结论 35
随着社会对大学生健康关注度的增加和大学体检工作的重要性日益凸显,开发一套高效的健康体检管理系统具有重要意义。本文基于Spring Boot框架,Java技术,设计并实现了一个大学生健康体检管理系统,涵盖了科室管理、体检中心、体检预约、体检通知和体检咨询等功能模块。通过系统的建设,可以实现对大学生体检信息的统一管理,包括科室分配、体检预约管理等方面,提高体检工作的效率和质量。通过该系统,可以更好地促进大学生健康管理,提升体检服务质量,为大学生提供更加全面和便捷的健康管理服务。这一健康体检管理系统的研发将有助于推动大学生健康管理工作的现代化进程,为大学生身心健康保驾护航,促进全面发展。
关键词:Java;springboot;大学生健康体检管理系统
Abstract
With the increasing attention of society to the health of college students and the increasing importance of university physical examination work, developing an efficient health examination management system is of great significance. This article is based on the Spring Boot framework and Java technology to design and implement a college student health examination management system, which includes functional modules such as department management, examination center, examination appointment, examination notification, and examination consultation. Through the construction of the system, it is possible to achieve unified management of medical examination information for college students, including department allocation, medical examination appointment management, etc., to improve the efficiency and quality of medical examination work. Through this system, it can better promote the health management of college students, improve the quality of physical examination services, and provide more comprehensive and convenient health management services for college students. The development of this health examination management system will help promote the modernization process of college student health management, safeguard the physical and mental health of college students, and promote comprehensive development.
Keywords:Java; Springboot; College Student Health Examination Management System
1 绪论
随着社会对健康意识的提升和大学生群体健康问题的关注增加,大学生健康体检管理系统的研究具有重要意义。随着高校学生规模的不断扩大和健康管理需求的增加,传统的体检管理方式已无法满足快速、准确、便捷的管理需求。因此,开发一套针对大学生的健康体检管理系统迫在眉睫。该系统旨在通过信息技术手段,实现对大学生体检信息的全面管理和个性化服务,提高体检工作的效率和质量。随着信息化技术的发展,借助健康体检管理系统,可以实现体检流程的数字化管理、体检结果的实时通知、体检数据的分析和评估等功能,为大学生提供更全面、便捷的健康管理服务。
此外,随着大学生生活方式的多样化和健康问题的日益突出,健康体检在大学生群体中的重要性日益凸显。建立健康体检管理系统有助于及时发现和预防潜在的健康风险,提升学生的健康意识和健康素养,推动大学生身心健康的全面发展。
大学生健康体检管理系统的研究背景源自对大学生健康管理需求的认识和信息化技术的应用,旨在提升大学生健康管理服务水平,保障学生身心健康,促进健康教育和全面发展。这一系统的研究和开发将为大学生健康管理工作带来新的机遇和挑战,推动大学生健康管理工作朝着智能化、个性化方向迈进。
1.2研究意义
随着社会对大学生健康关注度的增加和大学体检工作的重要性日益凸显,开发一套高效的健康体检管理系统具有重要意义。大学生群体健康问题日益突出,健康体检管理系统的研究和开发能够满足大学生对健康管理的需求,提供全面、便捷的健康管理服务。信息技术在健康管理领域的应用越来越广泛,开发健康体检管理系统可以借助信息化技术优化体检流程、提升管理效率,符合信息化发展的趋势。健康体检管理系统的研究能够提高体检工作的效率和准确性,实现体检数据的快速录入、分析和管理,为大学生提供更加便捷的体检服务。系统的建设有助于推动健康教育在大学生群体中的开展,借助体检数据开展健康宣教,提高学生对健康管理的重视和自我管理能力。健康体检管理系统的研究有助于及时发现和干预学生的健康问题,促进学生身心健康,为其全面发展提供保障。该系统的研究意义在于满足大学生健康管理需求、符合信息化发展趋势、提升体检效率、推动健康教育和促进学生全面发展,为大学生的健康管理和促进全面发展提供重要支持和保障,随着社会对健康管理的重视程度不断增加,该系统的研究意义将进一步凸显。
2 大学生健康体检管理系统系统分析
系统需求分析是系统开发的一个关键环节,它在系统的设计和实现上起到了一个承上启下的位置。系统需求分析是对所需要做的系统进行一个需求的挖掘,如果分析的准确可以精准的解决现实中碰到的问题。如果分析不到位会影响后期系统的实现。一个系统的优秀程度需求分析也是占据了非常大的比例,如果需求分析不到位,后面的系统设计要实现就是一个偏离导航的设计。
系统可行行分析是对系统对系统可行性进行一个探讨。在探讨系统的可行性上我们主要从技术上的可行性和经济上的可行性以及法律层面的可行性上进行分析,如果三个层面度通过,我们则认为系统是比较可行的。
2.1.1 技术可行性分析
大学生健康体检管理系统设计与实现是一个体检查询预约平台,我们在实现这个系统所采用的技术方案是基于Java的 Web实现方案,系统采用springboot方案来实现。springboot框架是一个非常成熟的框架、Java从97年诞生到现在经历了野蛮的生长,Java在各个领域度是有做非常成熟的解决方案,如电信、银行、电商等。springboot又是一套快速整个项目的开箱即用的技术方案。所以采用基于springboot方式来实现本系统是一个非常成熟有简单的技术方案。技术可行性上是非常可行的。
从经济可行性上看项目在开发阶段需要一台开发PC,在生产阶段需要web服务器和数据库服务器。一台个人PC从经济上来看也不是太多问题,在后期的系统部署生产上来说,服务器的投入也不会过高,在经济层面上是一个比较可行的。
系统从法律层面上来没有对第三方有其他放有法律层面的问题,系统数据库采用的Mysql 开源社区数据库、框架采用的是开源的springboot。系统资讯和相关内容也是呵呵法律层面的。在源码的管理上采用git开源进行管理,所以在法律可行性上是成立的。
大学生健康体检管理系统我划分为了学生用户模块、医生用户模块和管理员模块这三大部分。
学生用户管理模块:
(1)用户注册登录:游客可以随时进入到系统中,对系统中的信息浏览,但是想要实现预约、收藏评论操作,就必须有这个系统的账号,如果没有账号的话,可以注册成员用户进行相关的操作,同时用户还可以通过“我的”这以按钮对个人信息以及操作的信息进行管控。
(2)查看大学生健康体检管理系统的首页信息:大学生健康体检管理系统的首页信息包含了首页、系统公告、资讯信息、体检中心等。
(3)系统公告:当用户点击“系统公告”这一菜单按钮,会显示管理员在后台发布的所有的系统公告,可以查看详情;
(4)资讯信息:当用户点击“资讯信息”这一菜单按钮,会显示管理员在后台发布的所有的资讯信息,可以查看详情,进行收藏、点赞、评论等;
(5)体检中心:当用户点击“体检中心”这一菜单按钮,会显示管理员在后台发布的所有的体检中心信息,支持通过关键词对体检中心进行搜索,选择需要的体检中心点击可以进入到体检中心详细的介绍界面,在详细界面可以查看到体检中心的详细信息,同时可以进行体检预约、体检咨询、收藏、评论操作;
(6)我的账户:用户点击“我的账户”可以对个人资料以及密码进行更新。
(7)我的收藏:用户点击“我的收藏”,会显示出自己收藏的所有信息,点击某一条收藏可以查看信息详细介绍,同时删除收藏;
管理员管理模块:
(1)系统用户:管理员可以对大学生健康体检管理系统中的管理员,以及前台注册的游客用户进行增删改查。
(2)资源管理:管理员可以对大学生健康体检管理系统前台展示的资讯信息以及资讯所属的分类进行管控。
(3)体检中心管理:管理员可以对体检中心进行增删改查。
(4)体检预约管理:管理员点击“体检预约”菜单可以进行管控。
(5)体检咨询管理:管理员点击“体检咨询”菜单可以进行管控。
(6)体检通知管理:管理员点击“体检通知”菜单可以对体检通知进行管控。
(7)轮播图:管理员点击“轮播图”菜单可以对首页展示的轮播图进行增删改查。
(8)系统公告:管理员点击“系统公告”菜单可以查看到系统中的所有系统公告信息,对已经存在的系统公告,管理员可以修改,也可以添加新的系统公告或者删除系统公告。
大学生健康体检管理系统的非功能性需求比如大学生健康体检管理系统的安全性怎么样,可靠性怎么样,性能怎么样,可拓展性怎么样等。具体可以表示在如下3-1表格中:
表3-1大学生健康体检管理系统非功能需求表
| 安全性 | 主要指大学生健康体检管理系统数据库的安装,数据库的使用和密码的设定必须合乎规范。 |
| 可靠性 | 可靠性是指大学生健康体检管理系统能够按照用户提交的指示进行操作,经过测试,可靠性90%以上。 |
| 性能 | 性能是影响大学生健康体检管理系统占据市场的必要条件,所以性能最好要佳才好。 |
| 可扩展性 | 比如数据库预留多个属性,比如接口的使用等确保了系统的非功能性需求。 |
| 易用性 | 用户只要跟着大学生健康体检管理系统的页面展示内容进行操作,就可以了。 |
| 可维护性 | 大学生健康体检管理系统开发的可维护性是非常重要的,经过测试,可维护性没有问题 |
2.3 系统用例分析
大学生健康体检管理系统的完整UML用例图分别是图2-1图2-2和图2-3。
图2-1就是学生用户角色的用例展示。

