目 录
摘 要
随着社会老龄化问题的加剧,乡村地区的传统养老方式面临诸多挑战,如信息不对称、服务质量不稳定以及健康管理不专业等问题。因此,开发一个基于SpringBoot的乡村养老服务系统显得尤为重要。该系统采用Java编程语言、SpringBoot框架、MySQL数据库和Vue前端技术,旨在通过信息化手段提供更加便捷、智能和个性化的养老服务。系统的日常娱乐模块利用用户行为分析推荐功能,根据用户兴趣推荐内容,提升用户体验,同时提供健康档案管理、志愿活动、养老服务预约等功能,全面提升老年人的生活质量。
该系统的目标是为老年人、家属及管理员提供一个集成化的服务平台,解决传统养老方式中的管理和服务难题。管理员可以通过系统管理老人的健康档案、紧急求助、娱乐活动、志愿服务等,家属可查看老人的健康状况和服务预约记录,确保老人得到全面照护。老人用户则可以管理自己的健康档案、紧急求助、参与娱乐活动、预约养老服务,并通过平台与家属和管理员进行互动。这种基于SpringBoot的智能养老服务系统不仅提升了乡村养老服务的效率,还改善了老人生活质量,实现了养老服务的智能化和个性化。
关键词:乡村养老服务;SpringBoot框架;智能化服务;
With the intensification of the aging problem in society, traditional elderly care methods in rural areas are facing many challenges, such as information asymmetry, unstable service quality, and unprofessional health management. Therefore, developing a rural elderly care service system based on SpringBoot is particularly important. The system adopts Java programming language, SpringBoot framework, MySQL database, and Vue front-end technology, aiming to provide more convenient, intelligent, and personalized elderly care services through information technology. The daily entertainment module of the system utilizes user behavior analysis and recommendation functions to recommend content based on user interests, enhance user experience, and provide functions such as health record management, volunteer activities, and elderly care service appointments, comprehensively improving the quality of life of the elderly.
The goal of this system is to provide an integrated service platform for the elderly, their families, and administrators, solving the management and service challenges in traditional elderly care methods. Administrators can manage the elderly's health records, emergency assistance, recreational activities, volunteer services, etc. through the system. Family members can view the elderly's health status and service appointment records to ensure that they receive comprehensive care. Elderly users can manage their health records, seek emergency assistance, participate in entertainment activities, make appointments for elderly care services, and interact with their families and administrators through the platform. This intelligent elderly care service system based on SpringBoot not only improves the efficiency of rural elderly care services, but also enhances the quality of life of the elderly, achieving intelligent and personalized elderly care services.
Keywords: rural elderly care services; SpringBoot framework; Intelligent services;
- 绪 论
- 研究背景及意义
随着社会的发展和人口老龄化的加剧,乡村地区的养老服务面临着前所未有的挑战。传统养老服务模式在许多方面已经无法满足现代老年人日益增长的需求。例如,信息的不对及时分享导致家属难以了解老人的真实生活状况,缺乏有效的紧急求助机制使得老人在遇到突发情况时可能无法迅速得到必要的帮助,而单一的服务内容也无法满足老人多样化的兴趣和娱乐需求。这些问题的存在,不仅影响了老年人的生活质量,也给家庭和社会带来了沉重的负担。
在这样的背景下,构建一个综合性的乡村养老服务体系显得尤为重要。通过建立一个集成化的服务平台,可以促进信息的快速流通,使老人的基本健康状况、日常生活需求能够被家人和服务提供者实时掌握。同时,这种平台还能够提供紧急响应服务,确保老人在遇到危险时能第一时间获得援助。此外,借助于个性化的娱乐和服务推荐功能,还可以丰富老人的精神文化生活,提升他们的幸福感和满意度。
该体系的建立不仅有助于改善乡村老年人的生活品质,减轻家庭成员的照料压力,还能提高整个社会对老年群体的关注度和支持力度。它体现了社会对于老年人群关怀的进步,也是社会发展到一定阶段对公平性和包容性提出的新要求。通过优化资源配置,整合社会各界力量共同参与,将为解决乡村养老问题开辟新的路径,具有重要的现实意义和社会价值。
在国内,随着人口老龄化的加剧,乡村养老服务系统的开发和应用逐渐受到重视。近年来,政府和社会各界纷纷加大对养老服务体系的投入和支持力度,推动了相关技术和服务模式的创新与发展。一些地方政府与科技企业合作,尝试通过智能化、信息化手段提升养老服务的质量和效率。例如,“智慧养老云平台”就是一个典型例子,它集成了健康管理、紧急救援、生活服务等多项功能,旨在为老年人提供全方位的服务支持。然而,尽管这类系统在一定程度上提高了服务的便捷性和可及性,但在实际操作中也暴露出数据隐私保护不足、用户接受度不高以及地域覆盖不均衡等问题。
在国外,特别是在一些发达国家,针对老龄化社会的挑战,已经形成了较为成熟的养老服务体系。例如,日本的“银发IT支援中心”,该系统利用先进的信息技术为老年人提供包括健康监测、社交互动、在线学习等在内的多样化服务。这种模式的优势在于高度定制化和用户友好设计,能够有效提高老年人的生活质量和社会参与度。但是,由于这些系统通常依赖于较高的技术支持和经济基础,其在全球范围内的推广面临一定的限制,特别是在发展中国家和地区,实施起来可能遇到技术和资金方面的障碍。
综合来看,无论是国内还是国外,现有的乡村养老服务系统都在努力通过技术创新来应对老龄化带来的各种挑战。国内的发展趋势显示出对智能化解决方案的积极探索,力求在快速发展的信息技术背景下寻找适合国情的养老服务模式。而国外的经验则更多地强调用户体验和服务细节,注重老年人的实际需求和反馈。不过,两者都面临着共同的问题,如如何更好地保护用户隐私、提高系统的普及率和可持续性等。未来,随着技术的进步和社会认知的深化,构建更加完善、人性化的乡村养老服务系统将成为国内外共同追求的目标。
本论文共分为七个主要章节,具体结构如下:
1. 绪论:介绍研究背景与意义,回顾国内外研究现状,并概述论文的组织结构。
2. 相关技术介绍:详细介绍与本研究相关的技术,包括Java语言、B/S框架、SpringBoot框架、Vue技术和MySQL数据库。
3. 需求分析:对系统的功能需求和非功能需求进行分析,明确用户和管理员的需求,并进行可行性分析,包括技术、操作和经济可行性。
4. 系统设计:涵盖系统架构设计、系统模块设计,并进行数据库的概念设计与表设计。
5. 系统实现:具体描述各个功能模块的实现过程,展示系统如何根据需求进行开发。
6. 系统测试:阐述测试的目的,分析测试结果并得出结论,以验证系统的稳定性和功能完整性。
7. 总结:总结研究的主要成果和贡献,指出存在的不足及未来的研究方向。
Java语言是一种广泛使用的高级编程语言,具有平台无关性、面向对象特性和丰富的标准库。Java通过Java虚拟机(JVM)实现跨平台运行,开发者可以编写一次代码,在任何支持JVM的环境中执行[1]。Java的面向对象特性使得代码复用和模块化变得更加容易,促进了软件的维护和扩展。Java支持多线程编程,允许开发者在同一程序中同时执行多个任务,提升了应用程序的性能。
Java语言的语法结构简洁且易于理解,吸引了大量开发者。Java的标准库包含数据结构、输入输出处理、网络编程等众多功能模块。这使得开发者在构建应用程序时能够高效利用已有工具,减少重复劳动。Java广泛应用于企业级应用、移动应用、Web开发和大数据处理等领域。
B/S(Browser/Server)架构是一种基于浏览器和服务器的系统架构模式,用户通过浏览器与服务器进行交互。B/S架构简化了客户端的部署和管理,用户无需在本地安装复杂的软件,只需使用标准浏览器即可访问应用程序。服务器端负责处理业务逻辑和数据存储,客户端则主要负责展示用户界面和数据交互[2]。B/S架构的设计使得系统更新和维护集中在服务器端,降低了维护成本。
B/S架构通常采用Web技术进行实现,包括HTML、CSS和JavaScript等。用户在浏览器中发起请求,服务器响应并返回数据。数据传输通常通过HTTP或HTTPS协议进行,B/S架构的灵活性使其适用于在线购物、信息管理系统和社交网络等各类应用场景[3]。由于其易于扩展性,B/S架构可以方便地支持大规模用户访问,适应不断变化的业务需求。
SpringBoot框架是基于Spring框架的开源项目,简化Java应用程序的开发过程。SpringBoot通过约定优于配置的理念,减少了传统Spring应用的繁琐配置,开发者可以快速搭建和部署应用程序。框架提供了一系列默认配置,支持自动化配置,简化了应用启动的复杂性[4]。SpringBoot内置了嵌入式Web服务器,使得开发者能够独立运行Java应用,无需外部容器。
SpringBoot支持微服务架构,开发者可以轻松创建和管理多个微服务。框架集成了丰富的功能模块,包括安全、数据访问和消息中间件等,支持RESTful API和JSON数据格式的处理[5]。SpringBoot还提供了强大的监控和管理功能,允许开发者实时监控应用的健康状态和性能指标。借助SpringBoot,开发者能够高效构建和维护现代企业级应用,满足复杂业务需求。
Vue是一种渐进式JavaScript框架,专注于构建用户界面。Vue采用组件化的开发模式,允许开发者将应用程序拆分为独立的、可重用的组件,从而提高了开发效率和代码的可维护性[6]。框架的核心库专注于视图层,支持数据绑定和DOM操作,提供了简洁的API。Vue的虚拟DOM机制提升了应用的性能,减少了实际DOM操作的次数。
Vue支持双向数据绑定,能够自动更新视图与模型之间的变化。开发者可以通过Vue的指令系统,简化数据展示和事件处理。Vue还支持路由管理和状态管理,使得开发复杂单页面应用变得更加容易[7]。借助Vue的生态系统,开发者能够使用多种工具和库来扩展功能,满足不同的业务需求。Vue在前端开发中逐渐成为主流选择,受到广泛关注和应用。
MySQL是一种开源关系型数据库管理系统,广泛应用于Web应用和企业级数据存储。MySQL支持结构化查询语言,允许开发者通过标准语句进行数据的创建、读取、更新和删除操作[8]。数据库通过表格形式组织数据,支持数据完整性和约束条件的定义。MySQL的存储引擎机制使得用户可以根据具体需求选择不同的存储引擎,以优化性能和功能。
MySQL具有高性能和可扩展性,支持大规模数据存储和高并发访问。系统提供了丰富的用户权限管理和数据加密安全特性。
从技术层面审视,SpringBoot作为一种轻量级且能迅速构建的Java框架,具备提升开发效率、降低系统复杂度、便于维护与升级的特性。与此同时,MySQL作为关系型数据库,能够提供平台数据的存储与管理支持,确保系统的稳定性和高效性。基于此,本系统的技术可行性得以确立。
系统设计须遵循用户友好的原则,确保用户能够简便地掌握并高效地运用。通过合理的界面布局、直观的操作流程以及详尽的帮助文档,能够显著降低用户的学习成本,提升系统的操作可行性。此外,系统还应具备完善的权限管理和数据安全机制,确保操作的安全性和合规性。
乡村养老服务系统采用SpringBoot框架开发,具备高效性和灵活性,能够降低开发和维护成本。通过信息化手段优化服务流程,提升管理效率,减少人工成本,具有较高的经济效益。系统能够在保证服务质量的同时,降低运营开销,促进养老机构的可持续发展,符合市场对高效、低成本服务解决方案的需求。
乡村养老服务系统划分为了前端模块和后端模块两大部分。
前端家属用户模块:
注册登录:用户需要先进行注册,注册成功后,需要等待管理员的审核,审核通过后才能进行登录操作。
社交互动:用户可以对感兴趣的内容进行点赞、收藏、评论,也可以发布自己的帖子,回复其他用户的评论。
通知公告:家属可以在通知公告模块查看平台发布的各种通知和公告。
新闻资讯:家属用户可以对感兴趣的新闻资讯进行点赞、收藏、评论。
日常娱乐:家属用户可以进行搜索,查看日常娱乐详情,观看娱乐视频,也可以对视频进行点赞、收藏、评论。
志愿活动:家属用户可以进行搜索,查看志愿活动的详细信息,也可以对活动进行点赞、收藏、评论。
养老服务:家属用户可以进行搜索,查看养老服务的详细信息,也可以对服务进行点赞、收藏、评论。
我的账户:家属用户可以修改个人资料和密码。
个人中心:个人中心是家属用户管理个人信息及监控老人的生活和健康的入口。家属可以查看老人添加的紧急求助信息并进行修改,查看老人的健康档案、家属提醒、健康建议、活动报名情况等。家属还可以查看老人预约的服务、在线问诊记录和体检记录,及时了解老人的健康动态。个人中心还提供收藏和评论管理功能,方便家属管理与平台的互动内容。
前端老人用户模块:
注册登录:为老人用户提供了便捷的注册和登录功能,使他们能够轻松地访问和使用平台的各种服务。
首页:首页设计简洁明了,方便老人用户快速找到他们感兴趣的内容和功能。
社交互动:老人用户可以通过点赞、收藏、评论以及发布帖子和回复评论来与他人进行互动,享受社交的乐趣。
通知公告:此功能确保老人用户能够及时接收到平台的重要通知和公告信息。
新闻资讯:老人用户可以阅读新闻资讯,并通过点赞、收藏和评论来表达自己的观点和感受。
紧急求助:老人用户可以添加紧急求助人信息,包括详细地址、求助内容以及家属用户等,以便在紧急情况下快速获得联系。
日常娱乐:用户行为分析系统会根据老人用户收藏的内容类型,智能推荐相关内容至最前面,方便他们发现和享受日常娱乐。
志愿活动:老人用户可以搜索并查看志愿活动的详细信息,通过点赞、收藏、评论来表达支持,并可直接报名参与。
养老服务:老人用户可以搜索并查看养老服务的详细信息,通过点赞、收藏、评论来表达自己的需求,并可进行预约服务。
在线问诊:为老人用户提供了便捷的在线问诊服务,使他们能够及时获得专业的医疗咨询。
我的账户:老人用户可以在此处修改个人资料和密码,确保账户的安全性和个人信息的准确性。
个人中心:个人中心是老人用户管理个人信息的综合入口,展示了健康档案统计图、紧急求助记录、健康建议等。通过个人中心,老人能够查看和管理每天的健康档案、活动报名、服务预约、体检记录等,同时能够查看并管理个人的收藏和评论,确保个人信息得到有效整理和更新。
后端管理员模块:
登录:管理员可以通过输入正确的用户名和密码登录到系统后台,进行各项管理操作。
后台首页展示:在后台首页,管理员可以直观地看到健康档案的统计图表,这些图表以图形化的方式展示了老人的健康数据,便于管理员快速掌握整体情况。
系统用户管理:系统中包含不同类型的用户,包括管理员、家属用户和老人用户。管理员可以对家属用户进行审核,以及对老人用户进行增加、删除、修改和查询操作。
紧急求助管理:管理员可以查询紧急求助信息,查看求助详情,并对求助情况进行监管。
健康档案管理:管理员可以根据老人添加的健康档案信息,为老人提供个性化的健康建议和提醒服务。
健康建议管理:管理员可以查询、重置或删除健康建议,确保建议的准确性和及时性。
家属提醒管理:管理员可以查询、重置或删除家属提醒,帮助家属更好地关注老人的健康状况。
娱乐类型管理:管理员可以对老人的日常娱乐活动类型进行管理,包括添加新的娱乐类型和删除不再适用的类型。
日常娱乐管理:管理员可以查询、重置、删除或添加老人的日常娱乐活动,并查看活动的评论,以评估活动的受欢迎程度和改进方向。
志愿活动管理:管理员可以查询、重置、删除或添加志愿活动,并查看活动的评论,以了解活动的参与情况和老人的反馈。
活动报名管理:管理员可以查看老人的活动报名情况,并对报名进行审核和回复,确保活动的顺利进行。
养老服务管理:管理员可以查询、重置、删除或添加养老服务,并查看服务的评论,以评估服务质量和老人的满意度。
服务预约管理:管理员可以查看老人的服务预约情况,并对预约进行审核和回复,确保服务的及时提供。
在线问诊管理:管理员可以查看老人的在线问诊咨询,并进行回复,帮助老人解决健康问题。
体检记录管理:管理员可以查看老人上传的体检记录,并进行监管,确保老人的健康数据得到妥善处理。
系统管理:管理员可以管理轮播图和敏感词,以维护系统的正常运行和内容的健康性。
通知公告管理:管理员可以发布和管理通知公告,确保老人和家属能够及时获取重要信息。
资源管理:管理员可以管理新闻资讯和资讯分类,并查看评论,以丰富老人的精神文化生活。
交流管理:管理员管理社区论坛及其分类。管理员可以查看论坛帖子和评论,确保内容规范并及时处理不当言论。此外,管理员还可根据用户互动情况调整论坛设置,维护和谐的社区环境。
乡村养老服务系统的非功能性需求比如乡村养老服务系统的安全性怎么样,可靠性怎么样,性能怎么样,可拓展性怎么样等,具体可以表示在如下3-1表格中:
-
-
-
- 乡村养老服务系统非功能需求表
-
-
| 安全性 | 主要指乡村养老服务系统数据库的安装,数据库的使用和密码的设定必须合乎规范。 |
| 可靠性 | 可靠性是指乡村养老服务系统能够安装用户的指示进行操作,经过测试,可靠性90%以上。 |
| 性能 | 性能是影响乡村养老服务系统占据市场的必要条件,所以性能最好要佳才好。 |
| 可扩展性 | 比如数据库预留多个属性,比如接口的使用等确保了系统的非功能性需求。 |
| 易用性 | 用户只要跟着乡村养老服务系统的页面展示内容进行操作,就可以了。 |
| 可维护性 | 乡村养老服务系统开发的可维护性是非常重要的,经过测试,可维护性没有问题 |
乡村养老服务系统的完整UML用例图分别是图3-1、3-2和3-3。
家属用户角色用例如下图所示。

