二叉树的前中后序遍历
1、二叉树的相关概念
二叉树的概念参考: 二叉树_百度百科
2、二叉树的前中后序遍历
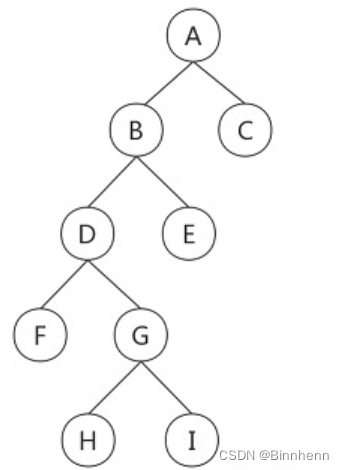
对于如下二叉树:

- 前序遍历
A-B-D-F-G-H-I-E-C(根在前,从左往右,一棵树的根永远在左子树前面,左子树又永远在右子树前面 ) - 中序遍历
F-D-H-G-I-B-E-A-C(根在中,从左往右,一棵树的左子树永远在根前面,根永远在右子树前面) - 后序遍历
F-H-I-G-D-E-B-C-A(根在后,从左往右,一棵树的左子树永远在右子树前面,右子树永远在根前面)
这里前中后,其实指的就是中间节点的遍历顺序,记住前中后序指的就是中间节点的位置就可以了。
3、代码实现
二叉树的定义
// 二叉树的定义
public class TreeNode {
int val;
TreeNode left;
TreeNode right;
TreeNode() {}
TreeNode(int val) { this.val = val; }
TreeNode(int val, TreeNode left, TreeNode right) {
this.val = val;
this.left = left;
this.right = right;
}
}
前序遍历
// 递归实现
class Solution {
public List<Integer> preorderTraversal(TreeNode root) {
List<Integer> res = new ArrayList<>();
preorder(root,res);
return res;
}
public void preorder(TreeNode root,List<Integer> res){
if(root == null) return;
res.add(root.val);
preorder(root.left,res);
preorder(root.right,res);
}
// 遍历实现
// 前序遍历顺序:中-左-右,入栈顺序:中-右-左
class Solution {
public List<Integer> preorderTraversal(TreeNode root) {
List<Integer> res = new ArrayList<>();
Stack<TreeNode> st = new Stack<>();
if(root == null){
return res;
}
st.push(root);
while(!st.isEmpty()){
TreeNode node = st.pop();
res.add(node.val);
if(node.right != null){
st.push(node.right);
}
if(node.left != null){
st.push(node.left);
}
}
return res;
}
}
中序遍历
// 递归实现
class Solution {
public List<Integer> inorderTraversal(TreeNode root) {
List<Integer> res = new ArrayList<>();
inorder(root, res);
return res;
}
public void inorder(TreeNode root, List res) {
if(root == null) return;
inorder(root.left, res);
res.add(root.val);
inorder(root.right, res);
}
}
// 遍历实现
// 中序遍历顺序: 左-中-右 入栈顺序: 左-右
class Solution {
public List<Integer> inorderTraversal(TreeNode root) {
List<Integer> res = new ArrayList<>();
Stack<TreeNode> st = new Stack<>();
TreeNode cur = root;
while(cur != null || !st.isEmpty()){
if(cur != null){
st.push(cur);
cur = cur.left;
}else{
cur = st.pop();
res.add(cur.val);
cur = cur.right;
}
}
return res;
}
}
后序遍历
// 递归实现
class Solution {
public List<Integer> postorderTraversal(TreeNode root) {
List<Integer> res = new ArrayList<>();
postorder(root, res);
return res;
}
public void postorder(TreeNode root, List res) {
if(root == null) return;
postorder(root.left, res);
postorder(root.right, res);
res.add(root.val);
}
}
// 遍历实现
// 后序遍历顺序 左-右-中 入栈顺序:中-左-右 出栈顺序:中-右-左, 最后翻转结果
class Solution {
public List<Integer> postorderTraversal(TreeNode root) {
List<Integer> res = new ArrayList<>();
Stack<TreeNode> st = new Stack<>();
if(root == null){
return res;
}
st.push(root);
while(!st.isEmpty()){
TreeNode node = st.pop();
res.add(node.val);
if(node.left != null){
st.push(node.left);
}
if(node.right != null){
st.push(node.right);
}
}
// 翻转
Collections.reverse(res);
return res;
}
}
839

被折叠的 条评论
为什么被折叠?



