 | 是否可修改: |
| 14 | get | tinyint | 3 | 0 | N | N | 1 | 是否可查看: |
| 15 | field_add | text | 65535 | 0 | Y | N | 添加字段: | |
| 16 | field_set | text | 65535 | 0 | Y | N | 修改字段: | |
| 17 | field_get | text | 65535 | 0 | Y | N | 查询字段: | |
| 18 | table_nav_name | varchar | 500 | 0 | Y | N | 跨表导航名称: | |
| 19 | table_nav | varchar | 500 | 0 | Y | N | 跨表导航: | |
| 20 | option | text | 65535 | 0 | Y | N | 配置: | |
| 21 | create_time | timestamp | 19 | 0 | N | N | CURRENT_TIMESTAMP | 创建时间: |
| 22 | update_time | timestamp | 19 | 0 | N | N | CURRENT_TIMESTAMP | 更新时间: |
| 编号 | 名称 | 数据类型 | 长度 | 小数位 | 允许空值 | 主键 | 默认值 | 说明 |
| 1 | code_token_id | int | 10 | 0 | N | Y | ||
| 2 | token | varchar | 255 | 0 | Y | N | ||
| 3 | code | varchar | 255 | 0 | Y | N | 验证码 | |
| 4 | expire_time | timestamp | 19 | 0 | N | N | CURRENT_TIMESTAMP | 失效时间 |
| 5 | create_time | timestamp | 19 | 0 | N | N | CURRENT_TIMESTAMP | 创建时间 |
| 6 | update_time | timestamp | 19 | 0 | N | N | CURRENT_TIMESTAMP | 更新时间: |
| 编号 | 名称 | 数据类型 | 长度 | 小数位 | 允许空值 | 主键 | 默认值 | 说明 |
| 1 | employee_users_id | int | 10 | 0 | N | Y | 员工用户ID | |
| 2 | employee_name | varchar | 64 | 0 | Y | N | 员工姓名 | |
| 3 | employee_id | varchar | 64 | 0 | N | N | 员工工号 | |
| 4 | employee_gender | varchar | 64 | 0 | Y | N | 员工性别 | |
| 5 | employee_mobile_phone | varchar | 16 | 0 | Y | N | 员工手机 | |
| 6 | examine_state | varchar | 16 | 0 | N | N | 已通过 | 审核状态 |
| 7 | user_id | int | 10 | 0 | N | N | 0 | 用户ID |
| 8 | create_time | datetime | 19 | 0 | N | N | CURRENT_TIMESTAMP | 创建时间 |
| 9 | update_time | timestamp | 19 | 0 | N | N | CURRENT_TIMESTAMP | 更新时间 |
| 编号 | 名称 | 数据类型 | 长度 | 小数位 | 允许空值 | 主键 | 默认值 | 说明 |
| 1 | hits_id | int | 10 | 0 | N | Y | 点赞ID: | |
| 2 | user_id | int | 10 | 0 | N | N | 0 | 点赞人: |
| 3 | create_time | timestamp | 19 | 0 | N | N | CURRENT_TIMESTAMP | 创建时间: |
| 4 | update_time | timestamp | 19 | 0 | N | N | CURRENT_TIMESTAMP | 更新时间: |
| 5 | source_table | varchar | 255 | 0 | Y | N | 来源表: | |
| 6 | source_field | varchar | 255 | 0 | Y | N | 来源字段: | |
| 7 | source_id | int | 10 | 0 | N | N | 0 | 来源ID: |
| 编号 | 名称 | 数据类型 | 长度 | 小数位 | 允许空值 | 主键 | 默认值 | 说明 |
| 1 | home_service_id | int | 10 | 0 | N | Y | 家政服务ID | |
| 2 | employee_name | varchar | 64 | 0 | Y | N | 员工姓名 | |
| 3 | employee_id | varchar | 64 | 0 | Y | N | 员工工号 | |
| 4 | employee_photos | varchar | 255 | 0 | Y | N | 员工照片 | |
| 5 | employee_users | int | 10 | 0 | Y | N | 0 | 员工用户 |
| 6 | service_type | varchar | 64 | 0 | Y | N | 服务类型 | |
| 7 | price_description | text | 65535 | 0 | Y | N | 价格说明 | |
| 8 | employee_qualification | longtext | 2147483647 | 0 | Y | N | 员工资质 | |
| 9 | reservation_order_limit_times | int | 10 | 0 | N | N | 0 | 下单预约限制次数 |
| 10 | create_time | datetime | 19 | 0 | N | N | CURRENT_TIMESTAMP | 创建时间 |
| 11 | update_time | timestamp | 19 | 0 | N | N | CURRENT_TIMESTAMP | 更新时间 |
| 编号 | 名称 | 数据类型 | 长度 | 小数位 | 允许空值 | 主键 | 默认值 | 说明 |