图2-1 大学生健康体检管理系统学生用户角色用例图
图2-2就是管理员角色的用例展示。

图2-2 大学生健康体检管理系统管理员角色用例图
图2-3就是医生用户角色的用例展示。

图2-3 大学生健康体检管理系统医生用户角色用例图
2.4.1 数据流程
开发大学生健康体检管理系统最主要的一个目的就是实现用户对体检中心的预约/咨询,图2-3就是系统的数据流图。

图2-3体检预约/咨询操作展开图
2.4.2 业务流程
分析完大学生健康体检管理系统的数据流,那么接下来我们来看系统的业务流程,图2-5就是业务流程图:

本章主要通过对大学生健康体检管理系统的可行性分析、功能需求分析、系统用例分析、系统流程分析,确定整个大学生健康体检管理系统要实现的功能。同时也为大学生健康体检管理系统的代码实现和测试提供了标准。
本章主要讨论的内容包括大学生健康体检管理系统的功能模块设计、数据库系统设计。
3.1 系统功能模块设计
在上一章节中主要对系统的功能性需求和非功能性需求进行分析,并且根据需求分析了本大学生健康体检管理系统中的用例。那么接下来就要开始对本大学生健康体检管理系统的架构、主要功能和数据库开始进行设计。大学生健康体检管理系统根据前面章节的需求分析得出,其总体设计模块图如图3-1所示。

图3-1 大学生健康体检管理系统功能模块图
3.1.2用户模块设计
本系统的用户包括管理员和用户两种用户模块的功能基本是相同的,用户比管理员多了一个注册功能,所以以用户模块的结构图为例进行分析,用户模块结构图为例进行分析,如下图:

图3-2用户模块结构图
3.1.3 评论管理模块设计
大学生健康体检管理系统是一个交流性质的公开平台,用户在平台上提交评论,增加用户之间的互动性。但是同时也为了更好的规范评论的内容,给予管理员删除不合适的评论的功能,所以需要专门设计一个评论管理模块,具体的结构图如下:

图3-3评论管理模块结构图
3.1.4体检中心管理模块设计
大学生健康体检管理系统是中需要存储不少体检中心信息,其模块功能结构,具体的结构图如下:

图3-4体检中心信息模块结构图
数据库设计一般包括需求分析、概念模型设计、数据库表建立三大过程,其中需求分析前面章节已经阐述,概念模型设计有概念模型和逻辑结构设计两部分。
3.2.1 数据库概念结构设计
下面是整个大学生健康体检管理系统中主要的数据库表总E-R实体关系图。

图3-5 大学生健康体检管理系统总E-R关系图
通过上一小节中大学生健康体检管理系统中总E-R关系图上得出一共需要创建很多个数据表。在此我主要罗列几个主要的数据库表结构设计。
表comment (评论)
| 编号 | 名称 | 数据类型 | 长度 | 小数位 | 允许空值 | 主键 | 默认值 | 说明 |
| 1 | comment_id | int | 10 | 0 | N | Y | 评论ID: | |
| 2 | user_id | int | 10 | 0 | N | N | 0 | 评论人ID: |
| 3 | reply_to_id | int | 10 | 0 | N | N | 0 | 回复评论ID:空为0 |
| 4 | content | longtext | 2147483647 | 0 | Y | N | 内容: | |
| 5 | nickname | varchar | 255 | 0 | Y | N | 昵称: | |
| 6 | avatar | varchar | 255 | 0 | Y | N | 头像地址:[0,255] | |
| 7 | create_time | timestamp | 19 | 0 | N | N | CURRENT_TIMESTAMP | 创建时间: |
| 8 | update_time | timestamp | 19 | 0 | N | N | CURRENT_TIMESTAMP | 更新时间: |
| 9 | source_table | varchar | 255 | 0 | Y | N | 来源表: | |
| 10 | source_field | varchar | 255 | 0 | Y | N | 来源字段: | |
| 11 | source_id | int | 10 | 0 | N | N | 0 | 来源ID: |
表department (科室)
| 编号 | 名称 | 数据类型 | 长度 | 小数位 | 允许空值 | 主键 | 默认值 | 说明 |
| 1 | department_id | int | 10 | 0 | N | Y | 科室ID | |
| 2 | department | varchar | 64 | 0 | Y | N | 科室 | |
| 3 | create_time | datetime | 19 | 0 | N | N | CURRENT_TIMESTAMP | 创建时间 |
| 4 | update_time | timestamp | 19 | 0 | N | N | CURRENT_TIMESTAMP | 更新时间 |
表doctor_users (医生用户)
| 编号 | 名称 | 数据类型 | 长度 | 小数位 | 允许空值 | 主键 | 默认值 | 说明 |
| 1 | doctor_users_id | int | 10 | 0 | N | Y | 医生用户ID | |
| 2 | doctors_id | varchar | 64 | 0 | Y | N | 医生工号 | |
| 3 | doctors_name | varchar | 64 | 0 | Y | N | 医生姓名 | |
| 4 | examine_state | varchar | 16 | 0 | N | N | 已通过 | 审核状态 |
| 5 | user_id | int | 10 | 0 | N | N | 0 | 用户ID |
| 6 | create_time | datetime | 19 | 0 | N | N | CURRENT_TIMESTAMP | 创建时间 |
| 7 | update_time | timestamp | 19 | 0 | N | N | CURRENT_TIMESTAMP | 更新时间 |
表medical_examination_notice (体检通知)
| 编号 | 名称 | 数据类型 | 长度 | 小数位 | 允许空值 | 主键 | 默认值 | 说明 |
| 1 | medical_examination_notice_id | int | 10 | 0 | N | Y | 体检通知ID | |
| 2 | order_number | varchar | 64 | 0 | N | N | 订单号 | |
| 3 | entry_name | varchar | 64 | 0 | Y | N | 项目名称 | |
| 4 | department | varchar | 64 | 0 | Y | N | 科室 | |
| 5 | cover | varchar | 255 | 0 | Y | N | 封面 | |
| 6 | physical_examination_price | int | 10 | 0 | Y | N | 0 | 体检价格 |
| 7 | matters_needing_attention | varchar | 64 | 0 | Y | N | 注意事项 | |
| 8 | physical_examination_items | text | 65535 | 0 | Y | N | 体检项目 | |
| 9 | doctor_users | int | 10 | 0 | Y | N | 0 | 医生用户 |
| 10 | doctors_id | varchar | 64 | 0 | Y | N | 医生工号 | |
| 11 | doctors_name | varchar | 64 | 0 | Y | N | 医生姓名 | |
| 12 | student_users | int | 10 | 0 | Y | N | 0 | 学生用户 |
| 13 | student_name | varchar | 64 | 0 | Y | N | 学生姓名 | |
| 14 | student_gender | varchar | 64 | 0 | Y | N | 学生性别 | |
| 15 | age | varchar | 64 | 0 | Y | N | 年龄 | |
| 16 | notification_date | date | 10 | 0 | Y | N | 通知日期 | |
| 17 | count_the_number_of_people | varchar | 64 | 0 | Y | N | 统计人数 | |
| 18 | notification_content | text | 65535 | 0 | Y | N | 通知内容 | |
| 19 | pay_state | varchar | 16 | 0 | N | N | 未支付 | 支付状态 |
| 20 | pay_type | varchar | 16 | 0 | Y | N | 支付类型: 微信、支付宝、网银 | |