-
-
-
-
- 乡村养老服务系统家属用户角色用例图
-
-
-
老人用户角色用例如下图所示。

-
-
-
-
- 乡村养老服务系统老人用户角色用例图
-
-
-
管理员角色用例如下图所示。

-
-
-
-
- 乡村养老服务系统管理员角色用例图
-
-
-
- 系统总体设计
本章主要讨论的内容包括乡村养老服务系统的功能模块设计、数据库系统设计。
在系统架构设计中,我将确定系统的整体结构和组件之间的关系。这包括选择适当的架构风格,划分系统的层次结构,并定义各个模块的职责和交互方式。架构图如下图所示。

-
-
-
-
- 乡村养老服务系统架构设计图
-
-
-
表示层(Presentation Layer):负责与用户进行交互,将系统的功能和数据以易于理解和操作的方式展示给用户。通常包括用户界面、页面设计和用户输入验证等。
业务逻辑层(Business Logic Layer):处理系统的核心业务逻辑,包括对用户请求的处理、业务规则的执行以及数据的处理和转换。它独立于表现层和数据层,实现了业务逻辑的封装和复用。
数据层(Data Layer):负责数据的存储、访问和管理,包括数据库和持久化机制。数据层提供了对数据的增删改查操作,并与业务逻辑层进行交互,使系统能够有效地存储和检索数据。
这三个层次相互独立,通过明确的接口和协议进行通信,实现了系统的模块化和可扩展性。表现层负责将用户的请求传递给业务逻辑层,业务逻辑层处理请求并返回结果,最后数据层负责与数据库交互并提供数据支持。这种分层架构有助于实现系统的可维护性、灵活性和可测试性。
在上一章节中主要对系统的功能性需求和非功能性需求进行分析,并且根据需求分析了本乡村养老服务系统中的用例。那么接下来就要开始对本乡村养老服务系统的架构、主要功能和数据库开始进行设计。乡村养老服务系统根据前面章节的需求分析得出,乡村养老服务系统的功能模块图如下图所示。

用户输入用户名和密码后,系统先检查输入是否为空,再验证用户名是否存在,若存在则通过用户名获取密码并校验。若密码正确则登录成功,否则提示密码错误。若用户名不存在或无法登录,提示用户操作无效。如下图所示。

-
-
-
-
- 登录流程图
-
-
-
用户首先进入系统登录界面,输入用户名和密码后,系统验证信息是否正确。若验证失败,返回登录界面重新输入,若验证成功,则进入功能界面,执行相应功能处理后结束操作流程。操作流程如下图所示。

当用户登录系统的时候,浏览养老服务,查看详情并进行预约生成预约信息,管理员在后端处理预约。老人用户预约服务操作流程如图下所示。

-
-
-
-
- 操作流程图
-
-
- 系统活动图设计
-
系统须支撑整个机构不同层面的多种职能,而各功能模块间存在着多种关联信息,组成一个有机整体,并针对就业数据自身特点和面临的现实条件,对系统进行流程图设计。活动图是一种用于对系统的动态行为建模的另一种常用图表,通常用于可视化展示系统中各个活动的执行顺序、流程控制和数据交互,展现从一个活动到另一个活动的控制流,活动图在本质上是一种流程图;但活动图着重表现从一个活动到另一个活动的控制流。因此,这里列举了2个业务活动图。
(1)用户登录查询的业务流程如下。
用户注册登录,系统从数据库获取用户数据信息,登录成功用户进入查询页面,用户输入查询关键字,数据库查询用户所输入的关键字,查询成功显示查询的模块信息,查询失败不显示。用户登录查询功能的活动图如下图所示。

-
-
-
-
- 用户登录查询活动图
-
-
-
(2)管理员添加信息的业务流程如下。
此活动图描述了管理员添加信息。管理员可以通过信息管理模块页面选择要添加的基本信息。添加成功传入数据库中,失败则不添加。管理员可以保存信息并更新系统中的信息。管理员添加信息功能的活动图如下图所示。

数据库设计是系统开发中至关重要的环节,为系统提供高效、规范的数据存储和管理方案。设计过程包括需求分析、实体设计、表设计和逻辑结构设计。首先,通过分析业务需求,确定系统的核心实体及其属性,同时明确实体间的关系。接着,将实体抽象为具体的数据库表,为每张表定义字段名、数据类型、主键和外键,通过主外键关系和关联表设计,保证数据的完整性和一致性。最后,数据库逻辑设计进一步优化表之间的关系,通过索引、视图和存储过程提升查询效率和操作性能。整个设计需严格遵循规范,避免数据冗余和冲突,确保系统在高并发访问和复杂数据处理场景下的稳定性和高效性。
-
-
- 数据库概念结构设计
-
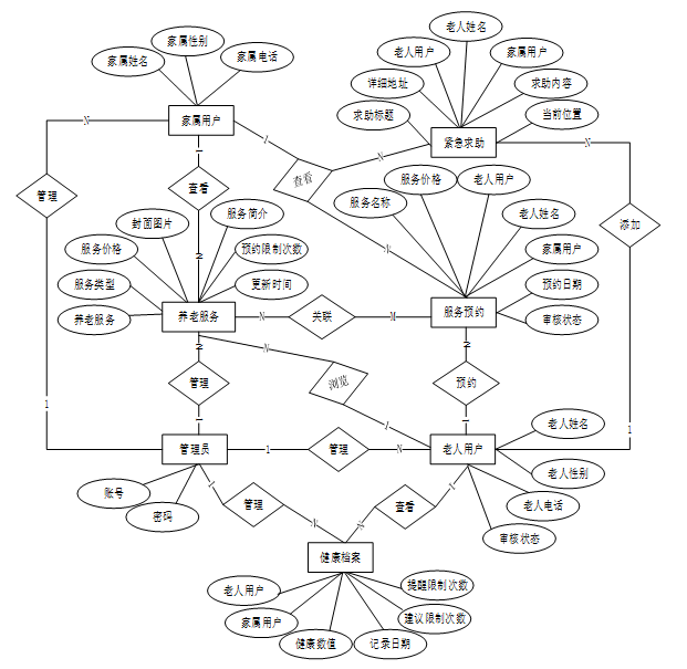
下面是整个乡村养老服务系统中主要的数据库表总E-R实体关系图。