| 1 | registered_user_id | int | 10 | 0 | N | Y | 注册用户ID | |
| 2 | user_name | varchar | 64 | 0 | Y | N | 用户姓名 | |
| 3 | user_gender | varchar | 64 | 0 | Y | N | 用户性别 | |
| 4 | users_mobile_phone | varchar | 16 | 0 | N | N | 用户手机 | |
| 5 | examine_state | varchar | 16 | 0 | N | N | 已通过 | 审核状态 |
| 6 | user_id | int | 10 | 0 | N | N | 0 | 用户ID |
| 7 | create_time | datetime | 19 | 0 | N | N | CURRENT_TIMESTAMP | 创建时间 |
| 8 | update_time | timestamp | 19 | 0 | N | N | CURRENT_TIMESTAMP | 更新时间 |
| 编号 | 名称 | 数据类型 | 长度 | 小数位 | 允许空值 | 主键 | 默认值 | 说明 |
| 1 | reservation_order_id | int | 10 | 0 | N | Y | 预约订单ID | |
| 2 | user_name | varchar | 64 | 0 | Y | N | 用户姓名 | |
| 3 | users_mobile_phone | varchar | 64 | 0 | Y | N | 用户手机 | |
| 4 | registered_user | int | 10 | 0 | Y | N | 0 | 注册用户 |
| 5 | employee_name | varchar | 64 | 0 | Y | N | 员工姓名 | |
| 6 | employee_id | varchar | 64 | 0 | Y | N | 员工工号 | |
| 7 | employee_users | int | 10 | 0 | Y | N | 0 | 员工用户 |
| 8 | service_type | varchar | 64 | 0 | Y | N | 服务类型 | |
| 9 | order_number | varchar | 64 | 0 | Y | N | 订单编号 | |
| 10 | service_time | datetime | 19 | 0 | Y | N | 服务时间 | |
| 11 | service_requirements | text | 65535 | 0 | Y | N | 服务要求 | |
| 12 | service_address | text | 65535 | 0 | Y | N | 服务地址 | |
| 13 | examine_state | varchar | 16 | 0 | N | N | 未审核 | 审核状态 |
| 14 | examine_reply | varchar | 16 | 0 | Y | N | 审核回复 | |
| 15 | service_order_limit_times | int | 10 | 0 | N | N | 1 | 接单限制次数 |
| 16 | create_time | datetime | 19 | 0 | N | N | CURRENT_TIMESTAMP | 创建时间 |
| 17 | update_time | timestamp | 19 | 0 | N | N | CURRENT_TIMESTAMP | 更新时间 |
| 18 | source_table | varchar | 255 | 0 | Y | N | 来源表 | |
| 19 | source_id | int | 10 | 0 | Y | N | 来源ID | |
| 20 | source_user_id | int | 10 | 0 | Y | N | 来源用户 |
| 编号 | 名称 | 数据类型 | 长度 | 小数位 | 允许空值 | 主键 | 默认值 | 说明 |
| 1 | schedule_id | smallint | 5 | 0 | N | Y | 日程ID:[0,32767] | |
| 2 | content | varchar | 255 | 0 | Y | N | 日程内容 | |
| 3 | scheduled_time | datetime | 19 | 0 | Y | N | 计划时间 | |
| 4 | user_id | int | 10 | 0 | N | N | 用户id | |
| 5 | create_time | datetime | 19 | 0 | Y | N | 创建时间 | |
| 6 | update_time | datetime | 19 | 0 | Y | N | 更新时间 |
| 编号 | 名称 | 数据类型 | 长度 | 小数位 | 允许空值 | 主键 | 默认值 | 说明 |
| 1 | score_id | int | 10 | 0 | N | Y | 评分ID: | |
| 2 | user_id | int | 10 | 0 | N | N | 0 | 评分人: |
| 3 | nickname | varchar | 64 | 0 | Y | N | 昵称: | |
| 4 | score_num | double | 5 | 2 | N | N | 0.00 | 评分: |
| 5 | create_time | timestamp | 19 | 0 | N | N | CURRENT_TIMESTAMP | 创建时间: |
| 6 | update_time | timestamp | 19 | 0 | N | N | CURRENT_TIMESTAMP | 更新时间: |
| 7 | source_table | varchar | 255 | 0 | Y | N | 来源表: | |
| 8 | source_field | varchar | 255 | 0 | Y | N | 来源字段: | |
| 9 | source_id | int | 10 | 0 | N | N | 0 | 来源ID: |
| 编号 | 名称 | 数据类型 | 长度 | 小数位 | 允许空值 | 主键 | 默认值 | 说明 |
| 1 | service_evaluation_id | int | 10 | 0 | N | Y | 服务评价ID | |