| 21 | create_time | datetime | 19 | 0 | N | N | CURRENT_TIMESTAMP | 创建时间 |
| 22 | update_time | timestamp | 19 | 0 | N | N | CURRENT_TIMESTAMP | 更新时间 |
表notice (公告)
| 编号 | 名称 | 数据类型 | 长度 | 小数位 | 允许空值 | 主键 | 默认值 | 说明 |
| 1 | notice_id | mediumint | 8 | 0 | N | Y | 公告id: | |
| 2 | title | varchar | 125 | 0 | N | N | 标题: | |
| 3 | content | longtext | 2147483647 | 0 | Y | N | 正文: | |
| 4 | create_time | timestamp | 19 | 0 | N | N | CURRENT_TIMESTAMP | 创建时间: |
| 5 | update_time | timestamp | 19 | 0 | N | N | CURRENT_TIMESTAMP | 更新时间: |
表physical_examination_appointment (体检预约)
| 编号 | 名称 | 数据类型 | 长度 | 小数位 | 允许空值 | 主键 | 默认值 | 说明 |
| 1 | physical_examination_appointment_id | int | 10 | 0 | N | Y | 体检预约ID | |
| 2 | order_number | varchar | 64 | 0 | Y | N | 订单号 | |
| 3 | entry_name | varchar | 64 | 0 | Y | N | 项目名称 | |
| 4 | department | varchar | 64 | 0 | Y | N | 科室 | |
| 5 | cover | varchar | 255 | 0 | Y | N | 封面 | |
| 6 | physical_examination_price | int | 10 | 0 | Y | N | 0 | 体检价格 |
| 7 | matters_needing_attention | varchar | 64 | 0 | Y | N | 注意事项 | |
| 8 | physical_examination_items | text | 65535 | 0 | Y | N | 体检项目 | |
| 9 | doctor_users | int | 10 | 0 | Y | N | 0 | 医生用户 |
| 10 | doctors_id | varchar | 64 | 0 | Y | N | 医生工号 | |
| 11 | doctors_name | varchar | 64 | 0 | Y | N | 医生姓名 | |
| 12 | student_users | int | 10 | 0 | Y | N | 0 | 学生用户 |
| 13 | student_name | varchar | 64 | 0 | Y | N | 学生姓名 | |
| 14 | student_gender | varchar | 64 | 0 | Y | N | 学生性别 | |
| 15 | age | varchar | 64 | 0 | Y | N | 年龄 | |
| 16 | appointment_date | date | 10 | 0 | Y | N | 预约日期 | |
| 17 | appointment_remarks | text | 65535 | 0 | Y | N | 预约备注 | |
| 18 | examine_state | varchar | 16 | 0 | N | N | 未审核 | 审核状态 |
| 19 | examine_reply | varchar | 16 | 0 | Y | N | 审核回复 | |
| 20 | create_time | datetime | 19 | 0 | N | N | CURRENT_TIMESTAMP | 创建时间 |
| 21 | update_time | timestamp | 19 | 0 | N | N | CURRENT_TIMESTAMP | 更新时间 |
表physical_examination_center (体检中心)
| 编号 | 名称 | 数据类型 | 长度 | 小数位 | 允许空值 | 主键 | 默认值 | 说明 |
| 1 | physical_examination_center_id | int | 10 | 0 | N | Y | 体检中心ID | |
| 2 | entry_name | varchar | 64 | 0 | Y | N | 项目名称 | |
| 3 | department | varchar | 64 | 0 | Y | N | 科室 | |
| 4 | cover | varchar | 255 | 0 | Y | N | 封面 | |
| 5 | physical_examination_price | int | 10 | 0 | Y | N | 0 | 体检价格 |
| 6 | matters_needing_attention | varchar | 64 | 0 | Y | N | 注意事项 | |
| 7 | physical_examination_items | text | 65535 | 0 | Y | N | 体检项目 | |
| 8 | doctor_users | int | 10 | 0 | Y | N | 0 | 医生用户 |
| 9 | doctors_id | varchar | 64 | 0 | Y | N | 医生工号 | |
| 10 | doctors_name | varchar | 64 | 0 | Y | N | 医生姓名 | |
| 11 | hits | int | 10 | 0 | N | N | 0 | 点击数 |
| 12 | create_time | datetime | 19 | 0 | N | N | CURRENT_TIMESTAMP | 创建时间 |
| 13 | update_time | timestamp | 19 | 0 | N | N | CURRENT_TIMESTAMP | 更新时间 |
表physical_examination_consultation (体检咨询)
| 编号 | 名称 | 数据类型 | 长度 | 小数位 | 允许空值 | 主键 | 默认值 | 说明 |
| 1 | physical_examination_consultation_id | int | 10 | 0 | N | Y | 体检咨询ID | |
| 2 | entry_name | varchar | 64 | 0 | Y | N | 项目名称 | |
| 3 | department | varchar | 64 | 0 | Y | N | 科室 | |
| 4 | physical_examination_price | int | 10 | 0 | Y | N | 0 | 体检价格 |
| 5 | matters_needing_attention | varchar | 64 | 0 | Y | N | 注意事项 | |