-
-
-
-
- 乡村养老服务系统总E-R关系图
-
- 数据库逻辑结构设计
-
-
通过上一小节中乡村养老服务系统中总E-R关系图上得出一共需要创建多个数据表。在此主要罗列几个主要的数据库表结构设计。
表 4-1-access_token(登陆访问时长)
| 编号 | 字段名 | 类型 | 长度 | 是否非空 | 是否主键 | 注释 |
| 1 | token_id | int | 是 | 是 | 临时访问牌ID | |
| 2 | token | varchar | 64 | 否 | 否 | 临时访问牌 |
| 3 | info | text | 65535 | 否 | 否 | 信息 |
| 4 | maxage | int | 是 | 否 | 最大寿命:默认2小时 | |
| 5 | create_time | timestamp | 是 | 否 | 创建时间 | |
| 6 | update_time | timestamp | 是 | 否 | 更新时间 | |
| 7 | user_id | int | 是 | 否 | 用户编号 |
表 4-2-activity_registration(活动报名)
| 编号 | 字段名 | 类型 | 长度 | 是否非空 | 是否主键 | 注释 |
| 1 | activity_registration_id | int | 是 | 是 | 活动报名ID | |
| 2 | activity_name | varchar | 64 | 否 | 否 | 活动名称 |
| 3 | activity_type | varchar | 64 | 否 | 否 | 活动类型 |
| 4 | activity_location | varchar | 64 | 否 | 否 | 活动地点 |
| 5 | activity_date | date | 否 | 否 | 活动日期 | |
| 6 | elderly_users | int | 否 | 否 | 老人用户 | |
| 7 | old_mans_name | varchar | 64 | 否 | 否 | 老人姓名 |
| 8 | old_man_phone | varchar | 64 | 否 | 否 | 老人电话 |
| 9 | dependents_users | int | 否 | 否 | 家属用户 | |
| 10 | registration_remarks | text | 65535 | 否 | 否 | 报名备注 |
| 11 | examine_state | varchar | 16 | 是 | 否 | 审核状态 |
| 12 | create_time | datetime | 是 | 否 | 创建时间 | |
| 13 | update_time | timestamp | 是 | 否 | 更新时间 | |
| 14 | source_table | varchar | 255 | 否 | 否 | 来源表 |
| 15 | source_id | int | 否 | 否 | 来源ID | |
| 16 | source_user_id | int | 否 | 否 | 来源用户 |
表 4-3-article(文章)
| 编号 | 字段名 | 类型 | 长度 | 是否非空 | 是否主键 | 注释 |
| 1 | article_id | mediumint | 是 | 是 | 文章id | |
| 2 | title | varchar | 125 | 是 | 是 | 标题 |
| 3 | type | varchar | 64 | 是 | 否 | 文章分类 |
| 4 | hits | int | 是 | 否 | 点击数 | |
| 5 | praise_len | int | 是 | 否 | 点赞数 | |
| 6 | create_time | timestamp | 是 | 否 | 创建时间 | |
| 7 | update_time | timestamp | 是 | 否 | 更新时间 | |
| 8 | source | varchar | 255 | 否 | 否 | 来源 |
| 9 | url | varchar | 255 | 否 | 否 | 来源地址 |
| 10 | tag | varchar | 255 | 否 | 否 | 标签 |
| 11 | content | longtext | 4294967295 | 否 | 否 | 正文 |
| 12 | img | varchar | 255 | 否 | 否 | 封面图 |
| 13 | description | text | 65535 | 否 | 否 | 文章描述 |
表 4-4-article_type(文章分类)
| 编号 | 字段名 | 类型 | 长度 | 是否非空 | 是否主键 | 注释 |
| 1 | type_id | smallint | 是 | 是 | 分类ID | |
| 2 | display | smallint | 是 | 否 | 显示顺序 | |
| 3 | name | varchar | 16 | 是 | 否 | 分类名称 |
| 4 | father_id | smallint | 是 | 否 | 上级分类ID | |
| 5 | description | varchar | 255 | 否 | 否 | 描述 |
| 6 | icon | text | 65535 | 否 | 否 | 分类图标 |
| 7 | url | varchar | 255 | 否 | 否 | 外链地址 |
| 8 | create_time | timestamp | 是 | 否 | 创建时间 | |
| 9 | update_time | timestamp | 是 | 否 | 更新时间 |
表 4-5-auth(用户权限管理)
| 编号 | 字段名 | 类型 | 长度 | 是否非空 | 是否主键 | 注释 |
| 1 | auth_id | int | 是 | 是 | 授权ID | |
| 2 | user_group | varchar | 64 | 否 | 否 | 用户组 |
| 3 | mod_name | varchar | 64 | 否 | 否 | 模块名 |
| 4 | table_name | varchar | 64 | 否 | 否 | 表名 |
| 5 | page_title | varchar | 255 | 否 | 否 | 页面标题 |
| 6 | path | varchar | 255 | 否 | 否 | 路由路径 |
| 7 | parent | varchar | 64 | 否 | 否 | 父级菜单 |
| 8 | parent_sort | int | 是 | 否 | 父级菜单排序 | |
| 9 | position | varchar | 32 | 否 | 否 | 位置 |
| 10 | mode | varchar | 32 | 是 | 否 | 跳转方式 |
| 11 | add | tinyint | 是 | 否 | 是否可增加 | |
| 12 | del | tinyint | 是 | 否 | 是否可删除 | |
| 13 | set | tinyint | 是 | 否 | 是否可修改 | |
| 14 | get | tinyint | 是 | 否 | 是否可查看 | |
| 15 | field_add | text | 65535 | 否 | 否 | 添加字段 |
| 16 | field_set | text | 65535 | 否 | 否 | 修改字段 |
| 17 | field_get | text | 65535 | 否 | 否 | 查询字段 |
| 18 | table_nav_name | varchar | 500 | 否 | 否 | 跨表导航名称 |
| 19 | table_nav | varchar | 500 | 否 | 否 | 跨表导航 |
| 20 | option | text | 65535 | 否 | 否 | 配置 |
| 21 | create_time | timestamp | 是 | 否 | 创建时间 | |
| 22 | update_time | timestamp | 是 | 否 | 更新时间 |
表 4-6-code_token(验证码)
| 编号 | 字段名 | 类型 | 长度 | 是否非空 | 是否主键 | 注释 |
| 1 | code_token_id | int | 是 | 是 | 验证码ID | |
| 2 | token | varchar | 255 | 否 | 否 | 令牌 |
| 3 | code | varchar | 255 | 否 | 否 | 验证码 |
| 4 | expire_time | timestamp | 是 | 否 | 失效时间 | |
| 5 | create_time | timestamp | 是 | 否 | 创建时间 | |
| 6 | update_time | timestamp | 是 | 否 | 更新时间 |
表 4-7-collect(收藏)
| 编号 | 字段名 | 类型 | 长度 | 是否非空 | 是否主键 | 注释 |
| 1 | collect_id | int | 是 | 是 | 收藏ID | |
| 2 | user_id | int | 是 | 是 | 收藏人ID | |
| 3 | source_table | varchar | 255 | 否 | 否 | 来源表 |
| 4 | source_field | varchar | 255 | 否 | 否 | 来源字段 |
| 5 | source_id | int | 是 | 否 | 来源ID | |
| 6 | title | varchar | 255 | 否 | 否 | 标题 |
| 7 | img | varchar | 255 | 否 | 否 | 封面 |
| 8 | create_time | timestamp | 是 | 否 | 创建时间 | |
| 9 | update_time | timestamp | 是 | 否 | 更新时间 |
表 4-8-comment(评论)
| 编号 | 字段名 | 类型 | 长度 | 是否非空 | 是否主键 | 注释 |
| 1 | comment_id | int | 是 | 是 | 评论ID | |
| 2 | user_id | int | 是 | 是 | 评论人ID | |
| 3 | reply_to_id | int | 是 | 否 | 回复评论ID | |
| 4 | content | longtext | 4294967295 | 否 | 否 | 内容 |
| 5 | nickname | varchar | 255 | 否 | 否 | 昵称 |
| 6 | avatar | varchar | 255 | 否 | 否 | 头像地址 |
| 7 | create_time | timestamp | 是 | 否 | 创建时间 | |
| 8 | update_time | timestamp | 是 | 否 | 更新时间 | |
| 9 | source_table | varchar | 255 | 否 | 否 | 来源表 |
| 10 | source_field | varchar | 255 | 否 | 否 | 来源字段 |
| 11 | source_id | int | 是 | 否 | 来源ID |
表 4-9-daily_entertainment(日常娱乐)
| 编号 | 字段名 | 类型 | 长度 | 是否非空 | 是否主键 | 注释 |
| 1 | daily_entertainment_id | int | 是 | 是 | 日常娱乐ID | |
| 2 | entertainment_name | varchar | 64 | 否 | 否 | 娱乐名称 |
| 3 | types_of_entertainment | varchar | 64 | 否 | 否 | 娱乐类型 |
| 4 | entertainment_video | varchar | 255 | 否 | 否 | 娱乐视频 |
| 5 | entertainment_features | varchar | 64 | 否 | 否 | 娱乐特色 |
| 6 | cover_image | varchar | 255 | 否 | 否 | 封面图片 |
| 7 | entertainment_introduction | longtext | 4294967295 | 否 | 否 | 娱乐简介 |
| 8 | hits | int | 是 | 否 | 点击数 | |
| 9 | praise_len | int | 是 | 否 | 点赞数 | |
| 10 | collect_len | int | 是 | 否 | 收藏数 | |
| 11 | comment_len | int | 是 | 否 | 评论数 | |
| 12 | recommend | int | 是 | 否 | 智能推荐 | |
| 13 | create_time | datetime | 是 | 否 | 创建时间 | |
| 14 | update_time | timestamp | 是 | 否 | 更新时间 |
表 4-10-dependents_users(家属用户)
| 编号 | 字段名 | 类型 | 长度 | 是否非空 | 是否主键 | 注释 |
| 1 | dependents_users_id | int | 是 | 是 | 家属用户ID | |
| 2 | family_name | varchar | 64 | 否 | 否 | 家属姓名 |
| 3 | family_phone | varchar | 64 | 否 | 否 | 家属电话 |
| 4 | family_member_gender | varchar | 64 | 否 | 否 | 家属性别 |
| 5 | examine_state | varchar | 16 | 是 | 否 | 审核状态 |
| 6 | user_id | int | 是 | 否 | 用户ID | |
| 7 | create_time | datetime | 是 | 否 | 创建时间 | |
