今天给大家讲解的时粒子群算法,首先先牢记以下的基本公式:

1.简单的来讲,粒子群算法是这个样子,当你在一个全解的范围内,想要去找最优解,可以先派出像四面八方而去的小兵去搜索,他们向四面八方去探索时在坚守自己本身的航线的同时,会通过自身之前所找到的一些局部最优解轨迹和全局最优解即其他所有小兵找到的最优解的最最优解来修正自身轨迹,最终所有小兵都会聚集在全局最优解周围。
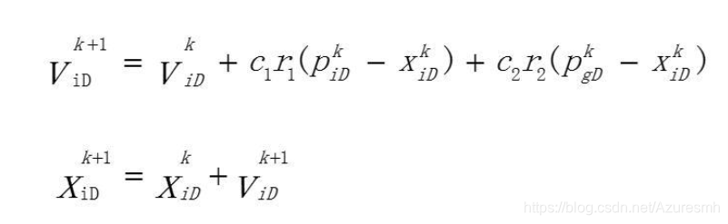
–因此我们就可以看到在这个式子里面分为这么几个部分
Ⅰ:他本身的航线
Ⅱ:他历史所走过的找到的局部最优解
叁:其它包括它本身找到的最优的解
其中Ⅰ主要代表他对于整个解的空间的探索能力,防止他不会因为一些局部最优的情况下就停止探寻,因此也常引入状态变量W来,一般W取0.8~1.2之间,当W>1.2时容易陷入局部最优值。因此可以对其进行动态调整。让w随着时间的变化而产生变化,在不同的时候给他不同的收敛值。

Tmax最大迭代代数,wmax=0.9 wmin=0.4 t当前迭代次数
粒子群算法-讲解+实例
最新推荐文章于 2024-09-09 07:00:00 发布
本文讲解粒子群算法,该算法在全解范围内找最优解,小兵搜索时结合自身局部最优解和全局最优解修正轨迹。式子包含本身航线、历史局部最优解、全局最优解。为防止陷入局部最优,引入状态变量W,可动态调整,给出了相关参数。

2687

被折叠的 条评论
为什么被折叠?



