在这样的铜三铁四一个存量市场,前端竞争也在无形中“卷”了起来
缺乏算法思维,又如何在大厂、中厂脱影而出呢??
算法感兴趣的倔友可以看下面写的专栏
一、旋转数组
题目
定义一个函数,实现数组的旋转。如输入 [1, 2, 3, 4, 5, 6, 7] 和 key = 3, 输出 [5, 6, 7, 1, 2, 3, 4]
考虑时间复杂度和性能
实现思路
思路1
- 将
k后面的元素,挨个pop然后unshift到数组前面
思路2
- 将
k后面的所有元素拿出来作为part1 - 将
k前面的所有元素拿出来作为part2 - 返回
part1.concat(part2)
写代码
/**
* 旋转数组 k 步 - 使用 pop 和 unshift
* @param arr arr
* @param k k
* @returns arr
*/
export function rotate1(arr: number[], k: number): number[] {
const length = arr.length
if (!k || length === 0) return arr
const step = Math.abs(k % length) // abs 取绝对值
// O(n^2)
for (let i = 0; i < step; i++) {
const n = arr.pop()
if (n != null) {
arr.unshift(n) // 数组是一个有序结构,unshift 操作非常慢!!! O(n)
}
}
return arr
}
/**
* 旋转数组 k 步 - 使用 concat
* @param arr arr
* @param k k
*/
export function rotate2(arr: number[], k: number): number[] {
const length = arr.length
if (!k || length === 0) return arr
const step = Math.abs(k % length) // abs 取绝对值
// O(1)
const part1 = arr.slice(-step) // O(1)
const part2 = arr.slice(0, length - step)
const part3 = part1.concat(part2)
return part3
}
// // 功能测试
// const arr = [1, 2, 3, 4, 5, 6, 7]
// const arr1 = rotate2(arr, 3)
// console.info(arr1)
// // 性能测试
// const arr1 = []
// for (let i = 0; i < 10 * 10000; i++) {
// arr1.push(i)
// }
// console.time('rotate1')
// rotate1(arr1, 9 * 10000)
// console.timeEnd('rotate1') // 885ms O(n^2)
// const arr2 = []
// for (let i = 0; i < 10 * 10000; i++) {
// arr2.push(i)
// }
// console.time('rotate2')
// rotate2(arr2, 9 * 10000)
// console.timeEnd('rotate2') // 1ms O(1)
经过性能测试,知道“思路2”性能更优。看来,思路简单并不一定性能最优。
答案
整体分析,选择“思路2”
划重点
- 考虑参数非法情况,代码鲁棒性
- 算法复杂度
- 要看到全部的时间复杂度(包括 API)
- 重时间,轻空间
- 数组是有序结构,
shiftunshift等要慎用 - 单元测试
扩展 - 不要过度优化
其实还有一种思路,时间复杂度 O(n) ,空间复杂度 O(1) ,思路:
- k 前面的元素移动到
i + (length - k)的位置 - k 后面的元素移动到
i - k的位置
但不推荐这样的做法
- 前端重时间、轻空间,优先考虑时间复杂度,而非空间复杂度
- 代码是否易读,是否易沟通 —— 这个比性能更重要!人力成本永远是最贵的!!
二、括号匹配
题目
一个字符串内部可能包含 { } ( ) [ ] 三种括号,判断该字符串是否是括号匹配的。
如 (a{b}c) 就是匹配的, {a(b 和 {a(b}c) 就是不匹配的。
栈 Stack
栈,先进后出,基本的 API
- push
- pop
- length
和栈相关的数据结构(后面讲)
- 队列,先进先出
- 堆,如常说的“堆栈模型”
逻辑结构和物理结构
栈和数组有什么区别?—— 没有可比性,两者不一个级别。就像:房子和石头有什么区别?
