https://kexue.fm/sci/integral/
《积分公式大全》网络版本——By BoJone
引用原作者的话:
-
本附件所有公式来自《高等数学第三版》。
该书信息:同济大学数学教研室编,高等教育出版社,1988年4月第三版,ISBN 7-04-000894-7/O.344 -
尽管tex文件制作者对所有公式进行了仔细的校对,但制作者不保证所有公式的正确性,对由使用这些公式造成的任何损失均不承担责任。
-
tex文件制作者:liangbch. tex文件最后更新日期:2008-4-2,本文在2008-4-3首发于数学研发论坛。
为了方便各位读者查阅,科学空间BoJone特意制作了这个积分公式表的电子版本。其中,数学公式采用MathJax技术显示。
原著的具体说明和下载,请点击:https://kexue.fm/archives/354/
目录
一 含有ax+b的积分
二 含有ax+b−−−−−√ 的积分
三 含有x2±a 的积分
四 含有ax2+b 的积分
五 含有ax2+bx+c 的积分
六 含有x2+a2−−−−−−√(a>0) 的积分
七 含有x2−a2−−−−−−√(a>0) 的积分
八 含有a2−x2−−−−−−√(a>0) 的积分
九 含有 ±ax2+bx+c−−−−−−−−−−−√(a>0)的积分
十 含有 ±x−ax+a−−−−−√ 或者 (x−a)(b−x)−−−−−−−−−−−√的积分
十一 含有三角函数函数的积分
十二 含有反三角函数的积分(其中a>0)
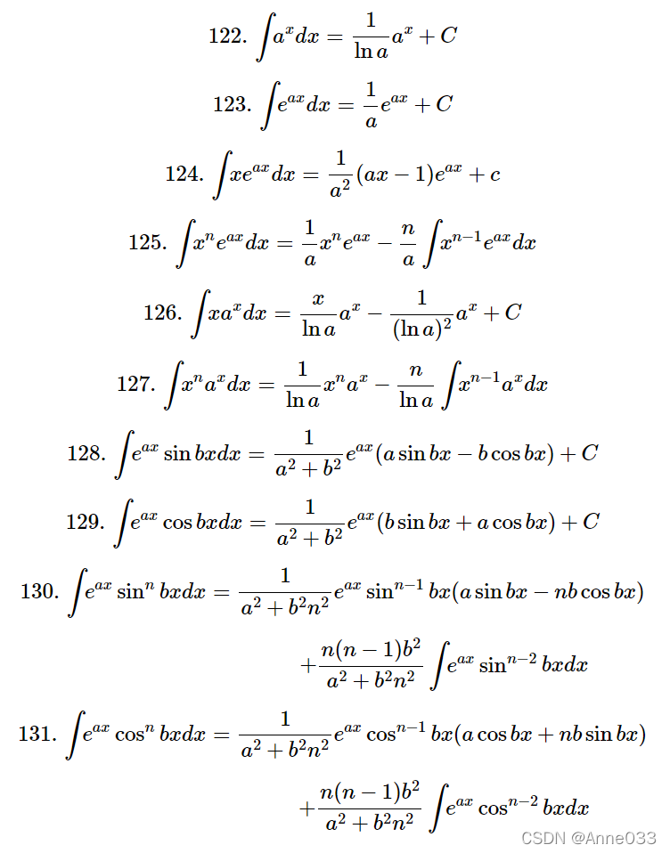
十三 含有指数函数的积分
十四 含有对数函数的积分
十五 含有双曲函数的积分
十六 定积分
十三 含有指数函数的积分

21万+

被折叠的 条评论
为什么被折叠?