| 2 | user_name | varchar | 64 | 0 | Y | N | 用户姓名 | |
| 3 | users_mobile_phone | varchar | 64 | 0 | Y | N | 用户手机 | |
| 4 | registered_user | int | 10 | 0 | Y | N | 0 | 注册用户 |
| 5 | employee_name | varchar | 64 | 0 | Y | N | 员工姓名 | |
| 6 | employee_id | varchar | 64 | 0 | Y | N | 员工工号 | |
| 7 | employee_users | int | 10 | 0 | Y | N | 0 | 员工用户 |
| 8 | service_type | varchar | 64 | 0 | Y | N | 服务类型 | |
| 9 | order_number | varchar | 64 | 0 | Y | N | 订单编号 | |
| 10 | evaluation_level | varchar | 64 | 0 | Y | N | 评价等级 | |
| 11 | evaluation_explanation | text | 65535 | 0 | Y | N | 评价说明 | |
| 12 | create_time | datetime | 19 | 0 | N | N | CURRENT_TIMESTAMP | 创建时间 |
| 13 | update_time | timestamp | 19 | 0 | N | N | CURRENT_TIMESTAMP | 更新时间 |
| 14 | source_table | varchar | 255 | 0 | Y | N | 来源表 | |
| 15 | source_id | int | 10 | 0 | Y | N | 来源ID | |
| 16 | source_user_id | int | 10 | 0 | Y | N | 来源用户 |
| 编号 | 名称 | 数据类型 | 长度 | 小数位 | 允许空值 | 主键 | 默认值 | 说明 |
| 1 | service_order_id | int | 10 | 0 | N | Y | 服务订单ID | |
| 2 | user_name | varchar | 64 | 0 | Y | N | 用户姓名 | |
| 3 | users_mobile_phone | varchar | 64 | 0 | Y | N | 用户手机 | |
| 4 | registered_user | int | 10 | 0 | Y | N | 0 | 注册用户 |
| 5 | employee_name | varchar | 64 | 0 | Y | N | 员工姓名 | |
| 6 | employee_id | varchar | 64 | 0 | Y | N | 员工工号 | |
| 7 | employee_users | int | 10 | 0 | Y | N | 0 | 员工用户 |
| 8 | service_type | varchar | 64 | 0 | Y | N | 服务类型 | |
| 9 | order_number | varchar | 64 | 0 | Y | N | 订单编号 | |
| 10 | service_time | datetime | 19 | 0 | Y | N | 服务时间 | |
| 11 | service_requirements | text | 65535 | 0 | Y | N | 服务要求 | |
| 12 | service_address | text | 65535 | 0 | Y | N | 服务地址 | |
| 13 | expected_duration | varchar | 64 | 0 | Y | N | 预计时长 | |
| 14 | service_amountyuan | double | 9 | 2 | Y | N | 0.00 | 服务金额/元 |
| 15 | acceptance_instructions | text | 65535 | 0 | Y | N | 接单说明 | |
| 16 | pay_state | varchar | 16 | 0 | N | N | 未支付 | 支付状态 |
| 17 | pay_type | varchar | 16 | 0 | Y | N | 支付类型: 微信、支付宝、网银 | |
| 18 | service_evaluation_limit_times | int | 10 | 0 | N | N | 1 | 用户评价限制次数 |
| 19 | create_time | datetime | 19 | 0 | N | N | CURRENT_TIMESTAMP | 创建时间 |
| 20 | update_time | timestamp | 19 | 0 | N | N | CURRENT_TIMESTAMP | 更新时间 |
| 21 | source_table | varchar | 255 | 0 | Y | N | 来源表 | |
| 22 | source_id | int | 10 | 0 | Y | N | 来源ID | |
| 23 | source_user_id | int | 10 | 0 | Y | N | 来源用户 |
| 编号 | 名称 | 数据类型 | 长度 | 小数位 | 允许空值 | 主键 | 默认值 | 说明 |
| 1 | service_type_id | int | 10 | 0 | N | Y | 服务类型ID | |
| 2 | type_name | varchar | 64 | 0 | Y | N | 类型名称 | |
| 3 | create_time | datetime | 19 | 0 | N | N | CURRENT_TIMESTAMP | 创建时间 |
| 4 | update_time | timestamp | 19 | 0 | N | N | CURRENT_TIMESTAMP | 更新时间 |
| 编号 | 名称 | 数据类型 | 长度 | 小数位 | 允许空值 | 主键 | 默认值 | 说明 |
| 1 | upload_id | int | 10 | 0 | N | Y | 上传ID | |
| 2 | name | varchar | 64 | 0 | Y | N | 文件名 | |
| 3 | path | varchar | 255 | 0 | Y | N | 访问路径 | |