| 6 | physical_examination_items | text | 65535 | 0 | Y | N | 体检项目 | |
| 7 | doctor_users | int | 10 | 0 | Y | N | 0 | 医生用户 |
| 8 | doctors_id | varchar | 64 | 0 | Y | N | 医生工号 | |
| 9 | doctors_name | varchar | 64 | 0 | Y | N | 医生姓名 | |
| 10 | student_users | int | 10 | 0 | Y | N | 0 | 学生用户 |
| 11 | student_name | varchar | 64 | 0 | Y | N | 学生姓名 | |
| 12 | student_gender | varchar | 64 | 0 | Y | N | 学生性别 | |
| 13 | age | varchar | 64 | 0 | Y | N | 年龄 | |
| 14 | consultation_date | date | 10 | 0 | Y | N | 咨询日期 | |
| 15 | consultation_content | text | 65535 | 0 | Y | N | 咨询内容 | |
| 16 | examine_state | varchar | 16 | 0 | N | N | 未审核 | 审核状态 |
| 17 | examine_reply | varchar | 16 | 0 | Y | N | 审核回复 | |
| 18 | create_time | datetime | 19 | 0 | N | N | CURRENT_TIMESTAMP | 创建时间 |
| 19 | update_time | timestamp | 19 | 0 | N | N | CURRENT_TIMESTAMP | 更新时间 |
表physical_examination_results (体检结果)
| 编号 | 名称 | 数据类型 | 长度 | 小数位 | 允许空值 | 主键 | 默认值 | 说明 |
| 1 | physical_examination_results_id | int | 10 | 0 | N | Y | 体检结果ID | |
| 2 | order_number | varchar | 64 | 0 | N | N | 订单号 | |
| 3 | entry_name | varchar | 64 | 0 | Y | N | 项目名称 | |
| 4 | department | varchar | 64 | 0 | Y | N | 科室 | |
| 5 | cover | varchar | 255 | 0 | Y | N | 封面 | |
| 6 | physical_examination_price | int | 10 | 0 | Y | N | 0 | 体检价格 |
| 7 | matters_needing_attention | varchar | 64 | 0 | Y | N | 注意事项 | |
| 8 | physical_examination_items | text | 65535 | 0 | Y | N | 体检项目 | |
| 9 | doctor_users | int | 10 | 0 | Y | N | 0 | 医生用户 |
| 10 | doctors_id | varchar | 64 | 0 | Y | N | 医生工号 | |
| 11 | doctors_name | varchar | 64 | 0 | Y | N | 医生姓名 | |
| 12 | student_users | int | 10 | 0 | Y | N | 0 | 学生用户 |
| 13 | student_name | varchar | 64 | 0 | Y | N | 学生姓名 | |
| 14 | student_gender | varchar | 64 | 0 | Y | N | 学生性别 | |
| 15 | age | varchar | 64 | 0 | Y | N | 年龄 | |
| 16 | notification_date | date | 10 | 0 | Y | N | 通知日期 | |
| 17 | physical_examination_report | varchar | 255 | 0 | Y | N | 体检报告 | |
| 18 | result_description | text | 65535 | 0 | Y | N | 结果描述 | |
| 19 | create_time | datetime | 19 | 0 | N | N | CURRENT_TIMESTAMP | 创建时间 |
| 20 | update_time | timestamp | 19 | 0 | N | N | CURRENT_TIMESTAMP | 更新时间 |
表student_users (学生用户)
| 编号 | 名称 | 数据类型 | 长度 | 小数位 | 允许空值 | 主键 | 默认值 | 说明 |
| 1 | student_users_id | int | 10 | 0 | N | Y | 学生用户ID | |
| 2 | student_id | varchar | 64 | 0 | N | N | 学生学号 | |
| 3 | student_name | varchar | 64 | 0 | Y | N | 学生姓名 | |
| 4 | student_gender | varchar | 64 | 0 | Y | N | 学生性别 | |
| 5 | age | varchar | 64 | 0 | Y | N | 年龄 | |
| 6 | examine_state | varchar | 16 | 0 | N | N | 已通过 | 审核状态 |
| 7 | user_id | int | 10 | 0 | N | N | 0 | 用户ID |
| 8 | create_time | datetime | 19 | 0 | N | N | CURRENT_TIMESTAMP | 创建时间 |
| 9 | update_time | timestamp | 19 | 0 | N | N | CURRENT_TIMESTAMP | 更新时间 |
3.4本章小结
整个大学生健康体检管理系统的需求分析主要对系统总体架构以及功能模块的设计,通过建立E-R模型和数据库逻辑系统设计完成了数据库系统设计。
4 大学生健康体检管理系统详细设计与实现
大学生健康体检管理系统的详细设计与实现主要是根据前面的大学生健康体检管理系统的需求分析和大学生健康体检管理系统的总体设计来设计页面并实现业务逻辑。主要从大学生健康体检管理系统界面实现、业务逻辑实现这两部分进行介绍。
4.1用户功能模块
4.1.1 前台首页界面
当进入大学生健康体检管理系统的时候,系统以上中下的布局进行展示,首先映入眼帘的是系统的导航栏,下面是轮播图,再往下是公告信息,其主界面展示如下图4-1所示。
图4-1 前台首页界面图
4.1.2 用户注册界面
大学生健康体检管理系统的游客和时可以进行注册登录,当用户右上角“注册”按钮的时候,当填写上自己的账号+密码+确认密码+昵称+邮箱+手机号等后再点击“注册”按钮后将会先验证输入的有没有空数据,再次验证密码和确认密码是否是一样的,最后验证输入的账户名和数据库表中已经注册的账户名是否重复,只有都验证没问题后即可用户注册成功。其用用户注册界面展示如下图4-2所示。