| 8 | update_time | timestamp | 是 | 否 | 更新时间 |
表 4-11-elderly_users(老人用户)
| 编号 | 字段名 | 类型 | 长度 | 是否非空 | 是否主键 | 注释 |
| 1 | elderly_users_id | int | 是 | 是 | 老人用户ID | |
| 2 | old_mans_name | varchar | 64 | 否 | 否 | 老人姓名 |
| 3 | gender_of_the_elderly | varchar | 64 | 否 | 否 | 老人性别 |
| 4 | old_man_phone | varchar | 64 | 否 | 否 | 老人电话 |
| 5 | dependents_users | int | 否 | 否 | 家属用户 | |
| 6 | examine_state | varchar | 16 | 是 | 否 | 审核状态 |
| 7 | user_id | int | 是 | 否 | 用户ID | |
| 8 | create_time | datetime | 是 | 否 | 创建时间 | |
| 9 | update_time | timestamp | 是 | 否 | 更新时间 |
表 4-12-emergency_help(紧急求助)
| 编号 | 字段名 | 类型 | 长度 | 是否非空 | 是否主键 | 注释 |
| 1 | emergency_help_id | int | 是 | 是 | 紧急求助ID | |
| 2 | help_title | varchar | 64 | 否 | 否 | 求助标题 |
| 3 | detailed_address | varchar | 64 | 否 | 否 | 详细地址 |
| 4 | elderly_users | int | 否 | 否 | 老人用户 | |
| 5 | old_mans_name | varchar | 64 | 否 | 否 | 老人姓名 |
| 6 | old_man_phone | varchar | 64 | 否 | 否 | 老人电话 |
| 7 | dependents_users | int | 否 | 否 | 家属用户 | |
| 8 | help_content | text | 65535 | 否 | 否 | 求助内容 |
| 9 | location_address | varchar | 64 | 否 | 否 | 当前位置 |
| 10 | location_lng | varchar | 64 | 否 | 否 | 当前位置经度 |
| 11 | location_lat | varchar | 64 | 否 | 否 | 当前位置纬度 |
| 12 | create_time | datetime | 是 | 否 | 创建时间 | |
| 13 | update_time | timestamp | 是 | 否 | 更新时间 |
表 4-13-family_reminder(家属提醒)
| 编号 | 字段名 | 类型 | 长度 | 是否非空 | 是否主键 | 注释 |
| 1 | family_reminder_id | int | 是 | 是 | 家属提醒ID | |
| 2 | elderly_users | int | 否 | 否 | 老人用户 | |
| 3 | old_mans_name | varchar | 64 | 否 | 否 | 老人姓名 |
| 4 | old_man_phone | varchar | 64 | 否 | 否 | 老人电话 |
| 5 | dependents_users | int | 否 | 否 | 家属用户 | |
| 6 | record_type | varchar | 64 | 否 | 否 | 记录类型 |
| 7 | health_values | double | 否 | 否 | 健康数值 | |
| 8 | record_date | date | 否 | 否 | 记录日期 | |
| 9 | reminder_content | text | 65535 | 否 | 否 | 提醒内容 |
| 10 | create_time | datetime | 是 | 否 | 创建时间 | |
| 11 | update_time | timestamp | 是 | 否 | 更新时间 | |
| 12 | source_table | varchar | 255 | 否 | 否 | 来源表 |
| 13 | source_id | int | 否 | 否 | 来源ID | |
| 14 | source_user_id | int | 否 | 否 | 来源用户 |
表 4-14-forum(论坛)
| 编号 | 字段名 | 类型 | 长度 | 是否非空 | 是否主键 | 注释 |
| 1 | forum_id | mediumint | 是 | 是 | 论坛ID | |
| 2 | display | smallint | 是 | 否 | 排序 | |
| 3 | user_id | mediumint | 是 | 否 | 用户ID | |
| 4 | nickname | varchar | 16 | 否 | 否 | 昵称 |
| 5 | praise_len | int | 否 | 否 | 点赞数 | |
| 6 | hits | int | 是 | 否 | 访问数 | |
| 7 | title | varchar | 125 | 是 | 否 | 标题 |
| 8 | keywords | varchar | 125 | 否 | 否 | 关键词 |
| 9 | description | varchar | 255 | 否 | 否 | 描述 |
| 10 | url | varchar | 255 | 否 | 否 | 来源地址 |
| 11 | tag | varchar | 255 | 否 | 否 | 标签 |
| 12 | img | text | 65535 | 否 | 否 | 封面图 |
| 13 | content | longtext | 4294967295 | 否 | 否 | 正文 |
| 14 | create_time | timestamp | 是 | 否 | 创建时间 | |
| 15 | update_time | timestamp | 是 | 否 | 更新时间 | |
| 16 | avatar | varchar | 255 | 否 | 否 | 发帖人头像 |
| 17 | type | varchar | 64 | 是 | 否 | 论坛分类 |
| 18 | istop | int | 是 | 否 | 是否置顶 |
表 4-15-forum_type(论坛分类)
| 编号 | 字段名 | 类型 | 长度 | 是否非空 | 是否主键 | 注释 |
| 1 | type_id | smallint | 是 | 是 | 分类ID | |
| 2 | name | varchar | 16 | 是 | 否 | 分类名称 |
| 3 | description | varchar | 255 | 否 | 否 | 描述 |
| 4 | url | varchar | 255 | 否 | 否 | 外链地址 |
| 5 | father_id | smallint | 是 | 否 | 上级分类ID | |
| 6 | icon | varchar | 255 | 否 | 否 | 分类图标 |
| 7 | create_time | timestamp | 是 | 否 | 创建时间 | |
| 8 | update_time | timestamp | 是 | 否 | 更新时间 |
表 4-16-health_advice(健康建议)
| 编号 | 字段名 | 类型 | 长度 | 是否非空 | 是否主键 | 注释 |
| 1 | health_advice_id | int | 是 | 是 | 健康建议ID | |
| 2 | elderly_users | int | 否 | 否 | 老人用户 | |
| 3 | old_mans_name | varchar | 64 | 否 | 否 | 老人姓名 |
| 4 | old_man_phone | varchar | 64 | 否 | 否 | 老人电话 |
| 5 | dependents_users | int | 否 | 否 | 家属用户 | |
| 6 | record_type | varchar | 64 | 否 | 否 | 记录类型 |
| 7 | health_values | double | 否 | 否 | 健康数值 | |
| 8 | record_date | date | 否 | 否 | 记录日期 | |
| 9 | suggested_content | text | 65535 | 否 | 否 | 建议内容 |
| 10 | create_time | datetime | 是 | 否 | 创建时间 | |
| 11 | update_time | timestamp | 是 | 否 | 更新时间 | |
| 12 | source_table | varchar | 255 | 否 | 否 | 来源表 |
| 13 | source_id | int | 否 | 否 | 来源ID | |
| 14 | source_user_id | int | 否 | 否 | 来源用户 |
表 4-17-health_archives(健康档案)
| 编号 | 字段名 | 类型 | 长度 | 是否非空 | 是否主键 | 注释 |
| 1 | health_archives_id | int | 是 | 是 | 健康档案ID | |
| 2 | elderly_users | int | 否 | 否 | 老人用户 | |
| 3 | old_mans_name | varchar | 64 | 否 | 否 | 老人姓名 |
| 4 | old_man_phone | varchar | 64 | 否 | 否 | 老人电话 |
| 5 | dependents_users | int | 否 | 否 | 家属用户 | |
| 6 | record_type | varchar | 64 | 否 | 否 | 记录类型 |
| 7 | health_values | double | 否 | 否 | 健康数值 | |
| 8 | record_date | date | 否 | 否 | 记录日期 | |
| 9 | health_advice_limit_times | int | 是 | 否 | 建议限制次数 | |
| 10 | family_reminder_limit_times | int | 是 | 否 | 提醒限制次数 | |
| 11 | create_time | datetime | 是 | 否 | 创建时间 | |
| 12 | update_time | timestamp | 是 | 否 | 更新时间 |
表 4-18-hits(用户点击)
| 编号 | 字段名 | 类型 | 长度 | 是否非空 | 是否主键 | 注释 |
| 1 | hits_id | int | 是 | 是 | 点赞ID | |
| 2 | user_id | int | 是 | 否 | 点赞人 | |
| 3 | create_time | timestamp | 是 | 否 | 创建时间 | |
| 4 | update_time | timestamp | 是 | 否 | 更新时间 | |
| 5 | source_table | varchar | 255 | 否 | 否 | 来源表 |
| 6 | source_field | varchar | 255 | 否 | 否 | 来源字段 |
| 7 | source_id | int | 是 | 否 | 来源ID |
表 4-19-notice(公告)
| 编号 | 字段名 | 类型 | 长度 | 是否非空 | 是否主键 | 注释 |
| 1 | notice_id | mediumint | 是 | 是 | 公告ID | |
| 2 | title | varchar | 125 | 是 | 否 | 标题 |
| 3 | content | longtext | 4294967295 | 否 | 否 | 正文 |
| 4 | create_time | timestamp | 是 | 否 | 创建时间 | |
| 5 | update_time | timestamp | 是 | 否 | 更新时间 |
表 4-20-online_consultation(在线问诊)
| 编号 | 字段名 | 类型 | 长度 | 是否非空 | 是否主键 | 注释 |
| 1 | online_consultation_id | int | 是 | 是 | 在线问诊ID | |
| 2 | elderly_users | int | 否 | 否 | 老人用户 | |
| 3 | old_mans_name | varchar | 64 | 否 | 否 | 老人姓名 |
| 4 | gender_of_the_elderly | varchar | 64 | 否 | 否 | 老人性别 |
| 5 | old_man_phone | varchar | 64 | 否 | 否 | 老人电话 |
| 6 | dependents_users | int | 否 | 否 | 家属用户 | |
| 7 | inquiry_description | text | 65535 | 否 | 否 | 问诊描述 |
| 8 | inquiry_reply | text | 65535 | 否 | 否 | 问诊回复 |
| 9 | create_time | datetime | 是 | 否 | 创建时间 | |
| 10 | update_time | timestamp | 是 | 否 | 更新时间 |
表 4-21-pension_service(养老服务)
| 编号 | 字段名 | 类型 | 长度 | 是否非空 | 是否主键 | 注释 |
| 1 | pension_service_id | int | 是 | 是 | 养老服务ID | |
| 2 | service_name | varchar | 64 | 否 | 否 | 服务名称 |