栈是一种逻辑结构,一种理论模型,它可以脱离编程语言单独讲。
数组是一种物理结构,代码的实现,不同的语言,数组语法是不一样的。
栈可以用数组来表达,也可以用链表来表达,也可以自定义 class MyStack {...} 自己实现…
在 JS 中,栈一般情况下用数组实现。
思路
- 遇到左括号
{ ( [则压栈 - 遇到右括号
} ) ]则判断栈顶,相同的则出栈 - 最后判断栈 length 是否为 0
答案
/**
* 判断左右括号是否匹配
* @param left 左括号
* @param right 右括号
*/
function isMatch(left: string, right: string): boolean {
if (left === '{' && right === '}') return true
if (left === '[' && right === ']') return true
if (left === '(' && right === ')') return true
return false
}
/**
* 判断是否括号匹配
* @param str str
*/
export function matchBracket(str: string): boolean {
const length = str.length
if (length === 0) return true
const stack = []
const leftSymbols = '{[('
const rightSymbols = '}])'
for (let i = 0; i < length; i++) {
const s = str[i]
if (leftSymbols.includes(s)) {
// 左括号,压栈
stack.push(s)
} else if (rightSymbols.includes(s)) {
// 右括号,判断栈顶(是否出栈)
const top = stack[stack.length - 1]
if (isMatch(top, s)) {
stack.pop()
} else {
return false
}
}
}
return stack.length === 0
}
// // 功能测试
// const str = '{a(b[c]d)e}f'
// console.info(123123, matchBracket(str))
划重点
- 栈
- 逻辑结构和物理结构
三、用两个栈实现一个队列
题目
请用两个栈,来实现队列的功能,实现功能 add delete length 。
队列 Queue
栈,先进后出
队列,先进先出,API 包括
- add
- delete
- length
常见的“消息队列”就是队列的一种应用场景
- A 系统向 B 系统持续发送海量的消息
- A 系统先把一条一条消息放在一个 queue
- B 系统再从 queue 中逐条消费(按顺序,先进先出)
逻辑结构和物理结构
队列和栈一样,是一种逻辑结构。它可以用数组、链表等实现。
思考:用数组实现队列,性能会怎样 —— add 怎样?delete 怎样?
复杂场景下(如海量数据,内存不够用)需要单独设计。
题目分析
可画图分析:参考视频讲解
- 队列 add
- 往 stack1 push 元素
- 队列 delete
- 将 stack1 所有元素 pop 出来,push 到 stack2
- 将 stack2 执行一次 pop
- 再将 stack2 所有元素 pop 出来,push 进 stack1
答案
/**
* @description 两个栈 - 一个队列
*/
export class MyQueue {
private stack1: number[] = []
private stack2: number[] = []
/**
* 入队
* @param n n
*/
add(n: number) {
this.stack1.push(n)
}
/**
* 出队
*/
delete(): number | null {
let res
const stack1 = this.stack1
const stack2 = this.stack2
// 将 stack1 所有元素移动到 stack2 中
while(stack1.length) {
const n = stack1.pop()
if (n != null) {
stack2.push(n)
}
}
// stack2 pop
res = stack2.pop()
// 将 stack2 所有元素“还给”stack1
while(stack2.length) {
const n = stack2.pop()
if (n != null) {
stack1.push(n)
}
}
return res || null
}
get length(): number {
return this.stack1.length
}
}
// // 功能测试
// const q = new MyQueue()
// q.add(100)
// q.add(200)
// q.add(300)
// console.info(q.length)
// console.info(q.delete())
// console.info(q.length)
// console.info(q.delete())
// console.info(q.length)
划重点
- 队列
- 画图,帮助梳理解题思路
四、反转单向链表
题目
定义一个函数,输入一个单向链表的头节点,反转该链表,并输出反转之后的头节点
链表
链表是一种物理结构(非逻辑结构),是数组的补充。
数组需要一段连续的内存空间,而链表不需要。
数据结构
- 单向链表
{ value, next } - 双向链表