图4-2注册界面图
注册关键代码如下:
/**
* 注册
* @param user
* @return
*/
@PostMapping("register")
public Map<String, Object> signUp(@RequestBody User user) {
// 查询用户
Map<String, String> query = new HashMap<>();
Map<String,Object> map = JSON.parseObject(JSON.toJSONString(user));
query.put("username",user.getUsername());
List list = service.selectBaseList(service.select(query, new HashMap<>()));
if (list.size()>0){
return error(30000, "用户已存在");
}
map.put("password",service.encryption(String.valueOf(map.get("password"))));
service.insert(map);
return success(1);
}
4.1.3 用户登录界面
大学生健康体检管理系统中的前台上注册后的用户是可以通过自己的账户名和密码进行登录的,当用户输入完整的自己的账户名和密码信息并点击“登录”按钮后,将会首先验证输入的有没有空数据,再次验证输入的账户名+密码和数据库中当前保存的用户信息是否一致,只有在一致后将会登录成功并自动跳转到大学生健康体检管理系统的首页中;否则将会提示相应错误信息,用户登录界面如下图4-3所示。

图4-3用户登录界面图
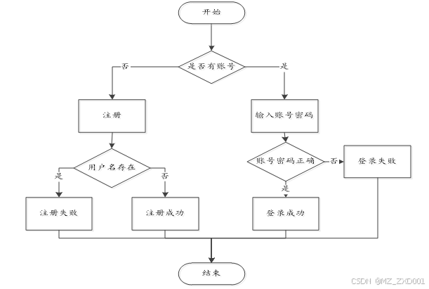
所有的用户都可以通过网页进入到大学生健康体检管理系统中对信息进行查看,但是要实现体检预约、体检咨询、点赞、收藏、评论的话,就不是所有人都能操作的,必须成为大学生健康体检管理系统的用户,注册登录的流程图如下图4-4所示。

图4-4注册登录流程图
登录的逻辑代码如下所示。
/**
* 登录
* @param data
* @param httpServletRequest
* @return
*/
@PostMapping("login")
public Map<String, Object> login(@RequestBody Map<String, String> data, HttpServletRequest httpServletRequest) {
log.info("[执行登录接口]");
String username = data.get("username");
String email = data.get("email");
String phone = data.get("phone");
String password = data.get("password");
List resultList = null;
Map<String, String> map = new HashMap<>();
if(username != null && "".equals(username) == false){
map.put("username", username);
resultList = service.select(map, new HashMap<>()).getResultList();
}
else if(email != null && "".equals(email) == false){
map.put("email", email);
resultList = service.select(map, new HashMap<>()).getResultList();
}
else if(phone != null && "".equals(phone) == false){
map.put("phone", phone);
resultList = service.select(map, new HashMap<>()).getResultList();
}else{
return error(30000, "账号或密码不能为空");
}
if (resultList == null || password == null) {
return error(30000, "账号或密码不能为空");
}
//判断是否有这个用户
if (resultList.size()<=0){
return error(30000,"用户不存在");
}
User byUsername = (User) resultList.get(0);
Map<String, String> groupMap = new HashMap<>();
groupMap.put("name",byUsername.getUserGroup());
List groupList = userGroupService.select(groupMap, new HashMap<>()).getResultList();
if (groupList.size()<1){
return error(30000,"用户组不存在");
}
UserGroup userGroup = (UserGroup) groupList.get(0);
//查询用户审核状态
if (!StringUtils.isEmpty(userGroup.getSourceTable())){
String sql = "select examine_state from "+ userGroup.getSourceTable() +" WHERE user_id = " + byUsername.getUserId();
String res = String.valueOf(service.runCountSql(sql).getSingleResult());
if (res==null){
return error(30000,"用户不存在");
}
if (!res.equals("已通过")){
return error(30000,"该用户审核未通过");
}
}
//查询用户状态
if (byUsername.getState()!=1){
return error(30000,"用户非可用状态,不能登录");
}
String md5password = service.encryption(password);
if (byUsername.getPassword().equals(md5password)) {
// 存储Token到数据库
AccessToken accessToken = new AccessToken();
accessToken.setToken(UUID.randomUUID().toString().replaceAll("-", ""));
accessToken.setUser_id(byUsername.getUserId());
tokenService.save(accessToken);
// 返回用户信息
JSONObject user = JSONObject.parseObject(JSONObject.toJSONString(byUsername));
user.put("token", accessToken.getToken());
JSONObject ret = new JSONObject();
ret.put("obj",user);
return success(ret);
} else {
return error(30000, "账号或密码不正确");
}
}
4.1.4体检中心详情界面
当用户点击“体检中心”这一菜单按钮,会显示管理员在后台发布的所有的体检中心,支持通过关键词对体检中心进行搜索,选择需要的体检中心点击可以进入到体检中心详细的介绍界面,在详细界面可以查看到体检中心的详细信息,同时可以进行体检预约、体检咨询、收藏、评论操作,体检中心界面如下图4-5 所示。

图4-5体检中心界面图
在实现体检预约/咨询操作的时候,没有登录的用户只能进行查看,如果想要实现体检预约/咨询这个操作的话,体检预约/咨询的前提必须是登录后才能进行。详见图4-8所示。

图4-6 体检预约/咨询流程图
4.1.5 资讯信息详情界面
当访客点击大学生健康体检管理系统中导航栏上的“资讯信息”后将会进入到该“资讯信息”列表的界面,然后选择想要看的资讯信息,点击进入到详细界面,同时可以进行点赞、收藏、评论操作,资讯信息界面如下图4-7所示。

图4-7 资讯信息详情界面图
4.1.6我的账户界面
当用户点击右上角“我的”这个按钮,会出现子菜单,点击“我的账户”可以对个人的资料、登录系统的密码以及自己收藏的信息进行设置管理,我的账户界面如下图4-7所示。

