概述
ConcurrentHashMap(CHM)是日常开发中使用频率非常高的一种数据结构,想对于普通的HashMap,CHM提供了线程安全的读写,CHM里面使用了许多比较精妙的优化&操作。本文主要对CHM的整体结构、初始化,查找,插入等做分析。
CHM在1.8之前和之后有比较大的变动,1.8之前主要通过Segment 分段锁 来解决并发问题,1.8及之后就没有这些臃肿的数据结构了,其数据结构与普通的HashMap一样,都是Node数组+链表+红黑树
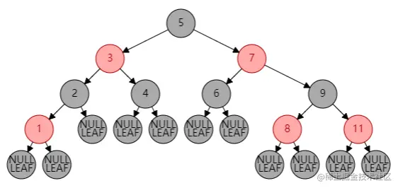
一颗红黑树应满足如下性质:
根节点是黑色的
外部节点均为黑色(图中的 leaf 节点,通常在表述的时候会省略)
红色节点的孩子节点必为黑色(通常插入的节点为红色)
从任一外部节点到根节点的沿途,黑节点的数目相等
除了上面基本的数据结构之外,Node节点也是一个需要关心的数据结构,Node节点本质上是单向链表的节点,其中包含key、value、Hash、next属性
staticclassNode<K,V> implementsMap.Entry<K,V> {
finalint hash;
final K key;
volatile V val;
volatile Node<K,V> next;
}
复制代码
ForwardingNode节点
ForwardingNode节点(简称fwd节点)继承自Node节点,主要用于扩容,该节点里面固定Hash值为MOVED(值为-1),同时持有新表的引用
staticfinalclassForwardingNode<K,V> extendsNode<K,V> {
final Node<K,V>[] nextTable;
ForwardingNode(Node<K,V>[] tab) {
super(MOVED, null, null, null);
this.nextTable = tab;
}
Node<K,V> find(int h, Object k) {
...
}
}
复制代码
TreeNode
TreeNode节点也继承自Node节点,用于表示红黑树上的节点,主要属性如下所示
staticfinalclassTreeNode<K,V> extendsNode<K,V> {
TreeNode<K,V> parent; // 父节点
TreeNode<K,V> left; // 左儿子
TreeNode<K,V> right; // 右儿子
TreeNode<K,V> prev; // 记录前驱节点,用于恢复链表boolean red;
}
复制代码
TreeBin
TreeBin节点内部持有TreeNode节点的引用,内部实现了读写锁用于控制多线程并发在红黑树上的操作,主要属性如下所示
staticfinalclassTreeBin<K,V> extendsNode<K,V> {
TreeNode<K,V> root; // 红黑树根节点volatile TreeNode<K,V> first; // 链表根节点,读写分离时会用到volatile Thread waiter; // 当前线程volatileint lockState; // 当前红黑树的锁状态// values for lockStatestaticfinalintWRITER=1; // set while holding write lockstaticfinalintWAITER=2; // set when waiting for write lockstaticfinalintREADER=4; // 读锁标记
}
复制代码
SizeCtl
除了数据结构需要说明外,SizeCtl也是理解CHM十分重要的一个字段,他是一个整数,不同的值表示不同的状态
当SizeCtl > 0时,表示下次扩展的阈值,其中阈值计算方式:数组长度 * 扩展阈值(注意这里是固定的0.75)
当SizeCtl = 0时,表示还没有开始初始化
当sizeCtl = -1是,表示此时正在进行初始化
当SizeCtl < -1时,表示此时正在进行扩展,其中高16位表示扩容标识戳,低16位表示参与扩容的线程数+1
初始化
CHM的初始化是惰性初始化的,即当我们使用ConCurrentHashMap<String,string> map = new ConcurrentHashMap(20);创建一个CHM对象时,并不会真正的创建对象,而是只有在put时才会真正开始创建对象。
publicConcurrentHashMap(int initialCapacity) {
// 只是检查参数是否合理,并设置好数组容量和扩容阈值if (initialCapacity < 0)
thrownewIllegalArgumentException();
intcap= ((initialCapacity >= (MAXIMUM_CAPACITY >>> 1)) ?