{ value, prev, next }
两者对比
- 链表:查询慢,新增和删除较快
- 数组:查询快,新增和删除较慢
应用场景
React Fiber 就把 vdom 树转换为一个链表,这样才有可能随时中断、再继续进行。
如果 vdom 是树,那只能递归一次性执行完成,中间无法断开。
分析
反转链表,画图很好理解。没有捷径,遍历一边,重新设置 next 指向即可。
但实际写代码,却并不简单,很容易造成 nextNode 丢失。
因此,遍历过程中,至少要存储 3 个指针 prevNode curNode nextNode
时间复杂度 O(n)
答案
/**
* @description 反转单向链表
*/
export interface ILinkListNode {
value: number
next?: ILinkListNode
}
/**
* 反转单向链表,并返回反转之后的 head node
* @param listNode list head node
*/
export function reverseLinkList(listNode: ILinkListNode): ILinkListNode {
// 定义三个指针
let prevNode: ILinkListNode | undefined = undefined
let curNode: ILinkListNode | undefined = undefined
let nextNode: ILinkListNode | undefined = listNode
// 以 nextNode 为主,遍历链表
while(nextNode) {
// 第一个元素,删掉 next ,防止循环引用
if (curNode && !prevNode) {
delete curNode.next
}
// 反转指针
if (curNode && prevNode) {
curNode.next = prevNode
}
// 整体向后移动指针
prevNode = curNode
curNode = nextNode
nextNode = nextNode?.next
}
// 最后一个的补充:当 nextNode 空时,此时 curNode 尚未设置 next
curNode!.next = prevNode
return curNode!
}
/**
* 根据数组创建单向链表
* @param arr number arr
*/
export function createLinkList(arr: number[]): ILinkListNode {
const length = arr.length
if (length === 0) throw new Error('arr is empty')
let curNode: ILinkListNode = {
value: arr[length - 1]
}
if (length === 1) return curNode
for (let i = length - 2; i >= 0; i--) {
curNode = {
value: arr[i],
next: curNode
}
}
return curNode
}
const arr = [100, 200, 300, 400, 500]
const list = createLinkList(arr)
console.info('list:', list)
const list1 = reverseLinkList(list)
console.info('list1:', list1)
划重点
- 链表
- 链表和数组的不同
- 内存占用
- 查询、新增、删除的效率
- 如何保证 nextNode 不丢失
扩展
思考:用数组和链表实现队列,哪个性能更好?
五、二分查找
题目
用 Javascript 实现二分查找(针对有序数组),说明它的时间复杂度
一个故事
N 年前,百度,一个复杂的后台系统出现了问题,因为太大找不到问题所在。 一个工程师,使用二分法,很快找到了问题原因。
无论多么大的数据量,一旦有了二分,便可快速搞定。
二分法,是算法的一个重要思维。
但二分法有一个条件:需要有序数据。
分析
二分查找是一种固定的算法,没什么可分析的。
两种实现思路
- 递归 - 代码逻辑更加简洁
- 循环 - 性能更好(就调用一次函数,而递归需要调用很多次函数,创建函数作用域会消耗时间)
时间复杂度 O(logn)
答案
/**
* @description 二分查找
*/
/**
* 二分查找(循环)
* @param arr arr
* @param target target
*/
export function binarySearch1(arr: number[], target: number): number {
const length = arr.length
if (length === 0) return -1
let startIndex = 0 // 开始位置
let endIndex = length - 1 // 结束位置
while (startIndex <= endIndex) {
const midIndex = Math.floor((startIndex + endIndex) / 2)
const midValue = arr[midIndex]
if (target < midValue) {
// 目标值较小,则继续在左侧查找
endIndex = midIndex - 1
} else if (target > midValue) {
// 目标值较大,则继续在右侧查找
startIndex = midIndex + 1
} else {
// 相等,返回
return midIndex
}
}
return -1
}
/**
* 二分查找(递归)
