5. 书接上一回
上次看到 ΔA⋅ΔB ,具体是怎样推导的呢?也理解了
Δ A = ( ⟨ A 2 ⟩ − ⟨ A ⟩ 2 ) 1 / 2 \Delta A=( \langle A^2 \rangle - \langle A \rangle^2 ) ^{1/2} \\ ΔA=(⟨A2⟩−⟨A⟩2)1/2
但不知道为什么,我总觉得上述公式是没啥用
回看 上节 的第4点,得出
6. 找到一个简单的推导过程


从数学看来很简单,但有两个疑问
对易子跟反对易子是什么逻辑,怎样推导的?- 为什么只保留
对易子?
6.1) “对易子” 和 “反对易子”
先从概念上说:

给一个物理定义上的例子:


再用基础的 泡利算符 作为例子:


大模型给我们延伸了一个内容:

这里就绝望了…什么叫 李代数 、什么叫 克利福德代数(Clifford algebra) 、又什么叫 狄拉克方程与费米子场
一头雾水,但大概能看清
6.2) 为什么 “只保留对易子”?


可以理解为,其实关注的重点不是 AB + BA
而是调换顺序后的差 AB - BA

就是先测量哪一个,再测量另外一个值时,在经典物理是没差别的,但在 量子物理 语境下,就是有差别的了
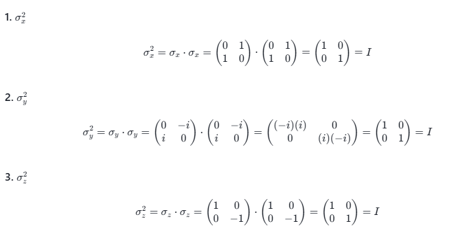
7. 泡利算符的例子 - 回到教程本身
我们看回教程本身 的 1.3 点
计算得知

故教程中的公式为:
更具体地,设量子态
∣ ψ ⟩ = c o s θ 2 ∣ 0 ⟩ + e i ϕ s i n θ 2 ∣ 1 ⟩ |\psi \rangle=cos \frac{\theta}{2}|0 \rangle + e^{i\phi}sin\frac{\theta}{2}|1 \rangle ∣ψ⟩=cos2θ∣0⟩+eiϕsin2θ∣1⟩
其中 𝜙 和 𝜃 为对量子比特的转动
⟨ ψ ∣ X ∣ ψ ⟩ = s i n θ c o s ϕ \langle \psi |X| \psi \rangle = sin \theta cos \phi ⟨ψ∣X∣ψ⟩=sinθcosϕ
⟨ ψ ∣ Y ∣ ψ ⟩ = s i n θ s i n ϕ \langle \psi |Y| \psi \rangle = sin \theta sin \phi ⟨ψ∣Y∣ψ⟩=sinθsinϕ
⟨ ψ ∣ Z ∣ ψ ⟩ = c o s θ \langle \psi |Z| \psi \rangle = cos \theta ⟨ψ∣Z∣ψ⟩=cosθ
⟨ ψ ∣ X 2 ∣ ψ ⟩ = ⟨ ψ ∣ Y 2 ∣ ψ ⟩ = 1 \langle \psi |X^2| \psi \rangle = \langle \psi |Y^2| \psi \rangle = 1 ⟨ψ∣X2∣ψ⟩=⟨ψ∣Y2∣ψ⟩=1
上述为算符的期望值,X、Y、Z 分别为三种不同 泡利算符
且因为
Δ X Δ Y ≥ ∣ ⟨ Z ⟩ ∣ \Delta X \Delta Y \geq \ |\langle Z \rangle | ΔXΔY≥ ∣⟨Z⟩∣
Δ X = ( ⟨ X 2 ⟩ − ⟨ X ⟩ 2 ) 1 / 2 \Delta X=( \langle X^2 \rangle - \langle X \rangle^2 ) ^{1/2} \\ ΔX=(⟨X2⟩−⟨X⟩2)1/2