MAXIMUM_CAPACITY :
tableSizeFor(initialCapacity + (initialCapacity >>> 1) + 1));
this.sizeCtl = cap;
}
复制代码
初始化流程
privatefinal Node<K,V>[] initTable() {
Node<K,V>[] tab; int sc;
// 判空,注意这里是while,当线程苏醒后会记性检查直到初始化完毕while ((tab = table) == null || tab.length == 0) {
// 如果其他线程正在初始化,则让出cpuif ((sc = sizeCtl) < 0)
Thread.yield(); // lost initialization race; just spinelseif (U.compareAndSwapInt(this, SIZECTL, sc, -1)) { // 当前线程尝试获取创建数组的重任try {
// 这里需要再进行判断是否为空,防止当前线程创建完毕后又有其他线程进来重复创建if ((tab = table) == null || tab.length == 0) {
intn= (sc > 0) ? sc : DEFAULT_CAPACITY;
@SuppressWarnings("unchecked")
Node<K,V>[] nt = (Node<K,V>[])newNode<?,?>[n];
table = tab = nt;
// 设置阈值为0.75n
sc = n - (n >>> 2);
}
} finally {
sizeCtl = sc;
}
break;
}
}
return tab;
}
复制代码
查找
get方法进行查找,针对不同情况有不同处理
public V get(Object key) {
Node<K,V>[] tab; Node<K,V> e, p; int n, eh; K ek;
// 扰动运算inth= spread(key.hashCode());
// 判断表是否为空,表长度是否为0,以及元素对应下标是否为空if ((tab = table) != null && (n = tab.length) > 0 &&
(e = tabAt(tab, (n - 1) & h)) != null) {
// 判断当前下边下是否是我们要找到值if ((eh = e.hash) == h) {
if ((ek = e.key) == key || (ek != null && key.equals(ek)))
return e.val;
}
elseif (eh < 0) // 判断Node节点的Hash值是否小于0,如果小于0的话,则会在他的子类上进行查找//这里情况比较复杂,不同的节点有不同的处理,如果当前节点为fwd节点,则去新表上找,如果为红黑树//节点,则在红黑树上进行查找,后文会展开红黑树上的查找流程return (p = e.find(h, key)) != null ? p.val : null;
// 普通链表查找while ((e = e.next) != null) {
if (e.hash == h &&
((ek = e.key) == key || (ek != null && key.equals(ek))))
return e.val;
}
}
returnnull;
}
复制代码
插入
final V putVal(K key, V value, boolean onlyIfAbsent) {
if (key == null || value == null) thrownewNullPointerException();
inthash= spread(key.hashCode());
intbinCount=0;
for (Node<K,V>[] tab = table;;) { // 注意这里是个死循环
Node<K,V> f; int n, i, fh;
// 判断是否初始化if (tab == null || (n = tab.length) == 0)
tab = initTable();
elseif ((f = tabAt(tab, i = (n - 1) & hash)) == null) { // 判断对应节点是否是空节点,如果是//直接通过cas创建节点if (casTabAt(tab, i, null,
newNode<K,V>(hash, key, value, null)))
break; // no lock when adding to empty bin
}
elseif ((fh = f.hash) == MOVED) // 如果当前节点是fwd节点(正在扩容),则帮助扩容
tab = helpTransfer(tab, f);
else {
VoldVal=null;
synchronized (f) { // 这里加锁if (tabAt(tab, i) == f) { // 这里需要继续判断是否当前位置的节点没有变化,因为其他线程可能// 改变此节点if (fh >= 0) { // fh >= 0表示当前节点是链表节点,直接next往下找就行
binCount = 1;
for (Node<K,V> e = f;; ++binCount) {
K ek;
if (e.hash == hash &&
((ek = e.key) == key ||
(ek != null && key.equals(ek)))) {
oldVal = e.val;
if (!onlyIfAbsent)
e.val = value;
break;
}
Node<K,V> pred = e;
if ((e = e.next) == null) {
pred.next = newNode<K,V>(hash, key,
value, null);
break;
}
}
}
elseif (f instanceof TreeBin) { // 如果此时节点是TreeBin节点,则需要再红黑树上进行插入,具体// 插入流程后文展开
Node<K,V> p;
binCount = 2;
if ((p = ((TreeBin<K,V>)f).putTreeVal(hash, key,
value)) != null) {
oldVal = p.val;
if (!onlyIfAbsent)
p.val = value;
}
}
}
}
// 判断是否需要树化if (binCount != 0) {