| 4 | file | varchar | 255 | 0 | Y | N | 文件路径 | |
| 5 | display | varchar | 255 | 0 | Y | N | 显示顺序 | |
| 6 | father_id | int | 10 | 0 | Y | N | 0 | 父级ID |
| 7 | dir | varchar | 255 | 0 | Y | N | 文件夹 | |
| 8 | type | varchar | 32 | 0 | Y | N | 文件类型 |
| 编号 | 名称 | 数据类型 | 长度 | 小数位 | 允许空值 | 主键 | 默认值 | 说明 |
| 1 | user_id | int | 10 | 0 | N | Y | 用户ID:[0,8388607]用户获取其他与用户相关的数据 | |
| 2 | state | smallint | 5 | 0 | N | N | 1 | 账户状态:[0,10](1可用|2异常|3已冻结|4已注销) |
| 3 | user_group | varchar | 32 | 0 | Y | N | 所在用户组:[0,32767]决定用户身份和权限 | |
| 4 | login_time | timestamp | 19 | 0 | N | N | CURRENT_TIMESTAMP | 上次登录时间: |
| 5 | phone | varchar | 11 | 0 | Y | N | 手机号码:[0,11]用户的手机号码,用于找回密码时或登录时 | |
| 6 | phone_state | smallint | 5 | 0 | N | N | 0 | 手机认证:[0,1](0未认证|1审核中|2已认证) |
| 7 | username | varchar | 16 | 0 | N | N | 用户名:[0,16]用户登录时所用的账户名称 | |
| 8 | nickname | varchar | 16 | 0 | Y | N | 昵称:[0,16] | |
| 9 | password | varchar | 64 | 0 | N | N | 密码:[0,32]用户登录所需的密码,由6-16位数字或英文组成 | |
| 10 | | varchar | 64 | 0 | Y | N | 邮箱:[0,64]用户的邮箱,用于找回密码时或登录时 | |
| 11 | email_state | smallint | 5 | 0 | N | N | 0 | 邮箱认证:[0,1](0未认证|1审核中|2已认证) |
| 12 | avatar | varchar | 255 | 0 | Y | N | 头像地址:[0,255] | |
| 13 | open_id | varchar | 255 | 0 | Y | N | 针对获取用户信息字段 | |
| 14 | create_time | timestamp | 19 | 0 | N | N | CURRENT_TIMESTAMP | 创建时间: |
| 编号 | 名称 | 数据类型 | 长度 | 小数位 | 允许空值 | 主键 | 默认值 | 说明 |
| 1 | group_id | mediumint | 8 | 0 | N | Y | 用户组ID:[0,8388607] | |
| 2 | display | smallint | 5 | 0 | N | N | 100 | 显示顺序:[0,1000] |
| 3 | name | varchar | 16 | 0 | N | N | 名称:[0,16] | |
| 4 | description | varchar | 255 | 0 | Y | N | 描述:[0,255]描述该用户组的特点或权限范围 | |
| 5 | source_table | varchar | 255 | 0 | Y | N | 来源表: | |
| 6 | source_field | varchar | 255 | 0 | Y | N | 来源字段: | |
| 7 | source_id | int | 10 | 0 | N | N | 0 | 来源ID: |
| 8 | register | smallint | 5 | 0 | Y | N | 0 | 注册位置: |
| 9 | create_time | timestamp | 19 | 0 | N | N | CURRENT_TIMESTAMP | 创建时间: |
| 10 | update_time | timestamp | 19 | 0 | N | N | CURRENT_TIMESTAMP | 更新时间: |
本文研究的家政管理系统基于SpringBoot框架开发,旨在通过数字化手段提升家政服务的管理效率和服务质量。系统支持用户注册和登录,发布和浏览家政服务信息,进行预约和交易管理。用户可以通过搜索和分类查找家政服务信息,进行评价。平台还包括管理员功能,用于管理用户、交易的审查和处理。整体设计追求简洁高效,以提升用户体验和平台运行效率为目标。
本设计的前端系统每个页面都具备必要的交互设计,较好地呈现了家政管理系统的基础功能。组件的构建上思路清晰,易于理解,扁平风格突出简洁,配色清新。游客注册成为注册用户即可登录系统前台实现各项操作。
前台登录界面布局如下图:
图5-1 前台登录UI界面
登录关键代码如下:
| /** * 登录 * @param data * @param httpServletRequest * @return */ @PostMapping("login") public Map<String, Object> login(@RequestBody Map<String, String> data, HttpServletRequest httpServletRequest) { log.info("[执行登录接口]"); String username = data.get("username"); String email = data.get("email"); String phone = data.get("phone"); String password = data.get("password"); List resultList = null; Map<String, String> map = new HashMap<>(); if(username != null && "".equals(username) == false){ map.put("username", username); resultList = service.selectBaseList(service.select(map, new HashMap<>())); } else if(email != null && "".equals(email) == false){ map.put("email", email); resultList = service.selectBaseList(service.select(map, new HashMap<>())); } else if(phone != null && "".equals(phone) == false){ map.put("phone", phone); resultList = service.selectBaseList(service.select(map, new HashMap<>())); }else{ return error(30000, "账号或密码不能为空"); } if (resultList == null || password == null) { return error(30000, "账号或密码不能为空"); } |
前台注册界面布局如下图:

图5-2 前台注册UI界面
注册关键代码如下:
| /** * 注册 * @param user * @return */ @PostMapping("register") public Map<String, Object> signUp(@RequestBody User user) { // 查询用户 Map<String, String> query = new HashMap<>(); Map<String,Object> map = JSON.parseObject(JSON.toJSONString(user)); query.put("username",user.getUsername()); List list = service.selectBaseList(service.select(query, new HashMap<>())); if (list.size()>0){ return error(30000, "用户已存在"); } map.put("password",service.encryption(String.valueOf(map.get("password")))); service.insert(map); return success(1); } |
前台首页模块是系统的主入口,为用户提供导航和重要信息展示。通过清晰的界面布局和内容展示,为用户提供良好的导航菜单、轮播图、最新资讯和信息浏览体验,引导用户进行登录、注册及系统内相关操作。
前台首页界面布局如下图:
图5-3 前台首页UI界面
本设计的后台管理系统管理员角色,包含后台首页、家政服务管理、咨询信息管理、订单信息管理、信用评价管理、订单投诉管理等页面。整体呈左右布局,设计简洁明晰。
后台登录界面布局如下图:

图5-4 后台登录UI界面
管理员和员工用户登录系统后首先进入后台首页界面。管理员除后台导航外,可在后台首页查看订单信息统计数据分析图表。
后台首页界面布局如下图:
图5-5 后台首页UI界面
最新资讯功能模块是系统中的重要组成部分,旨在为用户提供最新的资讯信息获取平台。注册用户和员工用户可查看发布的所有最新资讯信息详情,支持局部搜索,可进行点赞、收藏和评论。
最新资讯界面布局如下图:

图5-6 最新资讯页UI界面
-
-
- 家政服务模块
-
家政服务模块是系统中主要的模块,主要用于用户在平台上下单预约家政服务。注册用户可查看员工发布的所有家政服务信息详情,支持局部、排序搜索,可进行点赞、收藏和评论,并可点击下单预约操作,填写预约订单信息提交下单预约信息。
例如,家政服务详情界面布局如下图:

图5-7 家政服务详情页UI界面
家政服务下单预约关键代码如下:
| @PostMapping("/add") @Transactional public Map<String, Object> add(HttpServletRequest request) throws IOException { service.insert(service.readBody(request.getReader())); return success(1); } public Map<String, Object> addMap(Map<String,Object> map){ service.insert(map); return success(1); } |
-
-
- 个人中心模块
-
注册用户可对自己的个人首页、预约订单、服务订单、服务评价、收藏、评价管理等信息进行管控和查阅信息详情。例如,可在个人首页修改个人资料;可搜索自己提交的预约信息,并查看相应员工的回复信息;可查询和支付自己的服务订单,并可对服务订单进行评价;可对自己提交的服务评价进行管理;可查看和删除自己收藏的信息;可对自己提交的评价进行管理。
员工用户可对自己的个人首页、家政服务、预约订单、服务订单、收藏、评价管理等信息进行管控和查阅信息详情。例如,可在个人首页修改个人资料;可发布自己的家政服务信息;可搜索自己的预约信息,并审核回复信息;可查询和结算自己的服务订单;可查看和删除自己收藏的信息;可对自己提交的评价进行管理。
例如,个人中心家政服务界面布局如下图:

图5-8 个人中心家政服务UI界面
例如,个人中心服务订单界面布局如下图:

图5-9 个人中心服务订单UI界面
搜索信息关键代码如下:
| @RequestMapping("/get_obj") public Map<String, Object> obj(HttpServletRequest request) { List resultList = service.selectBaseList(service.select(service.readQuery(request), service.readConfig(request))); if (resultList.size() > 0) { JSONObject jsonObject = new JSONObject(); jsonObject.put("obj",resultList.get(0)); return success(jsonObject); } else { return success(null); } } |
-
-
- 家政服务管理模块
-
管理员可对所有家政服务进行管理和查看其信息详情,进行增改删查操作。员工用户可对自己的家政服务进行管理。支持物品名称、服务类型、审核状态搜索。管理员可进入详情页进行审核和回复,并可查看其评论信息,员工用户发布添加的家政服务信息需经过管理员审核通过才可显示在系统前台上