| 3 | service_type | varchar | 64 | 否 | 否 | 服务类型 |
| 4 | service_price | double | 否 | 否 | 服务价格 | |
| 5 | cover_image | varchar | 255 | 否 | 否 | 封面图片 |
| 6 | service_introduction | longtext | 4294967295 | 否 | 否 | 服务简介 |
| 7 | praise_len | int | 是 | 否 | 点赞数 | |
| 8 | collect_len | int | 是 | 否 | 收藏数 | |
| 9 | comment_len | int | 是 | 否 | 评论数 | |
| 10 | service_reservation_limit_times | int | 是 | 否 | 预约限制次数 | |
| 11 | create_time | datetime | 是 | 否 | 创建时间 | |
| 12 | update_time | timestamp | 是 | 否 | 更新时间 |
表 4-22-physical_examination_record(体检记录)
| 编号 | 字段名 | 类型 | 长度 | 是否非空 | 是否主键 | 注释 |
| 1 | physical_examination_record_id | int | 是 | 是 | 体检记录ID | |
| 2 | name_of_physical_examination | varchar | 64 | 否 | 否 | 体检名称 |
| 3 | physical_examination_place | varchar | 64 | 否 | 否 | 体检地点 |
| 4 | date_of_physical_examination | date | 否 | 否 | 体检日期 | |
| 5 | physical_examination_report | varchar | 255 | 否 | 否 | 体检报告 |
| 6 | elderly_users | int | 否 | 否 | 老人用户 | |
| 7 | old_mans_name | varchar | 64 | 否 | 否 | 老人姓名 |
| 8 | dependents_users | int | 否 | 否 | 家属用户 | |
| 9 | description_of_physical_examination | text | 65535 | 否 | 否 | 体检描述 |
| 10 | create_time | datetime | 是 | 否 | 创建时间 | |
| 11 | update_time | timestamp | 是 | 否 | 更新时间 |
表 4-23-praise(点赞)
| 编号 | 字段名 | 类型 | 长度 | 是否非空 | 是否主键 | 注释 |
| 1 | praise_id | int | 是 | 是 | 点赞ID | |
| 2 | user_id | int | 是 | 是 | 点赞人 | |
| 3 | create_time | timestamp | 是 | 否 | 创建时间 | |
| 4 | update_time | timestamp | 是 | 否 | 更新时间 | |
| 5 | source_table | varchar | 255 | 否 | 否 | 来源表 |
| 6 | source_field | varchar | 255 | 否 | 否 | 来源字段 |
| 7 | source_id | int | 是 | 否 | 来源ID | |
| 8 | status | tinyint | 是 | 否 | 点赞状态:1为点赞,0已取消 |
表 4-24-sensitive_vocabulary(敏感词汇)
| 编号 | 字段名 | 类型 | 长度 | 是否非空 | 是否主键 | 注释 |
| 1 | sensitive_vocabulary_id | int | 是 | 是 | 敏感词汇ID | |
| 2 | sensitive_vocabulary | varchar | 64 | 否 | 否 | 敏感词汇 |
| 3 | create_time | datetime | 是 | 否 | 创建时间 | |
| 4 | update_time | timestamp | 是 | 否 | 更新时间 |
表 4-25-service_reservation(服务预约)
| 编号 | 字段名 | 类型 | 长度 | 是否非空 | 是否主键 | 注释 |
| 1 | service_reservation_id | int | 是 | 是 | 服务预约ID | |
| 2 | service_name | varchar | 64 | 否 | 否 | 服务名称 |
| 3 | service_type | varchar | 64 | 否 | 否 | 服务类型 |
| 4 | service_price | double | 否 | 否 | 服务价格 | |
| 5 | elderly_users | int | 否 | 否 | 老人用户 | |
| 6 | old_mans_name | varchar | 64 | 否 | 否 | 老人姓名 |
| 7 | old_man_phone | varchar | 64 | 否 | 否 | 老人电话 |
| 8 | dependents_users | int | 否 | 否 | 家属用户 | |
| 9 | appointment_date | date | 否 | 否 | 预约日期 | |
| 10 | appointment_remarks | text | 65535 | 否 | 否 | 预约备注 |
| 11 | examine_state | varchar | 16 | 是 | 否 | 审核状态 |
| 12 | examine_reply | varchar | 255 | 否 | 否 | 审核回复 |
| 13 | create_time | datetime | 是 | 否 | 创建时间 | |
| 14 | update_time | timestamp | 是 | 否 | 更新时间 | |
| 15 | source_table | varchar | 255 | 否 | 否 | 来源表 |
| 16 | source_id | int | 否 | 否 | 来源ID | |
| 17 | source_user_id | int | 否 | 否 | 来源用户 |
表 4-26-slides(轮播图)
| 编号 | 字段名 | 类型 | 长度 | 是否非空 | 是否主键 | 注释 |
| 1 | slides_id | int | 是 | 是 | 轮播图ID | |
| 2 | title | varchar | 64 | 否 | 否 | 标题 |
| 3 | content | varchar | 255 | 否 | 否 | 内容 |
| 4 | url | varchar | 255 | 否 | 否 | 链接 |
| 5 | img | varchar | 255 | 否 | 否 | 轮播图 |
| 6 | hits | int | 是 | 否 | 点击量 | |
| 7 | create_time | timestamp | 是 | 否 | 创建时间 | |
| 8 | update_time | timestamp | 是 | 否 | 更新时间 |
表 4-27-types_of_entertainment(娱乐类型)
| 编号 | 字段名 | 类型 | 长度 | 是否非空 | 是否主键 | 注释 |
| 1 | types_of_entertainment_id | int | 是 | 是 | 娱乐类型ID | |
| 2 | types_of_entertainment | varchar | 64 | 否 | 否 | 娱乐类型 |
| 3 | create_time | datetime | 是 | 否 | 创建时间 | |
| 4 | update_time | timestamp | 是 | 否 | 更新时间 |
表 4-28-upload(文件上传)
| 编号 | 字段名 | 类型 | 长度 | 是否非空 | 是否主键 | 注释 |
| 1 | upload_id | int | 是 | 是 | 上传ID | |
| 2 | name | varchar | 64 | 否 | 否 | 文件名 |
| 3 | path | varchar | 255 | 否 | 否 | 访问路径 |
| 4 | file | varchar | 255 | 否 | 否 | 文件路径 |
| 5 | display | varchar | 255 | 否 | 否 | 显示顺序 |
| 6 | father_id | int | 否 | 否 | 父级ID | |
| 7 | dir | varchar | 255 | 否 | 否 | 文件夹 |
| 8 | type | varchar | 32 | 否 | 否 | 文件类型 |
表 4-29-user(用户账户)
| 编号 | 字段名 | 类型 | 长度 | 是否非空 | 是否主键 | 注释 |
| 1 | user_id | int | 是 | 是 | 用户ID | |
| 2 | state | smallint | 是 | 否 | 账户状态:(1可用|2异常|3已冻结|4已注销) | |
| 3 | user_group | varchar | 32 | 否 | 否 | 所在用户组 |
| 4 | login_time | timestamp | 是 | 否 | 上次登录时间 | |
| 5 | phone | varchar | 11 | 否 | 否 | 手机号码 |
| 6 | phone_state | smallint | 是 | 否 | 手机认证:(0未认证|1审核中|2已认证) | |
| 7 | username | varchar | 16 | 是 | 否 | 用户名 |
| 8 | nickname | varchar | 16 | 否 | 否 | 昵称 |
| 9 | password | varchar | 64 | 是 | 否 | 密码 |
| 10 | | varchar | 64 | 否 | 否 | 邮箱 |
| 11 | email_state | smallint | 是 | 否 | 邮箱认证:(0未认证|1审核中|2已认证) | |
| 12 | avatar | varchar | 255 | 否 | 否 | 头像地址 |
| 13 | open_id | varchar | 255 | 否 | 否 | 针对获取用户信息字段 |
| 14 | create_time | timestamp | 是 | 否 | 创建时间 |
表 4-30-user_group(用户组)
| 编号 | 字段名 | 类型 | 长度 | 是否非空 | 是否主键 | 注释 |
| 1 | group_id | mediumint | 是 | 是 | 用户组ID | |
| 2 | display | smallint | 是 | 否 | 显示顺序 | |
| 3 | name | varchar | 16 | 是 | 否 | 名称 |
| 4 | description | varchar | 255 | 否 | 否 | 描述 |
| 5 | source_table | varchar | 255 | 否 | 否 | 来源表 |
| 6 | source_field | varchar | 255 | 否 | 否 | 来源字段 |
| 7 | source_id | int | 是 | 否 | 来源ID | |
| 8 | register | smallint | 否 | 否 | 注册位置 | |
| 9 | create_time | timestamp | 是 | 否 | 创建时间 | |
| 10 | update_time | timestamp | 是 | 否 | 更新时间 |
表 4-31-voluntary_activities(志愿活动)
| 编号 | 字段名 | 类型 | 长度 | 是否非空 | 是否主键 | 注释 |
| 1 | voluntary_activities_id | int | 是 | 是 | 志愿活动ID | |
| 2 | activity_name | varchar | 64 | 否 | 否 | 活动名称 |
| 3 | activity_type | varchar | 64 | 否 | 否 | 活动类型 |
| 4 | activity_location | varchar | 64 | 否 | 否 | 活动地点 |
| 5 | activity_date | date | 否 | 否 | 活动日期 | |
| 6 | activity_status | varchar | 64 | 否 | 否 | 活动状态 |
| 7 | cover_image | varchar | 255 | 否 | 否 | 封面图片 |
| 8 | activity_profile | longtext | 4294967295 | 否 | 否 | 活动简介 |
| 9 | praise_len | int | 是 | 否 | 点赞数 | |
| 10 | collect_len | int | 是 | 否 | 收藏数 | |
| 11 | comment_len | int | 是 | 否 | 评论数 | |
| 12 | activity_registration_limit_times | int | 是 | 否 | 报名限制次数 | |
| 13 | create_time | datetime | 是 | 否 | 创建时间 | |
| 14 | update_time | timestamp | 是 | 否 | 更新时间 |
- 详细设计与实现
- 前端首页模块
首页展示了个人健康档案、紧急求助记录、新闻资讯等重要信息。首页还会根据用户的兴趣和需求推荐相关内容,确保老人能够快速找到自己前台首页模块展示如下图所示。