* @param arr arr
* @param target target
* @param startIndex start index
* @param endIndex end index
*/
export function binarySearch2(arr: number[], target: number, startIndex?: number, endIndex?: number): number {
const length = arr.length
if (length === 0) return -1
// 开始和结束的范围
if (startIndex == null) startIndex = 0
if (endIndex == null) endIndex = length - 1
// 如果 start 和 end 相遇,则结束
if (startIndex > endIndex) return -1
// 中间位置
const midIndex = Math.floor((startIndex + endIndex) / 2)
const midValue = arr[midIndex]
if (target < midValue) {
// 目标值较小,则继续在左侧查找
return binarySearch2(arr, target, startIndex, midIndex - 1)
} else if (target > midValue) {
// 目标值较大,则继续在右侧查找
return binarySearch2(arr, target, midIndex + 1, endIndex)
} else {
// 相等,返回
return midIndex
}
}
// // // 功能测试
// const arr = [10, 20, 30, 40, 50, 60, 70, 80, 90, 100, 110, 120]
// const target = 40
// // console.info(binarySearch2(arr, target))
// // 性能测试
// console.time('binarySearch1')
// for (let i = 0; i < 100 * 10000; i++) {
// binarySearch1(arr, target)
// }
// console.timeEnd('binarySearch1') // 17ms
// console.time('binarySearch2')
// for (let i = 0; i < 100 * 10000; i++) {
// binarySearch2(arr, target)
// }
// console.timeEnd('binarySearch2') // 34ms
划重点
- 有序,就一定要想到二分
- 二分的时间复杂度必定包含
O(logn)
六、两数之和
题目
输入一个递增的数字数组,和一个数字 n 。求和等于 n 的两个数字。
例如输入 [1, 2, 4, 7, 11, 15] 和 15 ,返回两个数 [4, 11]
分析
注意题目的要点
- 递增,从小打大排序
- 只需要两个数字,而不是多个
常规思路
嵌套循环,找个一个数,然后再遍历剩余的数,求和,判断。
时间复杂度 O(n^2) ,基本不可用。
利用递增的特性
数组是递增的
- 随便找两个数
- 如果和大于 n ,则需要向前寻找
- 如果和小于 n ,则需要向后寻找 —— 二分法
双指针(指针就是索引,如数组的 index)
- i 指向头,j 指向尾, 求 i + j 的和
- 和如果大于 n ,则说明需要减少,则 j 向前移动(递增特性)
- 和如果小于 n ,则说明需要增加,则 i 向后移动(递增特性)
时间复杂度降低到 O(n)
答案
/**
* @description 两数之和
*/
/**
* 寻找和为 n 的两个数(嵌套循环)
* @param arr arr
* @param n n
*/
export function findTowNumbers1(arr: number[], n: number): number[] {
const res: number[] = []
const length = arr.length
if (length === 0) return res
// O(n^2)
for (let i = 0; i < length - 1; i++) {
const n1 = arr[i]
let flag = false // 是否得到了结果
for (let j = i + 1; j < length; j++) {
const n2 = arr[j]
if (n1 + n2 === n) {
res.push(n1)
res.push(n2)
flag = true
break
}
}
if (flag) break
}
return res
}
/**
* 查找和为 n 的两个数(双指针)
* @param arr arr
* @param n n
*/
export function findTowNumbers2(arr: number[], n: number): number[] {
const res: number[] = []
const length = arr.length
if (length === 0) return res
let i = 0 // 头
let j = length - 1 // 尾
// O(n)
while (i < j) {
const n1 = arr[i]
const n2 = arr[j]
const sum = n1 + n2
if (sum > n) {
// sum 大于 n ,则 j 要向前移动
j--
} else if (sum < n) {