家政服务管理添加界面布局如下图:

图5-10家政服务添加UI界面
添加家政服务关键代码如下:
| @PostMapping("/add") @Transactional public Map<String, Object> add(HttpServletRequest request) throws IOException { service.insert(service.readBody(request.getReader())); return success(1); } public Map<String, Object> addMap(Map<String,Object> map){ service.insert(map); return success(1); } |
-
-
- 预约订单管理模块
-
管理员可对所有预约订单进行管理和查看其信息详情,支持用户姓名、员工工号、订单编号、审核状态搜索,可进入详情页,并可对预约订单信息进行接单、审核操作。
预约订单列表界面布局如下图:

图5-11 预约订单列表界面
预约订单管理关键代码如下:
| @RequestMapping("/get_list") public Map<String, Object> getList(HttpServletRequest request) { Map<String, Object> map = service.selectToPage(service.readQuery(request), service.readConfig(request)); return success(map); } @PostMapping("/add") @Transactional public Map<String, Object> add(HttpServletRequest request) throws IOException { service.insert(service.readBody(request.getReader())); return success(1); } public Map<String, Object> addMap(Map<String,Object> map){ service.insert(map); return success(1); } |
-
-
- 服务订单管理模块
-
管理员可对所有服务订单进行管理和查看其信息详情,进行查询和删除操作,支持用户姓名、员工工号、订单编号、支付状态搜索,并可点击用户评价、支付操作。
服务订单管理界面布局如下图:

图5-12 服务订单管理UI界面
在对该系统进行完详细设计和编码之后,就要对家政管理系统的程序进行测试,检测程序是否运行无误,反复进行测试和修改,使之最后成为完整的软件,满足用户的需求,实现预期的功能。系统测试的目的在于确保软件正常运作,并实现其应有的功能,促进行中出现的错误和逻辑问题。系统测试不但可以找见程序运行中的系统错误,还可以找见程序运行的需要改进的地方,并去协助改良程序运行使其获得最高幅度的完备。世界一流的安装测试员可以增加软件品质,将软件系统错误概率降至最少。
本系统的主要功能就是注册用户登录后,可搜索和浏览家政服务,并可进入下单预约,员工用户和管理员登录系统后可对家政服务进行管理,包括增改删查操作。测试设计如下所示:
用户登录前首先需注册成为系统用户,使用账号和密码可进行登录。用户登录功能测试用例设计如下表所示:
表6-1 用户登录功功能测试用例
| 测试编号 | 测试目的 | 测试步骤 | 预期结果 | 实际结果 | 是否通过 |
| TC001 | 验证有效登录 | 1. 输入正确的用户名和密码 <br> 2. 点击登录按钮 | 显示登录成功,跳转至用户首页 | 登录成功,跳转至用户首页 | 通过 |
| TC002 | 验证空用户名登录 | 1. 不输入用户名,输入正确密码 <br> 2. 点击登录按钮 | 显示用户名不能为空提示信息 | 显示用户名不能为空提示信息 | 通过 |
| TC003 | 验证空密码登录 | 1. 输入正确用户名,不输入密码 <br> 2. 点击登录按钮 | 显示密码不能为空提示信息 | 显示密码不能为空提示信息 | 通过 |
| TC004 | 验证错误用户名登录 | 1. 输入错误的用户名和正确密码 <br> 2. 点击登录按钮 | 显示用户名或密码错误提示信息 | 显示用户名或密码错误提示信息 | 通过 |
| TC005 | 验证错误密码登录 | 1. 输入正确用户名和错误密码 <br> 2. 点击登录按钮 | 显示用户名或密码错误提示信息 | 显示用户名或密码错误提示信息 | 通过 |
- 家政服务模块功能测试
家政服务模块测试包括家政服务展示功能测试、家政服务添加功能测试、家政服务搜索功能测试、家政服务下单功能测试。家政服务模块测试用例如表6.2-6.4所示。
家政服务展示功能测试用例设计如下表所示:
表6-2 家政服务展示功能测试用例
| 测试编号 | 测试目的 | 测试步骤 | 预期结果 | 实际结果 | 是否通过 |
| TC001 | 验证正常展示家政服务 | 1. 进入家政服务展示页面 <br> 2. 浏览展示的家政服务内容 | 能够正常显示家政服务内容 | 家政服务内容正常显示 | 通过 |
| TC002 | 验证家政服务链接跳转 | 1. 进入家政服务展示页面 <br> 2. 点击家政服务链接 | 能够跳转至相应家政服务详情页面 | 成功跳转至家政服务详情页面 | 通过 |
| TC003 | 验证搜索功能 | 1. 进入家政服务展示页面 <br> 2. 使用搜索功能搜索家政服务 | 显示符合搜索条件的家政服务列表 | 显示符合搜索条件的家政服务列表 | 通过 |
| TC004 | 验证服务类型展示 | 1. 进入家政服务展示页面 <br> 2. 选择服务类型 | 显示该分类下的家政服务列表 | 成功显示该分类下的家政服务列表 | 通过 |
| TC005 | 验证家政服务的评论功能 | 1. 进入家政服务详情展示页面 <br> 2. 查看家政服务并发表评论 | 评论成功显示在家政服务页面 | 评论成功显示在家政服务页面 | 通过 |
| TC006 | 验证家政服务下单页面跳转 | 1. 进入家政服务详情展示页面 <br> 2. 点击家政服务下单按钮 | 能够跳转至相应家政服务下单页面 | 成功跳转至家政服务下单页面 | 通过 |
家政服务添加功能测试用例设计如下表所示:
表6-3 家政服务添加功能测试用例
| 测试编号 | 测试目的 | 测试步骤 | 预期结果 | 实际结果 | 是否通过 |