-
-
-
-
- 前台首页模块图
-
-
- 用户注册模块
-
不是乡村养老服务系统中正式用户的是可以在线进行注册的,当填写上自己的账号+设置密码+确认密码+昵称+邮箱+身份+家属姓名+家属性别等信息后再点击“注册”按钮后将会先验证输入的有没有空数据,再次验证密码和确认密码是否是一样的,最后验证输入的账户名和数据库表中已经注册的账户名是否重复,只有都验证没问题后即可用户注册成功。其用户注册模块展示如下图所示。

-
-
-
-
- 注册模块图
-
-
- 用户登录模块
-
乡村养老服务系统中的前台上注册后的用户是可以通过自己的用户名+密码进行登录的,当用户输入完整的自己的用户名+密码信息并点击“登录”按钮后,将会首先验证输入的有没有空数据,再次验证输入的用户名+密码和数据库中当前保存的用户信息是否一致,只有在一致后将会登录成功并自动跳转到乡村养老服务系统的首页中,否则将会提示相应错误信息,登录模块如下图所示。

-
-
-
-
- 登录模块图
-
-
- 前端老人用户功能模块
-
社交互动模块允许老人进行互动,增进与家人、朋友及其他用户的联系。老人用户可以对他人的帖子进行点赞、收藏、评论,也可以发布自己的帖子,与他人分享生活和交流心情,增加社交活动。通过社交互动,老人能够保持活跃和愉悦的心态。模块如下图所示。

紧急求助功能帮助老人处理突发的紧急情况。老人可以详细填写求助内容,包括求助的具体问题、所在位置、紧急联系人等信息,系统会迅速响应并通知家属或相关服务人员,确保老人在遇到困难时能及时得到帮助。模块如下图所示:

养老服务模块展示了不同类型的养老服务信息,包括居家照护、上门服务、健康管理等。老人可以通过搜索找到适合自己的服务并进行预约。系统还提供对服务内容的点赞、收藏和评论功能,帮助老人了解其他用户的反馈,做出更合适的选择。模块如下图所示。

志愿活动模块为老人提供了丰富的社区活动和志愿服务信息。老人可以通过搜索查看活动详情,并进行报名参加。活动内容包括文化娱乐、社区公益等,鼓励老年人积极参与社会互动,提升生活质量。同时,老人可以点赞、收藏和评论活动内容,增强互动性。模块如下图所示。

在线问诊功能使老人能够方便地与专业医生进行远程咨询,解决日常健康问题。老人可以通过文字与医生交流,获取健康建议和诊疗方案,减少了去医院的麻烦,方便快捷。模块如下图所示。

个人中心是老人用户管理个人信息的综合入口,展示了健康档案统计图、紧急求助记录、健康建议等。通过个人中心,老人能够查看和管理每天的健康档案、活动报名、服务预约、体检记录等,同时能够查看并管理个人的收藏和评论,确保个人信息得到有效整理和更新。
例如,添加健康档案模块如下图所示。

-
-
-
-
- 添加健康档案模块图
-
-
-
例如,添加体检记录模块如下图所示。

-
-
-
-
- 添加体检记录模块图
-
-
-
家属用户可以查看管理员为自己老人提供的健康建议。这些建议基于老人的健康档案,帮助家属了解老人的健康状况并采取必要的护理和预防措施。模块如下图所示。

家属用户可以查看管理员发布的提醒信息。这些提醒通常涉及老人健康、活动安排、服务预约等事项,帮助家属及时关注并跟进老人的需求。模块如下图所示。

-
-
-
-
- 家属提醒模块图
-
-
- 后端管理员功能模块
-
管理员可以对系统内的各类用户(管理员、家属用户、老人用户)进行管理。管理员可以审核家属用户的注册请求,对老人用户进行增删改查操作。通过后台,管理员可有效管理用户身份信息,确保系统的安全性和数据的准确性。流程图如下所示。