if (binCount >= TREEIFY_THRESHOLD)
treeifyBin(tab, i);
if (oldVal != null)
return oldVal;
break;
}
}
}
// 计数器加1,这里使用了计数器而不是AtomicLong这种
addCount(1L, binCount);
returnnull;
}
复制代码
扩容
CHM的扩容利用了多线程并发的去扩容
CHM在两种条件下会发生扩容:
单个链表长度大于8,并且数组长度小于64时,会发生扩容
元素个数超过阈值会发生扩容
扩容流程:
创建新的Node表,长度为当前数组长度的两倍
从后往前分配任务区间,最小长度是16,即每个线程每次扩容最少需要迁移16个桶,具体迁移数量由cpu核数决定
判断当前元素是否为空,为空直接cas操作当前节点为fwd节点,否则判断当前元素是否为fwd节点,如果是,则说明其他线程再次区间扩容,此时需要重新选定区间,否则就对当前桶开始进行迁移
其他元素在put时如果发现当前桶位是fwd节点,会先协助扩容再put
最后一个扩容线程退出扩容时再次检查一遍旧桶,更新sizeCtl的值,同时引用新桶
privatefinalvoidtransfer(Node<K,V>[] tab, Node<K,V>[] nextTab) {
intn= tab.length, stride;
// 确定任务长度if ((stride = (NCPU > 1) ? (n >>> 3) / NCPU : n) < MIN_TRANSFER_STRIDE)
stride = MIN_TRANSFER_STRIDE; // subdivide rangeif (nextTab == null) { // 第一个扩容的线程需要创建新数组try {
@SuppressWarnings("unchecked")
Node<K,V>[] nt = (Node<K,V>[])newNode<?,?>[n << 1];
nextTab = nt;
} catch (Throwable ex) { // try to cope with OOME
sizeCtl = Integer.MAX_VALUE;
return;
}
nextTable = nextTab;
transferIndex = n;
}
intnextn= nextTab.length;
ForwardingNode<K,V> fwd = newForwardingNode<K,V>(nextTab);
booleanadvance=true;
booleanfinishing=false; // 用于最后一次检查for (inti=0, bound = 0;;) {
Node<K,V> f; int fh;
while (advance) {
int nextIndex, nextBound;
if (--i >= bound || finishing) //当前任务是否完成
advance = false;
elseif ((nextIndex = transferIndex) <= 0) { // 没有任务了
i = -1;
advance = false;
}
elseif (U.compareAndSwapInt
(this, TRANSFERINDEX, nextIndex,
nextBound = (nextIndex > stride ?
nextIndex - stride : 0))) { //cas更新transferIndex
bound = nextBound;
i = nextIndex - 1;
advance = false;
}
}
if (i < 0 || i >= n || i + n >= nextn) { // 扩容完毕int sc;
if (finishing) { // 二次检查后引用新表
nextTable = null;
table = nextTab;
sizeCtl = (n << 1) - (n >>> 1);
return;
}
if (U.compareAndSwapInt(this, SIZECTL, sc = sizeCtl, sc - 1)) {
if ((sc - 2) != resizeStamp(n) << RESIZE_STAMP_SHIFT)
return;
finishing = advance = true;
i = n; // recheck before commit
}
}
elseif ((f = tabAt(tab, i)) == null) // 当前节点为空,直接赋为fwd
advance = casTabAt(tab, i, null, fwd);
elseif ((fh = f.hash) == MOVED) // 其他线程已经迁移好了,此时需要重新分配区间
advance = true; // already processedelse {
synchronized (f) { //当前节点开始迁移,这里需要加锁,可能会有读写操作if (tabAt(tab, i) == f) {
Node<K,V> ln, hn;
if (fh >= 0) { //链表节点 这里只需要判断对应位置是0还是1就可决定迁移到高桶位还是低桶位intrunBit= fh & n;
Node<K,V> lastRun = f;
for (Node<K,V> p = f.next; p != null; p = p.next) {
intb= p.hash & n;
if (b != runBit) {
runBit = b;
lastRun = p;
}
}
if (runBit == 0) {
ln = lastRun;
hn = null;
}
else {
hn = lastRun;
ln = null;
}
for (Node<K,V> p = f; p != lastRun; p = p.next) {
intph= p.hash; Kpk= p.key; Vpv= p.val;
if ((ph & n) == 0)
ln = newNode<K,V>(ph, pk, pv, ln);
else
hn = newNode<K,V>(ph, pk, pv, hn);
}
setTabAt(nextTab, i, ln);
setTabAt(nextTab, i + n, hn);
setTabAt(tab, i, fwd);
advance = true;
}
elseif (f instanceof TreeBin) { // 红黑树节点,通过判断对应位是否为0决定放到高// 桶位还是低桶位