| TC001 | 验证添加家政服务 | 1. 进入家政服务添加界面 <br> 2. 输入家政服务信息 <br> 3. 点击添加按钮 | 家政服务成功添加到系统页面中 | 家政服务成功添加到系统页面中 | 通过 |
| TC002 | 验证家政服务服务类型选择 | 1. 进入家政服务添加界面 <br> 2. 选择服务类型 <br> 3. 输入家政服务信息 <br> 4. 提交家政服务信息 | 根据选择的家政服务服务类型成功添加家政服务 | 根据选择的家政服务类型成功添加家政服务 | 通过 |
| TC003 | 验证家政服务内容输入 | 1. 进入家政服务添加界面 <br> 2. 输入正确家政服务内容和答案 <br> 3. 点击添加按钮 | 家政服务内容成功录入系统 | 家政服务内容成功录入系统 | 通过 |
| TC004 | 验证家政服务图片上传 | 1. 进入家政服务添加界面 <br> 2. 上传家政服务相关图片 <br> 3. 点击添加按钮 | 图片成功上传并与家政服务关联 | 图片成功上传并与家政服务关联 | 通过 |
家政服务搜索功能测试用例设计如下表所示:
表6-4 家政服务搜索功能测试用例
| 测试编号 | 测试目的 | 测试步骤 | 预期结果 | 实际结果 | 是否通过 |
| TC001 | 验证家政服务输入员工工号搜索 | 1. 进入家政服务搜索界面 <br> 2. 输入员工工号 <br> 3. 确认并搜索 | 根据选择的员工工号关键词显示相关家政服务信息 | 根据选择的员工工号关键词成功显示相关家政服务信息 | 通过 |
| TC002 | 验证家政服务输入服务类型搜索 | 1. 进入家政服务搜索界面 <br> 2. 输入服务类型 <br> 3. 确认并搜索 | 根据选择的服务类型关键词显示相关家政服务信息 | 根据选择的服务类型关键词成功显示相关家政服务信息 | 通过 |
家政服务下单功能测试用例设计如下表所示:
表6-5 家政服务下单功能测试用例
| 测试编号 | 测试目的 | 测试步骤 | 预期结果 | 实际结果 | 是否通过 |
| TC001 | 验证未输入订单类型,点击提交 | 1. 进入家政服务下单界面 <br> 2.未输入订单类型,点击提交 <br> 3. 点击提交按钮 | 提示请输入订单类型 | 提示请输入订单类型 | 通过 |
| TC002 | 验证未输入服务日期,点击提交 | 1. 进入家政服务下单界面 <br> 2.未输入服务日期,点击提交 <br> 3. 点击提交按钮 | 提示请输入服务日期 | 提示请输入服务日期 | 通过 |
| TC003 | 验证未输入订单备注,点击提交 | 1. 进入家政服务下单界面 <br> 2.未输入订单备注,点击提交 <br> 3. 点击提交按钮 | 提示请输入订单备注 | 提示请输入订单备注 | 通过 |
- 兼容性测试
表6-6 兼容性测试用例
| 用例编号 | 测试类型 | 测试目标 | 操作过程 | 预期结果 |
| 兼容性_01 | 设备兼容性 | 测试系统在不同设备上的表现 | 在多种设备上访问系统并记录表现 | 系统在各种设备上都能正常加载和显示页面 |
| 兼容性_02 | 浏览器兼容性 | 测试系统在不同浏览器上的表现 | 在多种浏览器中访问系统并记录表现 | 系统在各种主流浏览器上都能正常加载和显示页面 |
| 兼容性_03 | 分辨率兼容性 | 测试系统在不同分辨率下的显示效果 | 在不同分辨率的设备上访问系统并记录表现 | 系统在各种分辨率下都能适应并正常显示内容 |
| 兼容性_04 | 操作系统兼容性 | 测试系统在不同操作系统上的运行情况 | 在不同操作系统上访问系统并记录表现 | 系统能够在常用操作系统上正常运行和显示 |
- 性能测试
表6-7 性能测试用例
| 用例编号 | 测试类型 | 测试目标 | 操作过程 | 预期结果 |
| 性能_01 | 负载测试 | 测试系统在正常负载下的性能 | 逐步增加用户数来模拟不同的负载情况 | 系统能够稳定处理并响应不同数量的用户请求 |
| 性能_02 | 压力测试 | 测试系统在极端负载下的性能 | 以超过系统承受极限的用户数来测试系统 | 系统能够在高负载情况下仍然保持正常运行 |
| 性能_03 | 并发测试 | 测试系统能同时处理多少并发用户请求 | 同时发送多个并发用户请求来测试系统性能 | 系统能够有效地处理多个并发请求 |
| 性能_04 | 数据量测试 | 测试系统在大数据量下的性能 | 向系统添加大量数据并测试系统响应时间 | 系统能够在大数据量情况下保持较快的响应时间 |
全部测试用例都已通过,且不存在漏洞,实现了本论文开始时所作要求和期望。本系统运行稳定,使用流畅,可以满足客户需求。试运行后进行系统评估,可以认为该系统达到预定的目标要求,可以满足用户的需求,也满足了系统开发前所作目标。系统在经过大量重复测试后运行十分稳定,安全实用,功能模块已经达到预定目标所需。在规定的时间内实现系统的大部分功能,且满足要求,节省开发成本,有助于提高科学管理水平,符合本人经济情况。
简而言之,经过严格的测试,可以发现该系统的功能和性能非常出色,它的精度、可靠性、稳健性都达到了极高的水平,而且它还支持快速、精细的点击操作,使用者的使用感受更加良好。此外,它还支持各种主流浏览器,满足不同的使用要求。
在基于SpringBoot框架下的家政管理系统设计与实现中,我们通过注册用户、员工用户以及管理员等角色的划分,实现了多层次的用户管理和权限控制。通过家政服务管理、服务类型管理等功能模块,提供了便捷高效的交易体验。同时,预约订单管理、服务订单管理、服务评价管理等功能的引入,进一步增强了平台的交互性和用户满意度,有效保障了交易的公平性和平台的稳定运行。资源管理的实施,不仅丰富了平台的内容,也促进了用户之间的信息交流与互动。
在未来的发展中,可以进一步优化系统的响应速度和用户体验,加强对用户行为的分析与挖掘,以实现个性化推荐和精准营销。同时,结合大数据和人工智能技术,提升平台的智能化水平,为用户提供更加智能化、便捷化的服务。此外,加强对安全性的防护和隐私保护,是平台未来发展的重要方向之一,保障用户信息的安全与私密性,维护良好的用户口碑和品牌形象。
通过不断优化和创新,基于SpringBoot的家政管理系统将更好地满足用户的多样化需求,成为用户信赖和选择的首要平台之一。通过本次项目,我不仅深入理解了SpringBoot框架的应用和家政管理系统的设计思路,也积累了丰富的实际开发经验。未来,我将进一步优化系统的稳定性和安全性,引入更多智能化和个性化的功能,以更好地满足用户需求和市场变化。
参考文献
- 任轩 ,任生. 广东推进家政服务立法,将建全省统一管理平台 家政上门“亮码” 服务结束“互评” [J]. 人民之声, 2023, (05): 37.