// sum 小于 n ,则 i 要向后移动
i++
} else {
// 相等
res.push(n1)
res.push(n2)
break
}
}
return res
}
// // 功能测试
const arr = [1, 2,1, 2,1, 2,1, 2,1, 2,1, 2,1, 2,1, 2,1, 2,1, 2,1, 2,1, 2,1, 2,1, 2, 4, 7, 11, 15]
// console.info(findTowNumbers2(arr, 15))
console.time('findTowNumbers1')
for (let i = 0; i < 100 * 10000; i++) {
findTowNumbers1(arr, 15)
}
console.timeEnd('findTowNumbers1') // 730ms
console.time('findTowNumbers2')
for (let i = 0; i < 100 * 10000; i++) {
findTowNumbers2(arr, 15)
}
console.timeEnd('findTowNumbers2') // 102
划重点
- 有序数据,要善用二分法
- 优化嵌套循环,可以考虑“双指针”
七、求二叉搜索树的第 K 小的值
题目
一个二叉搜索树,求其中的第 K 小的节点的值。

二叉树
树,大家应该都知道,如前端常见的 DOM 树、vdom 结构。
二叉树,顾名思义,就是每个节点最多能有两个子节点。
interface ITreeNode {
value: number // 或其他类型
left?: ITreeNode
right?: ITreeNode
}
二叉树的遍历
- 前序遍历:root -> left -> right
- 中序遍历:left -> root -> right
- 后序遍历:left -> right -> root
二叉搜索树 BST
- 左节点(包括其后代) <= 根节点
- 右节点(包括其后代) >= 根节点
思考:BST 存在的意义是什么?—— 后面解释
分析题目
根据 BST 的特点,中序遍历的结果,正好是按照从小到大排序的结果。
所以,中序遍历,求数组的 arr[k] 即可。
答案
/**
* @description 二叉搜索树
*/
export interface ITreeNode {
value: number
left: ITreeNode | null
right: ITreeNode | null
}
const arr: number[] = []
/**
* 二叉树前序遍历
* @param node tree node
*/
function preOrderTraverse(node: ITreeNode | null) {
if (node == null) return
// console.log(node.value)
arr.push(node.value)
preOrderTraverse(node.left)
preOrderTraverse(node.right)
}
/**
* 二叉树中序遍历
* @param node tree node
*/
function inOrderTraverse(node: ITreeNode | null) {
if (node == null) return
inOrderTraverse(node.left)
// console.log(node.value)
arr.push(node.value)
inOrderTraverse(node.right)
}
/**
* 二叉树后序遍历
* @param node tree node
*/
function postOrderTraverse(node: ITreeNode | null) {
if (node == null) return
postOrderTraverse(node.left)
postOrderTraverse(node.right)
// console.log(node.value)
arr.push(node.value)
}
/**
* 寻找 BST 里的第 K 小值
* @param node tree node
* @param k 第几个值
*/
export function getKthValue(node: ITreeNode, k: number): number | null {
inOrderTraverse(node)
return arr[k - 1] || null
}
const bst: ITreeNode = {
value: 5,
left: {
value: 3,
left: {
value: 2,
left: null,
right: null
},
right: {
value: 4,
left: null,
right: null,
}
},
right: {
value: 7,
left: {
value: 6,
left: null,
right: null
},
right: {
value: 8,
left: null,
right: null
}
}
}
// preOrderTraverse(bst)
// inOrderTraverse(bst)
// postOrderTraverse(bst)
console.log(getKthValue(bst, 3))
划重点
- 二叉搜索树的特点
- 前序、中序、后序遍历
八、为何二叉树重要
题目
为何二叉树那么重要,而不是三叉树、四叉树呢?
分析
树是常见的数据结构,如 DOM 树,是一种多叉树。
其中二叉树是一个特别的存在,很重要,很常考。
【注意】本文涉及很多数据结构的知识,所以要“不求甚解” —— 掌握要点和结果,不求细节和过程
如何让性能整体最优?