-
-
-
-
- 系统用户流程图
-
-
-
系统用户模块如下图所示。

管理员负责管理平台提供的各类养老服务内容,包括查询、重置、删除和添加服务项目。管理员还可以查看服务的用户评论,进一步优化服务质量和内容。模块如下图所示。

管理员可以查看老年人参加的志愿活动或其他活动的报名情况,并进行审核和回复。这有助于管理员确保活动的顺利进行并为老年人提供适合的参与机会。模块如下图所示。

管理员负责查看老年人提交的在线问诊咨询,并进行回复。管理员根据问诊内容提供专业的健康建议,确保老人的健康问题得到妥善处理。模块如下图所示。

管理员可以根据老年人添加的健康档案,提供健康建议和提醒。通过分析老人的健康状况,管理员可以推送个性化的健康指导,帮助老人保持健康。模块如下图所示。

管理员负责对平台内的日常娱乐内容进行管理,包括查询、删除、添加及重置娱乐内容。管理员还可以查看用户对娱乐内容的评论,分析用户需求并调整娱乐内容。模块如下图所示。

管理员管理平台的志愿活动信息,支持查询、删除、添加和重置活动内容。通过查看活动相关评论,管理员可优化活动安排,提升志愿活动的质量和影响力。模块如下图所示。

管理员可以管理平台的新闻资讯和资讯分类,查询、更新或删除新闻内容。同时,管理员也可查看新闻内容的评论,了解用户的反馈并根据需要进行调整。模块如下图所示。

-
-
-
-
- 资源管理模块图
-
-
-
测试的主要目的是确保系统的功能和性能满足预期的需求,同时识别和修复潜在的缺陷。通过系统测试,可以验证各个功能模块的正确性和稳定性,确保系统在不同使用场景下的表现符合设计要求。测试目的包括确认系统功能的完整性、验证数据处理的准确性、评估系统的性能和安全性[10]。测试还可以提高用户满意度,保证用户在使用系统时获得流畅和可靠的体验。通过全面的测试,可以降低后期维护成本,减少系统上线后出现故障的风险,从而保障系统的长期稳定运行。
在本系统中,测试方法主要依赖于测试用例的设计与执行。测试用例是根据系统需求文档编写的,覆盖所有功能模块及其边界情况。每个测试用例包含输入数据、预期结果和实际结果的对比,以验证系统的功能是否按预期工作。
常见的测试用例包括功能测试用例、边界测试用例和异常测试用例。功能测试用例针对系统的各项功能进行验证;边界测试用例则侧重于输入数据的边界条件,验证系统在极端情况下是否能够稳定运行;异常测试用例则用于验证系统在处理错误输入或异常情况时的反应。本文选择功能测试用例进行系统测试。
在测试执行过程中,记录每个用例的执行结果,并根据实际结果与预期结果的对比,判断系统是否存在缺陷。通过系统化的测试用例执行,可以有效提高测试的覆盖率和效率,为系统的最终上线提供保障。
表6-1 用户登录功能测试表
| 用例名称 | 用户登录系统 |
| 目的 | 测试用户通过正确的用户名和密码可否登录功能 |
| 前提 | 未登录的情况下 |
| 测试流程 | 1) 进入登录页面 2) 输入正确的用户名和密码 |
| 预期结果 | 用户名和密码正确的时候,跳转到登录成功界面,反之则显示错误信息,提示重新输入 |
| 实际结果 | 实际结果与预期结果一致 |
在系统中,创建功能也是基础功能之一,因此创建功能的测试很有代表性。在此章节主要列举在创建时各种情况下系统结果的测试。由于系统涉及创建功能操作过多,因此将多处统称创建功能。
创建数据用例如表6-2 所示。
表6-2 创建数据测试用例
| 测试用例编号 | YL_02 | |
| 测试用例名称 | 系统使用者进行创建数据 | |
| 测试用例描述 | 使用者输入要创建的数据 | |
| 系统入口 | 浏览器 | |
| 步骤 | 预期结果 | 实际结果 |
| 输入完整并且格式正确的数据 | 提示“创建成功”,并显示所有数据 | 预期结果 |
| 核心位置数据但非必要位置不输入数据 | 提示“创建成功”,并显示所有数据 | 预期结果 |
| 核心数据位置不输入数据 | 提示“创建失败” | 预期结果 |
-
-
- 修改数据测试
-
在系统中,修改功能是系统主要实现功能,因此修改功能的测试很有代表性。在此章节主要列举在修改时各种情况下系统结果的测试。由于系统涉及修改功能操作过多,因此将多处数据表记录修改和状态修改统称修改功能。
修改数据用例如表6-3所示。
表6-3 修改数据测试用例
| 测试用例编号 | YL_03 | |
| 测试用例名称 | 系统使用者进行修改数据 | |
| 测试用例描述 | 使用者对可修改的数据项进行修改 | |
| 系统入口 | 浏览器 | |
| 步骤 | 预期结果 | 实际结果 |
| 将现有数据修改成正确的数据 | 提示“修改成功”,并显示所有数据 | 预期结果 |
| 将现有数据修改成错误的数据 | 提示“修改失败” | 预期结果 |
-
-
- 查询数据测试
-
在系统中,查询功能是使用系统使用最多也是最基础的功能,因此查询功能的测试很有代表性。在此章节主要列举在查询时各种情况下系统结果的测试。
查询数据用例如表6-4所示。
表6-4 查询数据测试用例
| 测试用例编号 | YL_04 | |
| 测试用例名称 | 系统使用者进行查询数据 | |
| 测试用例描述 | 全部查询以及输入关键词查询 | |
| 系统入口 | 浏览器 | |
| 步骤 | 预期结果 | 实际结果 |
| 界面自动查询全部 | 显示对应所有记录 | 预期结果 |
| 输入已存在且能匹配成功的关键字 | 显示所查询到的数据 | 预期结果 |
| 输入不存在的关键字 | 显示数据界面为空 | 预期结果 |
在本次测试的过程主要针对所有功能下的添加操作,修改操作和删除操作,并以真实数据一一进行相关功能项目的输入,最终能够保证每个项目涉及的功能都能够正常运行,因此能够保证本次设计的,已实现的功能能够正常运行并且相关数据库的信息也同样保证正确。
本论文设计并实现了一个智慧养老系统,旨在解决当前养老服务中的一些核心问题。通过使用现代化的信息技术,系统提供了健康管理、紧急求助、社交互动、日常娱乐等多项功能,满足老年人多样化的需求。通过对系统的开发与实现,深入理解了如何通过技术提升养老服务的质量,尤其是在信息化管理和实时监控方面的优势。系统不仅优化了老年人的生活体验,还为家属提供了便捷的健康跟踪与服务管理工具。
在开发过程中,重点关注了用户友好的界面设计和功能的易用性,尤其是针对老年人的技术适配,确保系统能够适应老年人的使用习惯和需求。通过不同功能模块的整合,系统能够高效地管理老人的健康档案、活动、紧急求助等信息,有效提高了养老服务的响应速度和质量。
未来,随着技术的不断发展,可以进一步优化系统的个性化服务,提升数据分析的精度,进而实现更加精准的健康管理和服务推荐。对于更多地区的推广和应用,系统的可扩展性和适应性也将是未来发展的关键方向。
- 尹应荆.JAVA编程语言在计算机软件开发中的应用[J].石河子科技,2023,(05):45-47.
- 刘江涛,王亮亮,吴庆茹,等.基于B/S模式的铁路勘测设计案例信息化管理系统设计与实现[J].铁路计算机应用,2021,30(03):32-35.
- 张丹丹,李弘.基于B/S架构的办公管理系统设计与开发[J].铁路通信信号工程技术,2024,21(09):44-48+106.
- 王志亮,纪松波.基于SpringBoot的Web前端与数据库的接口设计[J].工业控制计算机,2023,36(03):51-53.
- 熊永平.基于SpringBoot框架应用开发技术的分析与研究[J].电脑知识与技术,2021,15(36):76-77.
- 赵媛.基于Vue的Web系统前端性能优化分析[J].电脑编程技巧与维护,2024,(09):44-46.
- 秦冬.浅析Vue框架在前端开发中的应用[J].信息与电脑(理论版),2024,36(13):61-63.
- 李艳杰.MySQL数据库下存储过程的综合运用研究[J].现代信息科技,2023,7(11):80-82+88.
- 周晓玉,崔文超.基于Web技术的数据库应用系统设计[J].信息与电脑(理论版),2023,35(09):189-191.
- 李俊萌.计算机软件测试技术与开发应用策略分析[J].信息记录材料,2023,24(03):50-52.
- Java Sunrise Coffee: Better Beans, and Better Coffee [J]. M2 Presswire, 2025,
- Salunke V S ,Ouda A . A Performance Benchmark for the PostgreSQL and MySQL Databases [J]. Future Internet, 2024, 16 (10): 382-382.
- Shao W ,Liu K . Design and Implementation of Online Ordering System Based on SpringBoot [J]. Journal of Big Data and Computing, 2024, 2 (3):
- 叶菡.互惠共生视角下“和美乡村”互助养老服务提升路径研究——以浙西X镇为例[J].西部学刊,2025,(03):163-168.DOI:10.16721/j.cnki.cn61-1487/c.2025.03.036.
- 张杏利.乡村振兴背景下农村多元化养老服务体系建构[J].中国管理信息化,2025,28(03):183-186.
- 宋才发.在乡村振兴中推进农村养老保障体系建设[J].长沙理工大学学报(社会科学版),2025,40(01):1-8.DOI:10.16573/j.cnki.1672-934x.2025.01.001.
- 田馨杰,陈长瑶.乡村振兴战略视域下农村养老服务创新与实践[J].纳税,2025,19(02):82-84.
- 申梦昊,陈际华.乡村振兴背景下农村居家养老服务纾困路径研究——基于生态系统理论视角[C]//中国老年学和老年医学学会.新时代积极应对人口老龄化研究文集·2022.河海大学公共管理学院;,2022:91-98.DOI:10.26914/c.cnkihy.2022.048727.
- 陈际华,申梦昊.乡村振兴背景下农村居家养老服务纾困路径研究——基于生态系统理论视角[J].湖北农业科学,2022,61(18):251-256.DOI:10.14088/j.cnki.issn0439-8114.2022.18.044.
- 黄文珺.基于体验价值维度的乡村社区互助养老服务系统设计研究[D].天津理工大学,2021.DOI:10.27360/d.cnki.gtlgy.2021.000848.
本研究关于乡村养老服务系统的设计与实现工作业已完成。尽管在研究过程中遭遇了诸多挑战,但内心却充满了成就感与满足感。在此,对大学四年期间指导和教育我的所有教师表示衷心的感谢,他们的专业知识和人生智慧对我的学术成长起到了至关重要的作用,使我能够独立完成系统设计与实现。特别感谢我的指导教师,他以其深厚的学术造诣和耐心的指导,帮助我解答了研究过程中的诸多疑惑,并引导我独立解决问题,从而提升了我的自主研究能力。同时,也要感谢我的室友和同学们,他们的宝贵建议和支持对我的学术进步起到了积极的促进作用。展望未来,我将继续不懈追求卓越,以期不辜负所学所悟以及教师们的殷切期望。坚信通过坚定的信念和持续的努力,未来必将取得更加辉煌的成就。期待一个更加美好的未来。
此外,乡村养老服务系统的设计与实现不仅是一次技术上的挑战,同时也是个人成长的宝贵经历。在面对挫折和困难时,它们成为了我成长的垫脚石,促使我更深入地理解问题,并精确地找到解决方案。每一次成功解决问题,都让我感到极大的满足和自豪。
对于未来,我满怀期待和信心。无论前路如何崎岖,只要保持坚定的信念并持续努力,相信必将取得更大的成就。期待将所学知识和技能应用于实践,为社会作出更大的贡献。
最后,对所有在研究过程中给予我帮助和支持的人表示诚挚的感谢。你们的教诲、鼓励和支持是我取得今日成就的重要因素。我将继续努力,不辜负大家的期望,为实现更加美好的未来而不懈奋斗。
代码:
连接数据库的文件在Resources 文件夹下的application.yml文件,代码如下:
server:
port: 5000
servlet:
context-path: /api
spring:
mvc:
static-path-pattern: /upload/**
resources:
static-locations: file:此处填写地址/project93355/server/src/main/resources/static
datasource:
jdbc:mysql://127.0.0.1:3306/projectxxxxx?serverTimezone=GMT%2B8&useSSL=false&characterEncoding=utf-8
username: root
password: root
driver-class-name: com.mysql.cj.jdbc.Driver
type: com.alibaba.druid.pool.DruidDataSource
jackson:
property-naming-strategy: CAMEL_CASE_TO_LOWER_CASE_WITH_UNDERSCORES
default-property-inclusion: ALWAYS
time-zone: GMT+8
date-format: yyyy-MM-dd HH:mm:ss
servlet:
项目启动文件Application.java,代码如下:
@SpringBootApplication(exclude = {DataSourceAutoConfiguration.class})
@EnableJpaRepositories
@MapperScan("com.project.demo.dao")
public class Application {
public static void main(String[] args) {
SpringApplication.run(Application.class,args);
}
}
修改数据代码如下:
@PostMapping("/set")
@Transactional
public Map<String, Object> set(HttpServletRequest request) throws IOException {
service.update(service.readQuery(request), service.readConfig(request), service.readBody(request.getReader()));
return success(1);
}
删除一条数据代码如下:
@RequestMapping(value = "/del")
@Transactional
public Map<String, Object> del(HttpServletRequest request) {
service.delete(service.readQuery(request), service.readConfig(request));
return success(1);
}
public void delete(Map<String,String> query,Map<String,String> config){
QueryWrapper wrapper = new QueryWrapper<E>();
toWhereWrapper(query, "0".equals(config.get(FindConfig.GROUP_BY)),wrapper);
baseMapper.delete(wrapper);
log.info("[{}] - 删除操作:{}",wrapper.getSqlSelect());
}
通过请求的参数获取列表数据,代码如下:
@RequestMapping("/get_list")
public Map<String, Object> getList(HttpServletRequest request) {
Map<String, Object> map = service.selectToPage(service.readQuery(request), service.readConfig(request));
return success(map);
}
获取某个组下面的数量,代码如下:
@RequestMapping(value = {"/count_group", "/count"})
public Map<String, Object> count(HttpServletRequest request) {
Integer value= service.selectSqlToInteger(service.groupCount(service.readQuery(request), service.readConfig(request)));
return success(value);
}
注册页登录代码如下:
/**
* 注册
* @param user
* @return
*/
@PostMapping("register")
public Map<String, Object> signUp(@RequestBody User user) {
// 查询用户
Map<String, String> query = new HashMap<>();
Map<String,Object> map = JSON.parseObject(JSON.toJSONString(user));
query.put("username",user.getUsername());
List list = service.selectBaseList(service.select(query, new HashMap<>()));
if (list.size()>0){
return error(30000, "用户已存在");
}
map.put("password",service.encryption(String.valueOf(map.get("password"))));
service.insert(map);
return success(1);
}
MD5加密,代码如下:
public String encryption(String plainText) {
String re_md5 = new String();
try {
MessageDigest md = MessageDigest.getInstance("MD5");
md.update(plainText.getBytes());
byte b[] = md.digest();
int i;
StringBuffer buf = new StringBuffer("");
for (int offset = 0; offset < b.length; offset++) {
i = b[offset];
if (i < 0)
i += 256;
if (i < 16)
buf.append("0");
buf.append(Integer.toHexString(i));
}
re_md5 = buf.toString();
} catch (Exception e) {
e.printStackTrace();
}
return re_md5;
}
登录页代码如下:
/**
* 登录
* @param data
* @param httpServletRequest
* @return
*/
@PostMapping("login")
public Map<String, Object> login(@RequestBody Map<String, String> data, HttpServletRequest httpServletRequest) {
log.info("[执行登录接口]");
String username = data.get("username");
String email = data.get("email");
String phone = data.get("phone");
String password = data.get("password");
List resultList = null;
Map<String, String> map = new HashMap<>();
if(username != null && "".equals(username) == false){
map.put("username", username);
resultList = service.selectBaseList(service.select(map, new HashMap<>()));
}
else if(email != null && "".equals(email) == false){
map.put("email", email);
resultList = service.selectBaseList(service.select(map, new HashMap<>()));
}
找回密码,接收用户输入的用户名、密码、验证码,并进行条件判断,代码如下:
/**
* 找回密码
* @param form
* @return
*/
@PostMapping("forget_password")
public Map<String, Object> forgetPassword(@RequestBody User form,HttpServletRequest request) {
JSONObject ret = new JSONObject();
String username = form.getUsername();
String code = form.getCode();
String password = form.getPassword();
// 判断条件
if(code == null || code.length() == 0){
return error(30000, "验证码不能为空");
}
if(username == null || username.length() == 0){
return error(30000, "用户名不能为空");
}
if(password == null || password.length() == 0){
return error(30000, "密码不能为空");
}
免费领取项目源码,请关注❥点赞收藏并私信博主,谢谢~
1285

被折叠的 条评论
为什么被折叠?



