#102 Binary Tree Level Order Traversal
Given the
rootof a binary tree, return the level order traversal of its nodes' values. (i.e., from left to right, level by level).
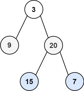
Example 1:

Input: root = [3,9,20,null,null,15,7] Output: [[3],[9,20],[15,7]]
Example 2:
Input: root = [1] Output: [[1]]
Example 3:
Input: root = [] Output: []
Iterative的解题思路:
这题有两个难点。
1:如何能按层来从上到下从左到右地顺序打印
2:如何能把打印的结果按层以list的形式打包在一起来打印
第一个问题。
如果先考虑最小单元的情况,一个母节点带两个子叶。打印顺序就是先母再左后右。
如果子叶还带子叶,打印顺序再叠加新子叶层。
这里【打印】的动作只能和【判断节点是否有子叶】的动作拆分开来,因为前者是需要root.val,后者需要的数据type是node。如果有子叶还要把信息再存入待打印的队伍里。
按照存入和打印的先后关系,我们应该用FIFO的queue。
最初给定一个母节点的时候,如果第一步先【判断节点是否有子叶】,那么新储存的子叶信息会和这个母节点混在一起,造成最后打印的时候无法以层为单位(以list的形式)而分开。所以我们要单独创建一个temp的变量,与【用来储存信息的queue】区别开来,专门用于处理节点【判断它们是否有子叶】。每个节点判断完之后,该存的子叶信息存进了queue之后,提取值,放入待打印的队列。当temp的节点全部处理完、清空之后,再一次性把所有待打印的队列append给res。再将queue里新一层的子叶全部转移给temp。
可以把queue想象成仓库,temp相当于作业间,最后res就是打包区。
temp作业间再分两个区,temp_node是专门放节点的, temp_val是放待打印的值。
在确保给到点不是None之后,预先把root放进queue里。
# Definition for a binary tree node. # class TreeNode: # def __init__(self, val=0, left=None, right=None): # self.val = val # self.left = left # self.right = right class Solution: def levelOrder(self, root: Optional[TreeNode]) -> List[List[int]]: if not root: return root queue = [root] temp_node = [] temp_val = [] res = [] while queue or temp_node: # swap queue and temp temp_node, queue = queue, temp_node while temp_node: root = temp_node.pop(0) temp_val.append(root.val) if root.left: queue.append(root.left) if root.right: queue.append(root.right) res.append(temp_val) temp_val = [] return res
runtime:

Recursive的解题思路(说实话还是不太能想出来,虽然能看懂答案)
最简的base case就是先创建一个[],然后把母值加进去,再进入下一个循环,创建下一层的[],然后把原来的左叶右叶的值带进去。所以input除了母节点之外,还有层的信息。
recursive这里借助了一个helper(root, level)

试着写一遍:
# Definition for a binary tree node.
# class TreeNode:
# def __init__(self, val=0, left=None, right=None):
# self.val = val
# self.left = left
# self.right = right
class Solution:
def levelOrder(self, root: Optional[TreeNode]) -> List[List[int]]:
levels = []
def helper(root, level):
if not root: return root
# create a new layer
if level == len(levels):
levels.append([])
# append the value of the root
levels[level].append(root.val)
level += 1
if root.left: helper(root.left, level)
if root.right: helper(root.right, level)
helper(root, 0)
return levels
runtime:
这篇博客详细介绍了LeetCode第102题《二叉树层级遍历》的解题方法,包括迭代和递归两种思路。在迭代解法中,重点是如何按层顺序打印节点并保持层次结构,通过使用队列实现。而在递归解法中,利用辅助函数和层信息来构建解决方案。
1538

被折叠的 条评论
为什么被折叠?



