1. Java定义链表
public class ListNode{
int val;
ListNode next;
// 节点的构造函数(无参)
public ListNode(){}
// 节点的构造函数(有一个参数)
public ListNode(int val){this.val = val;}
// 节点的构造函数(有两个参数)
public ListNode(int val, ListNode Next){
this.val = val;
this.next = next;
}
}
2.题目
参考:代码随想录
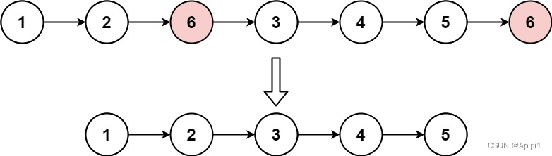
203. 移除链表元素
题目描述:
给你一个链表的头节点 head 和一个整数 val ,请你删除链表中所有满足 Node.val == val 的节点,并返回 新的头节点 。

思路:设置虚拟头节点,使得删除头节点的操作和删除后序节点的操作是一样的,不需要特殊处理。
Java代码:
class Solution {
public ListNode removeElements(ListNode head, int val) {
if(head == null){
return head;
}
//设置虚拟头节点,保证移除head的操作和移除后序节点的操作是一样的
ListNode dummy = new ListNode(0);
dummy.next = head;
ListNode cur = head;
ListNode pre = dummy;
while(cur != null){
if(cur.val == val){
pre.next = cur.next;
}else{
pre = cur;
}
cur = cur.next;
}
return dummy.next;
}
}
707. 设计链表
题目描述:
你可以选择使用单链表或者双链表,设计并实现自己的链表。
单链表中的节点应该具备两个属性:val 和 next 。val 是当前节点的值,next 是指向下一个节点的指针/引用。
如果是双向链表,则还需要属性 prev 以指示链表中的上一个节点。假设链表中的所有节点下标从 0 开始。
实现 MyLinkedList 类:
MyLinkedList() 初始化 MyLinkedList 对象。
int get(int index) 获取链表中下标为 index 的节点的值。如果下标无效,则返回 -1 。
void addAtHead(int val) 将一个值为 val 的节点插入到链表中第一个元素之前。在插入完成后,新节点会成为链表的第一个节点。
void addAtTail(int val) 将一个值为 val 的节点追加到链表中作为链表的最后一个元素。
void addAtIndex(int index, int val) 将一个值为 val 的节点插入到链表中下标为 index 的节点之前。如果 index 等于链表的长度,那么该节点会被追加到链表的末尾。如果 index 比长度更大,该节点将 不会插入 到链表中。
void deleteAtIndex(int index) 如果下标有效,则删除链表中下标为 index 的节点。
注意点: 注意细节,在MyLinkedList的class中就设置虚拟头节点,之后所有的操作都建立在虚拟头节点上。
Java代码:
public class ListNode{
int val;
ListNode next;
public ListNode(){}
public ListNode(int val){this.val = val;}
public ListNode(int val, ListNode next){
this.val = val;
this.next = next;
}
}
class MyLinkedList{
int size;
//虚拟头节点
ListNode head;
public MyLinkedList(){
size = 0;
head = new ListNode(0);
}
//get
public int get(int index){
if(index < 0 || index > size - 1){
return -1;
}
int count = 0;
ListNode node = head;
while(node != null){
if(count == index + 1){
return node.val;
}
node = node.next;
count++;
}
return -1;
}
//add at head
public void addAtHead(int val){
addAtIndex(0, val);
}
//add at tail
public void addAtTail(int val){
addAtIndex(size, val);
}
public void addAtIndex(int index, int val){
if(index < 0){
index = 0;
}
if(index > size){
return ;
}
int count = 0;
ListNode node = head;
while(node != null){
if(count == index){
ListNode newNode = new ListNode(val);
newNode.next = node.next;
node.next = newNode;
size++;
return ;
}
node = node.next;
count++;
}
return ;
}
public void deleteAtIndex(int index){
if(index < 0 || index > size-1){
return ;
}
if(index == 0){
head = head.next;
return ;
}
ListNode pre = head;
int count = 0;
while(pre != null){
if(count == index){
pre.next = pre.next.next;
size--;
return;
}
pre = pre.next;
count++;
}
return ;
}
}
本文介绍了如何在Java中定义链表节点,并提供了移除链表元素的解决方案。此外,还讨论了设计链表的题目,包括添加、删除和获取链表元素的方法。
1682

被折叠的 条评论
为什么被折叠?