图4-7我的账户界面图
4.2管理员功能模块
4.2.1用户管理界面
管理员点击“系统用户”这一菜单会显示管理员、医生用户和学生用户这三个子菜单,管理员可以对这三个角色的信息进行增删改查操作。界面如下图4-9所示。

图4-9用户管理界面图
用户管理关键代码如下:
@PostMapping("/add")
@Transactional
public Map<String, Object> add(HttpServletRequest request) throws IOException {
service.insert(service.readBody(request.getReader()));
return success(1);
}
public Map<String, Object> addMap(Map<String,Object> map){
service.insert(map);
return success(1);
}
4.2.2体检中心管理界面
管理员点击体检中心这一菜单可以对体检中心进行增删改查,包含了用户对体检中心提交的评论信息。界面如下图4-10所示。

图4-10体检中心管理界面图
@PostMapping("/set")
@Transactional
public Map<String, Object> set(HttpServletRequest request) throws IOException {
service.update(service.readQuery(request), service.readConfig(request), service.readBody(request.getReader()));
return success(1);
}
管理员点击“体检预约”会显示出所有的体检预约,支持选择订单号或者项目名称对体检预约进行查询,也可以选择某一条体检预约,点击“删除”进行删除,也可以点击后面的“通知”按钮对体检预约的通知信息进行更新维护。界面如下图4-11所示。

图4-11体检预约界面图
体检预约管理关键代码如下:
@RequestMapping(value = "/del")
@Transactional
public Map<String, Object> del(HttpServletRequest request) {
service.delete(service.readQuery(request), service.readConfig(request));
return success(1);
}
public void delete(Map<String,String> query,Map<String,String> config){
QueryWrapper wrapper = new QueryWrapper<E>();
toWhereWrapper(query, "0".equals(config.get(FindConfig.GROUP_BY)),wrapper);
baseMapper.delete(wrapper);
log.info("[{}] - 删除操作:{}",wrapper.getSqlSelect());
}
管理员点击“体检结果”会显示出所有的体检结果,支持输入订单号或者项目名称对体检结果进行查询,也可以选择某一条体检结果,点击“删除”进行删除。界面如下图4-12所示。
图4-12体检结果管理界面图
管理员点击“体检通知”会显示出所有的体检通知,支持选择订单号或者项目名称对体检通知进行查询,也可以选择某一条体检通知,点击“删除”进行删除,也可以点击后面的“体检结果”“支付”按钮对体检通知的体检结果信息进行更新维护,按钮对体检通知的支付信息进行设置。界面如下图4-13所示。

