1. 概述
英文Graph Convolutional Networks,简称GCN。

2. 矩阵介绍:
(1)邻接矩阵
英文是Adjacency Matrix,所以邻接矩阵用字母A表示。具有n个节点的图G的邻接矩阵是一个n×n的矩阵,其中矩阵的元素aij表示节点vi和节点vj之间是否存在边,如果存在,aij=1;如果不存在,aij=0。邻接矩阵也可以带权,其中元素的值表示权重。但是一般情况下不带权。

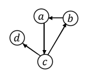
以上图为例,该无向图的邻接矩阵为:

无向图的邻接矩阵为对称矩阵。

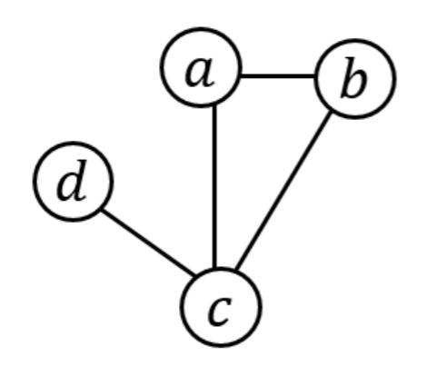
该有向图的邻接矩阵为:

(2)度矩阵
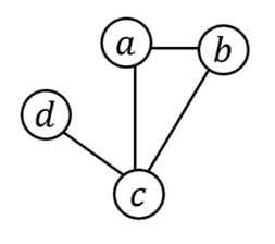
英文是Degree Matrix,所以度矩阵用字母D表示。具有n个节点的图G的度矩阵是一个n×n的对角矩阵,其中元素dii表示节点vi的度数,dij=0。在无向图中,节点的度数指连接该节点的边的数量;在有向图中,节点的度可以是入度或者出度,分别形成入度矩阵和出度矩阵。再以下图为例:

该无向图的度矩阵为:

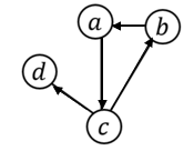
再来看有向图:

入度矩阵为:

出度矩阵为:

(3)带自环的邻接矩阵

将邻接矩阵与单位矩阵相加,形成带自环的邻接矩阵:
------------->

(4)带自环的度矩阵
带自环的邻接矩阵,度矩阵也随之发生变化
:
-------------->

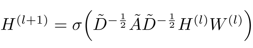
3. 核心公式:
其实就是
的每个元素取倒数。
是
的每个元素取次方。
其中,W代表可学习的权重矩阵。![]()
表示第 层输入特征的维度;
表示第 层输出特征的维度;

被折叠的 条评论
为什么被折叠?