所以
[ Δ ( X ) Δ ( Y ) ] 2 − ∣ ⟨ Z ⟩ ∣ 2 = ( 1 − s i n 2 θ c o s 2 ϕ ) ( 1 − s i n 2 θ s i n 2 ϕ ) − c o s 2 θ = c o s 2 ϕ s i n 2 ϕ s i n 4 θ ≥ 0 \begin{aligned} \left[\Delta (X) \Delta (Y)\right]^2-| \langle Z \rangle|^2&=(1-{sin}^2 \theta {cos}^2 \phi)(1- {sin}^2 \theta {sin}^2 \phi)-{cos}^2 \theta \\ &={cos}^2 \phi {sin}^2 \phi {sin}^4 \theta \geq 0 \end{aligned} [Δ(X)Δ(Y)]2−∣⟨Z⟩∣2=(1−sin2θcos2ϕ)(1−sin2θsin2ϕ)−cos2θ=cos2ϕsin2ϕsin4θ≥0
8. PyQuafu 的例子代码
因为真机排队排得很慢,于是我只用模拟的结果
# 引用包
import numpy as np
import matplotlib.pyplot as plt
from quafu import QuantumCircuit, simulate, Task
from numpy import pi, cos, sin
# 构建量子
def construct_circuit(theta):
qc = QuantumCircuit(3)
for i in range(3): # 创建一个3量子比特的电路, 量子态: |0> --> |ψ> = cos(θ/2)|0> + exp(i*pi/4)*sin(θ/2)|1>
qc.ry(i, theta)
qc.rz(i, pi/4)
qc.barrier([0,1,2])
qc.ry(0, -pi/2) # 转化测量基为X的本征态
qc.rx(1, pi/2) # 转化测量基为Y的本征态
qc.measure([0,1,2])
return qc
# 以 θ = 𝜋/2 作为例子绘制电路
q = construct_circuit(pi/2)
q.plot_circuit()
下面的代码我是删除了某些真机的配置 ( 而且都是过期的,后端名字都不是那些了 )
# 模拟的内容
def uncertainty_principle_demo(theta_num = 20):
# θ 的步长多长
theta_step = pi/theta_num
theta = [] # 保存θ的值
obsexp = [] # 保存 EX,EY,EZ
for i in range(theta_num):
theta_i = i*theta_step
# 配置当前的 θ 值
qc = construct_circuit(theta = theta_i)
sub_obsexp=[] # 保存此次循环中 EX,EY,EZ 的值
# 丢进去做模拟!!!!!!
simu_res = simulate(qc)
for i in range(3):
sub_obsexp.append(simu_res.calculate_obs([i]))
# 插入实验的 θ 以及 期望值
theta.append(theta_i)
obsexp.append(sub_obsexp)
return theta,obsexp
# 根据上面第 7 点的公式,手算的值
def theoretical_value(theta, phi = pi/4):
return (sin(phi)**2)*(cos(phi)**2)*(sin(theta)**4) # [Δ(X)Δ(Y)]^2-|<Z>|^2
x = np.linspace(0, pi, 100)
y = theoretical_value(x)
好了,准备都准备好了,我们开始画图!
# 画模拟结果为蓝色一点点的函数
def plot_theoretical_value(x,y):
plt.plot(x, y, label="Theoretical value: sin(φ)^2*cos(φ)^2*sin(θ)^4")
plt.xlabel("theta")
plt.ylabel("(Δ(X)Δ(Y))^2-|<Z>|^2")
plt.legend(loc="upper center", bbox_to_anchor=(0.5, 1.15))
# 模拟结果
theta, obsexp = uncertainty_principle_demo(theta_num = 20)
# 根据反馈的期望值计算结果
res=[(1-obsexp[i][0]**2)*(1-obsexp[i][1]**2)-obsexp[i][2]**2 for i in range(len(obsexp))] # [Δ(X)Δ(Y)]^2-|<Z>|^2
for i in range(len(res)):
print("θ= {:.3f}*pi ".format(theta[i]/pi),"[Δ(X)Δ(Y)]^2-|<Z>|^2 = {:.6f}".format(res[i])) # 展示结果数据
# 展示结果图
plt.plot(theta, res, "o",label="Simulation value")
plot_theoretical_value(x,y)
plt.show()
输出的结果如下:

9. 这些东西好废脑子
之前请教过某些数学博士,他说看这些公式其实还挺好懂,但为什么我看着一脸懵…
看来我还得好好学习
俺先去努力工作先
686

被折叠的 条评论
为什么被折叠?