TreeBin<K,V> t = (TreeBin<K,V>)f;
TreeNode<K,V> lo = null, loTail = null;
TreeNode<K,V> hi = null, hiTail = null;
intlc=0, hc = 0;
for (Node<K,V> e = t.first; e != null; e = e.next) {
inth= e.hash;
TreeNode<K,V> p = newTreeNode<K,V>
(h, e.key, e.val, null, null);
if ((h & n) == 0) {
if ((p.prev = loTail) == null)
lo = p;
else
loTail.next = p;
loTail = p;
++lc;
}
else {
if ((p.prev = hiTail) == null)
hi = p;
else
hiTail.next = p;
hiTail = p;
++hc;
}
}
ln = (lc <= UNTREEIFY_THRESHOLD) ? untreeify(lo) :
(hc != 0) ? newTreeBin<K,V>(lo) : t;
hn = (hc <= UNTREEIFY_THRESHOLD) ? untreeify(hi) :
(lc != 0) ? newTreeBin<K,V>(hi) : t;
setTabAt(nextTab, i, ln);
setTabAt(nextTab, i + n, hn);
setTabAt(tab, i, fwd);
advance = true;
}
}
}
}
}
}
复制代码
红黑树的读&写
红黑树上的读写操作是基于TreeBin进行的,上文也对其进行了说明。TreeBin其中的lockState表示当前的读写状态
读操作
读操作和写操作可可以是并行的,当有现成正在写或者正在等待写时,读线程可以读,通过代码我们可以发现,此时并没有从红黑树上去读,而是通过链表去读了,这里和IO多路复用里面的epoll函数的底层原理一样。
final Node<K,V> find(int h, Object k) {
if (k != null) {
for (Node<K,V> e = first; e != null; ) {
int s; K ek;
// WAITER : .....010// WRITER : .....001// READER : .....100if (((s = lockState) & (WAITER|WRITER)) != 0) { //这里表明此时有正在写或者等待写的线程,直接从链表读if (e.hash == h &&
((ek = e.key) == k || (ek != null && k.equals(ek))))
return e;
e = e.next;
}
elseif (U.compareAndSwapInt(this, LOCKSTATE, s, // 表明此时处于无锁或者读锁状态,直接红黑树上查找
s + READER)) {
TreeNode<K,V> r, p;
try {
p = ((r = root) == null ? null :
r.findTreeNode(h, k, null));
} finally {
Thread w;
// 读操作完毕后检查是否有写线程在等待,如果有,需要唤醒等待线程// READER|WAITER 表示此时是最后一个读线程if (U.getAndAddInt(this, LOCKSTATE, -READER) ==
(READER|WAITER) && (w = waiter) != null)
LockSupport.unpark(w);
}
return p;
}
}
}
returnnull;
}
复制代码
写操作
红黑树上的写会先查找是否有对应的值,如果有,则更新值即可,如果没有找到,则插入新的节点,再插入节点的过程中,会调用lockRoot加写锁,如果没有抢到锁,则会调用contentLock方法继续尝试或者将自己挂起
final TreeNode<K,V> putTreeVal(int h, K k, V v) {
Class<?> kc = null;
booleansearched=false;
for (TreeNode<K,V> p = root;;) {
// 查找是否有值int dir, ph; K pk;
if (p == null) {
first = root = newTreeNode<K,V>(h, k, v, null, null);
break;
}
elseif ((ph = p.hash) > h)
dir = -1;
elseif (ph < h)
dir = 1;
elseif ((pk = p.key) == k || (pk != null && k.equals(pk)))
return p;
elseif ((kc == null &&
(kc = comparableClassFor(k)) == null) ||
(dir = compareComparables(kc, k, pk)) == 0) {
if (!searched) {
TreeNode<K,V> q, ch;
searched = true;
if (((ch = p.left) != null &&
(q = ch.findTreeNode(h, k, kc)) != null) ||
((ch = p.right) != null &&
(q = ch.findTreeNode(h, k, kc)) != null))
return q;
}
dir = tieBreakOrder(k, pk);
}
TreeNode<K,V> xp = p;
if ((p = (dir <= 0) ? p.left : p.right) == null) {
TreeNode<K,V> x, f = first;
first = x = newTreeNode<K,V>(h, k, v, f, xp);
if (f != null)
f.prev = x;
if (dir <= 0)
xp.left = x;
else
xp.right = x;
if (!xp.red)
x.red = true;
else {
// 锁住节点,平衡操作可能会导致树结构发生变化
lockRoot();
try {
root = balanceInsertion(root, x);