图4-13体检通知管理界面图
5系统测试
5.1 系统测试用例
系统测试包括:用户登录功能测试、资讯信息展示功能测试、体检中心添加、体检中心搜索、密码修改、体检预约功能测试,如表5-1、5-2、5-3、5-4、5-5、5-6所示:
表5-1 用户登录功能测试表
| 用例名称 | 用户登录系统 |
| 目的 | 测试用户通过正确的用户名和密码可否登录功能 |
| 前提 | 未登录的情况下 |
| 测试流程 | 1) 进入登录页面 2) 输入正确的用户名和密码 |
| 预期结果 | 用户名和密码正确的时候,跳转到登录成功界面,反之则显示错误信息,提示重新输入 |
| 实际结果 | 实际结果与预期结果一致 |
资讯信息查看功能测试:
表5-2 资讯信息查看功能测试表
| 用例名称 | 资讯信息查看 |
| 目的 | 测试资讯信息查看功能 |
| 前提 | 用户登录 |
| 测试流程 | 点击资讯信息列表 |
| 预期结果 | 可以查看到所有资讯信息信息 |
| 实际结果 | 实际结果与预期结果一致 |
添加体检中心界面测试:
表5-3 添加体检中心界面测试表
| 用例名称 | 添加体检中心测试用例 |
| 目的 | 测试体检中心添加功能 |
| 前提 | 用户正常登录情况下 |
| 测试流程 | 1)点击体检中心,然后点击添加后并填写信息。 2)点击进行提交。 |
| 预期结果 | 提交以后,页面首页会显示新的体检中心 |
| 实际结果 | 实际结果与预期结果一致 |
体检中心搜索功能测试:
表5-4体检中心搜索功能测试表
| 用例名称 | 体检中心搜索测试 |
| 目的 | 测试体检中心搜索功能 |
| 前提 | 无 |
| 测试流程 | 1)在搜索框填入搜索关键字。 2)点击搜索按钮。 |
| 预期结果 | 页面显示包含有搜索关键字的体检中心 |
| 实际结果 | 实际结果与预期结果一致 |
密码修改搜索功能测试:
表5-5 密码修改功能测试表
| 用例名称 | 密码修改测试用例 |
| 目的 | 测试管理员密码修改功能 |
| 前提 | 管理员用户正常登录情况下 |
| 测试流程 | 1)管理员密码修改并完成填写。 2)点击进行提交。 |
| 预期结果 | 使用新的密码可以登录 |
| 实际结果 | 实际结果与预期结果一致 |
体检预约功能测试:
表5-6体检预约功能测试表
| 用例名称 | 体检预约测试用例 |
| 目的 | 测试用户体检预约功能 |
| 前提 | 用户正常登录情况下 |
| 测试流程 | 1)搜索查看体检中心,点击体检预约。 2)填写体检预约信息,点击进行提交。 |
| 预期结果 | 体检预约成功 |
| 实际结果 | 实际结果与预期结果一致 |
通过编写大学生健康体检管理系统的测试用例,已经检测完毕用户登录模块、资讯信息展示模块、体检中心添加模块、体检中心搜索模块、密码修改模块、体检预约模块功能测试,通过这6大模块为大学生健康体检管理系统的后期推广运营提供了强力的技术支撑。
本文详细描述了大学生健康体检管理系统的设计与实现原理及开发过程。系统基于Spring Boot框架搭建后台,Tomcat作为中间件,MySQL作为数据库管理平台,前端采用JQuery框架,并结合Validate校验框架以减少前端代码量。在开发前进行了充分准备,阅读学习了大量文献资料,积累了宝贵的开发经验和设计思路。开发过程中运用熟悉的技术,如Web、Spring Boot、MySQL,并通过不断学习和摸索得出设计方法和经验。项目完成离不开老师和同学们的帮助与指导,他们的支持使得系统能够按时完成。虽然系统仍有改进空间,但受限于专业知识,无法做到完美。希望未来能够进一步完善系统,让其真正投入实际应用中。
[1]徐少军,李宗哲,梅杰等. 基于Springboot+Vue框架的质量检验监督管理系统研发 [J]. 纺织标准与质量, 2024, (01): 11-14+21.
[2]束方鹏,张逸. 基于SpringBoot框架的数据转换系统及方法[P]. 江苏省: CN117289914B, 2024-02-02.
[3]谭光兴,甘景,戚秋晨. 基于Java语言的远程数据采集系统设计与实现 [J]. 科技与创新, 2024, (01): 19-22.
[4]马庆. 计算机软件开发中JAVA编程语言的应用 [J]. 山西电子技术, 2023, (06): 84-86+98.
[5]吴昊,张丹. 基于SpringBoot框架的大学生网上兼职系统设计与实现 [J]. 电脑知识与技术, 2023, 19 (35): 68-72.
[6]李冉,杨军,宁玉富等. 基于SpringBoot框架和CNN-SVM算法的浸润性肺腺癌细胞的初步诊断筛选系统 [J]. 无线互联科技, 2023, 20 (22): 58-61.
[7]宋晓燕,杨芬. Java程序设计语言的分层教学实践 [J]. 电子技术, 2023, 52 (11): 182-183.
[8]Liang C . School Vehicle Management System Based on JAVA Language [J]. Academic Journal of Computing & Information Science, 2023, 6 (9):
[9]谢礼梅. 关于智能健康体检管理系统构建的研究 [J]. 电脑知识与技术, 2022, 18 (27): 48-49+55.
[10]张磊. 一种学生健康体检信息管理系统及其实现方法[P]. 山东省: CN113823367A, 2021-12-21.
[11]刘欣,李亮亮,牛聪. 基于Vue和SpringBoot框架的流域监管平台的研究和应用[C]// 《中国防汛抗旱》杂志社,中国水利学会减灾专业委员会,水利部防洪抗旱减灾工程技术研究中心(中国水利水电科学研究院防洪抗旱减灾研究中心). 第十一届防汛抗旱信息化论坛论文集. 黄河水利委员会信息中心;郑州黄河河务局;, 2021: 5..
[12]Liu S . Explore Java Language and Android Mobile Software Development [J]. International Journal of Frontiers in Engineering Technology, 2021, 3.0 (2.0):
[13]Kline K . The Java Language Extension for SQL Server Is Now Open Source [J]. Database Trends and Applications, 2020, 34 (4): 31-31.
[14]张海芳. 基于B/S结构的大学生健康管理系统的研究 [J]. 自动化技术与应用, 2019, 35 (10): 160-163.
[15]庄彦,未培. 基于云数据库的大学生健康档案管理系统的设计与实现 [J]. 辽宁科技学院学报, 2019, 18 (01): 17-19.
[16]冯士勇,蔡艳华,吴平. 学生健康体检管理系统的应用 [J]. 中国医药指南, 2019, 10 (09): 303-304.
[17]靳蔚,韩津生. 学生健康管理软件的编制及应用 [J]. 硅谷, 2019, (19): 66.
致 谢
逝者如斯夫,不舍昼夜。转眼间,大学生活便已经接近尾声,人面对着离别与结束,总是充满着不舍与茫然,我亦如此,仍记得那年秋天,我迫不及待的提前一天到了学校,面对学校巍峨的大门,我心里充满了期待:这里,就是我新生活的起点吗?那天,阳光明媚,学校的欢迎仪式很热烈,我面对着一个个对着我微笑的同学,仿佛一缕缕阳光透过胸口照进了我心里,同时,在那天我认识可爱的室友,我们携手共同度过了这难忘的两年。如今,我望着这篇论文的致谢,不禁又要问自己:现在,我们就要说再见了吗?
感慨莫名,不知所言。遥想当初刚来学校的时候,心里总是想着工科学校会过于板正,会缺乏一些柔情,当时心里甚至有一点点排斥,但是随着我对学校的慢慢认识与了解,我才认识到了她的美丽,她的柔情,并且慢慢的喜欢上了这个校园,但是时间太快了,快到我还没有好好体会她的美丽便要离开了,但是她带给我的回忆,永远不会离开我,也许真正离开那天我的眼里会满含泪水,我不是因为难过,我只是想将她的样子映在我的泪水里,刻在我的心里。最后,感谢我的老师们,是你们教授了我们知识与做人的道理;感谢我的室友们,是你们陪伴了我如此之久;感谢每位关心与支持我的人。
少年,追风赶月莫停留,平荒尽处是春山。
免费领取项目源码,请关注❥点赞收藏并私信博主,谢谢~
1572

被折叠的 条评论
为什么被折叠?