- 万千山. 家政服务平台设计与实现[D]. 山东科技大学, 2020.
- 周永意. 考虑局部市场间移动用户及广告投放的家政平台决策研究[D]. 东南大学, 2023.
- Carvalho L ,Pinheiro E ,Martins M , et al. Local tourist taxes in Portugal: A systematic review of municipal regulations [J]. European Journal of Tourism, Hospitality and Recreation, 2024, 14 (2): 285-298.
- Badiru B A . Flexible Supply Chain:Industrial Engineering Optimization Modeling of the Postal Service System[M]. CRC Press: 2024-07-23.
- Ostapenko T ,Ponomarov O ,Turlo Y , et al. Defining the directions for the impact of administrative management tools on the project management system [J]. Eastern-European Journal of Enterprise Technologies, 2024, 2 (13): 75-90.
- Talukder S M ,Islam T Q ,Karim Z . Facilitators and inhibitors of attitude and word-of-mouth intention toward adoption of digital municipal service systems: A stimulus-organism-response approach. [J]. PloS one, 2024, 19 (12): e0315009.
- Musiega A ,Tsofa B ,Barasa E . How does Public Financial Management (PFM) influence health system efficiency: A scoping review. [J]. Wellcome open research, 2024, 9 566.
- 张楚韩,吴晗飞,杨晓洁,等. 基于Springboot的地质灾害调查管理系统设计与实现 [J]. 河南科技, 2024, 51 (22): 32-36.
- 李宏滨,王凯文. 基于深度学习的家政服务推荐系统设计 [J]. 山西电子技术, 2024, (02): 88-90+96.
- 杨晟. 基于SpringBoot的火车票售票管理系统设计 [J]. 无线互联科技, 2024, 21 (05): 61-63.
- 吴伶琳. 基于SpringBoot的客户关系管理系统设计与实现 [J]. 无线互联科技, 2023, 20 (24): 60-62.
- Ramadani R ,Mustafa R ,Mustafa K . The Impact and Benefits of the E-System for Administration Management in Primary and Secondary Schools for Teachers and Parents [J]. Asian Journal of Research in Computer Science, 2023, 16 (4): 271-288.
- 徐宏卓. “四维一体”家政人才培养体系构建研究 [J]. 家政学研究, 2023, (01): 82-103.
- 郭苏莹. 服务更智慧 家政指尖找[N]. 南方日报, 2022-06-21 (AA4).
- 龙凤, 友邻优生活中台运营管理系统V2.0. 重庆市, 家无忧(重庆)网络科技有限公司, 2022-04-27.
- 深圳市人力资源和社会保障局关于延长《深圳市家政服务培训示范基地管理办法》有效期的通知 [J]. 深圳市人民政府公报, 2022, (01): 13-18.
- 刘玲. B家政公司深圳市场营销策略研究[D]. 哈尔滨工业大学, 2022.
- 崔瀚铭. 本地生活服务系统的设计与实现[D]. 南京大学, 2021.
- 深圳市人力资源和社会保障局关于印发《深圳市家政服务培训示范基地管理办法》的通知 [J]. 深圳市人民政府公报, 2020, (42): 26-30.
- 项俊淇. 基于联盟链的大众可信家政服务系统的设计与实现[D]. 重庆大学, 2020.
致 谢
在完成本论文的研究与写作过程中,我深切感受到了来自各方的帮助和支持。在此,我衷心地向所有给予我帮助的人表示最诚挚的感谢。
首先,我要特别感谢我的导师,不仅在学术上给予我无私的指导,而且在生活上给予我关怀和支持。是您严谨的学术态度和勤奋的工作精神将永远激励我不断前进。
其次,我要感谢所有教导过我的老师们,是你们精彩课堂和深入的指导为我的研究工作提供了宝贵的知识和灵感。
我还要感谢我的家人,他们的理解和支持是我完成学业的坚强后盾。在我遇到困难和挑战时,他们总是给予我鼓励和力量。
此外,我也要感谢我的朋友和同学们,你们的陪伴和帮助使我的研究生活更加丰富多彩。我们共同度过的时光将成为我一生中宝贵的回忆。
最后,我要感谢所有支持本项目,为本项目提供建设性意见的人员,没有他们的协助,本论文无法顺利完成。
再次感谢所有帮助和支持我的人,是你们的帮助使我的研究之路不再孤单。
免费领取项目源码,请关注❥点赞收藏并私信博主,谢谢~
1732

被折叠的 条评论
为什么被折叠?