} finally {
unlockRoot();
}
}
break;
}
}
assertcheckInvariants(root);
returnnull;
}
复制代码
privatefinalvoidlockRoot() {
// 这里尝试去获取写锁,获取不到就调用contenedLock方法if (!U.compareAndSwapInt(this, LOCKSTATE, 0, WRITER))
contendedLock(); // offload to separate method
}
privatefinalvoidcontendedLock() {
booleanwaiting=false;
for (int s;;) {
// ~WAITER 1111111101// 如果此时处于无锁,则重新获取锁if (((s = lockState) & ~WAITER) == 0) {
if (U.compareAndSwapInt(this, LOCKSTATE, s, WRITER)) {
if (waiting)
waiter = null;
return;
}
} // 此时不是处于waiter状态,即其他线程没有等待,则自己进行等待。如果已经有线程在等待了,会一直自旋,也可看出这里是非公平锁elseif ((s & WAITER) == 0) {
if (U.compareAndSwapInt(this, LOCKSTATE, s, s | WAITER)) {
waiting = true;
waiter = Thread.currentThread();
}
}
elseif (waiting) // 将当前线程挂起
LockSupport.park(this);
}
}
复制代码
小结
在红黑树上进行读写时,我们可以发现,当有线程在树上写时,读线程是可以读的,不过不是从红黑树上去读,而不用阻塞,这里可能导致短暂的数据不一致的问题,类似于COW;当有线程在树上读时,此时写线程会将自己挂起,当最后一个读线程查找完毕后会检查是否有些线程在等待,如果有,则唤醒等待写的线程
容器计数
对于一个并发容器来说,当多线程同时写入时,此时容器如何计数成为了一个问题,最简单的是通过AtomicLong来保证原子性与可见性,但是在多线程情况下绝大多数线程会cas失败,然后重试。这无疑是浪费cpu性能的且会有性能瓶颈的。在CHM中引入了,使用分段计数思想,即通过一个数组来计数,当多线程并发计数时,记在数组的不同位置上,最后进行统计。
publicintsize() {
longn= sumCount();
return ((n < 0L) ? 0 :
(n > (long)Integer.MAX_VALUE) ? Integer.MAX_VALUE :
(int)n);
}
finallongsumCount() {
CounterCell[] as = counterCells; CounterCell a;
longsum= baseCount;
if (as != null) {
// 累计cells数组for (inti=0; i < as.length; ++i) {
if ((a = as[i]) != null)
sum += a.value;
}
}
return sum;
}
// 计数privatefinalvoidaddCount(long x, int check) {
CounterCell[] as; long b, s;
// 如果cells数组不为空或者cas操作baseCount失败,说明此时出现了竞争,需要再cells数组上计数if ((as = counterCells) != null ||
!U.compareAndSwapLong(this, BASECOUNT, b = baseCount, s = b + x)) {
CounterCell a; long v; int m;
booleanuncontended=true;
if (as == null || (m = as.length - 1) < 0 ||
(a = as[ThreadLocalRandom.getProbe() & m]) == null ||
!(uncontended =
U.compareAndSwapLong(a, CELLVALUE, v = a.value, v + x))) {
fullAddCount(x, uncontended);
return;
}
if (check <= 1)
return;
s = sumCount();
}
// 判断是否需要扩容if (check >= 0) {
Node<K,V>[] tab, nt; int n, sc;
while (s >= (long)(sc = sizeCtl) && (tab = table) != null &&
(n = tab.length) < MAXIMUM_CAPACITY) {
intrs= resizeStamp(n);
if (sc < 0) {
if ((sc >>> RESIZE_STAMP_SHIFT) != rs || sc == rs + 1 ||
sc == rs + MAX_RESIZERS || (nt = nextTable) == null ||
transferIndex <= 0)
break;
if (U.compareAndSwapInt(this, SIZECTL, sc, sc + 1))
transfer(tab, nt);
}
elseif (U.compareAndSwapInt(this, SIZECTL, sc,
(rs << RESIZE_STAMP_SHIFT) + 2))
transfer(tab, null);
s = sumCount();
}
}
}
复制代码
总结
CHM作为线程安全的Map,同时又要兼顾性能,使用了许多巧妙的设计与思想,如位运算,红黑树,无锁并发等等,里面的思想值得我们去学习和借鉴。本篇文章对其进行简单的解读,如有不当之处,还望指出,万分感谢。
作者:code_writer
本文详细分析了Java的ConcurrentHashMap的内部结构,包括1.8之前的Segment分段锁和1.8及之后的无锁实现。重点讨论了Node、ForwardingNode、TreeNode等节点类型,以及红黑树的读写操作。此外,还介绍了CHM的初始化、查找、插入过程和扩容机制,展示了其在并发环境下的高效性和安全性。
602

被折叠的 条评论
为什么被折叠?