有序结构
- 数组:查找易,增删难
- 链表:增删易,查找难
将两者优点结合起来 —— 二叉搜索树 BST :查找易,增删易 —— 可使用二分算法
二叉搜索树 BST
- 左节点(包括其后代) <= 根节点
- 右节点(包括其后代) >= 根节点

高级二叉树
二叉搜索树 BST ,如果左右不平衡,也无法做到最优。
极端情况下,它就成了链表 —— 这不是我们想要的。
平衡二叉搜索树 BBST :要求树左右尽量平衡
- 树高度
h约等于logn - 查找、增删,时间复杂度都等于
O(logn)
红黑树:一种自动平衡的二叉树
- 节点分 红/黑 两种颜色,通过颜色转换来维持树的平衡
- 相比于普通平衡二叉树,它维持平衡的效率更高

B 树:物理上是多叉树,但逻辑上是一个 BST 。用于高效 I/O ,如关系型数据库就用 B 树来组织数据结构。
[外链图片转存失败,源站可能有防盗链机制,建议将图片保存下来直接上传(img-Y4j5xgj9-1652852481144)(https://p1-juejin.byteimg.com/tos-cn-i-k3u1fbpfcp/05848109510142829bcdba0b56bcacf8~tplv-k3u1fbpfcp-zoom-in-crop-mark:1956:0:0:0.image?)]
堆
JS 执行时代码中的变量
- 值类型 - 存储到栈
- 引用类型 - 存储到堆

堆的特点:
- 节点的值,总是不大于(或不小于)其父节点的值
- 完全二叉树
[外链图片转存失败,源站可能有防盗链机制,建议将图片保存下来直接上传(img-X8ujUEOm-1652852481145)(https://juejin.cn/img/%E5%AE%8C%E5%85%A8%E4%BA%8C%E5%8F%89%E6%A0%91.png)]
堆,虽然逻辑上是二叉树,但实际上它使用数组来存储的。
[外链图片转存失败,源站可能有防盗链机制,建议将图片保存下来直接上传(img-0F8R4ewh-1652852481145)(https://juejin.cn/img/%E5%A0%86.webp)]
// 上图是一个堆(从小到大),可以用数组表示
const heap = [-1, 10, 14, 25, 33, 81, 82, 99] // 忽略 0 节点
// 节点关系
const parentIndex = Math.floor(i / 2)
const leftIndex = 2 * i
const rightIndex = 2 * i + 1
堆的排序规则,没有 BST 那么严格,这就造成了
- 查询比 BST 慢
- 增删比 BST 快,维持平衡也更快
- 但整体复杂度都是
O(logn)级别,即树的高度
但结合堆的应用场景
- 一般使用内存地址(栈中保存了)来查询,不会直接从根节点搜索
- 堆的物理结构是数组,所以查询复杂度就是
O(1)
总结
- 物理结构是数组(空间更小),逻辑结构是二叉树(操作更快)
- 适用于“堆栈”结构
答案
- 二叉树,可以充分利用二分法
- 二叉树可以同时规避数字和链表的缺点
- 引申到 BST BBST 等其他扩展结构
划重点
- 二分法的神奇力量
- 各个高级数据结构的存在价值、设计初衷
- 数据结构是基本功能
九、斐波那契数列
题目
用 Javascript 计算第 n 个斐波那契数列的值,注意时间复杂度。
分析
斐波那契数列很好理解
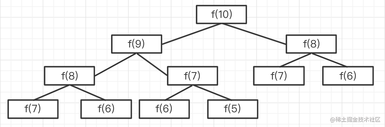
f(0) = 0f(1) = 1f(n) = f(n - 1) + f(n - 2)前两个值的和
递归计算
但这种方式会导致很多重复计算。
时间复杂度是 O(2^n) ,爆炸式增长,不可用。(可以试试 n: 100 ,程序会卡死)

优化
不用递归,用循环,记录中间结果。时间复杂度降低到 O(n)
动态规划
即,把一个大问题,拆解为不同的小问题,递归向下。
【注意】一般使用动态规划的思路(递归)分析问题,再转换为循环来解决问题。
三大算法思维
- 贪心(递归)
- 二分
- 动态规划
答案
/**
* @description 斐波那契数列
*/
// /**
// * 斐波那契数列(递归)
// * @param n n
// */
// function fibonacci(n: number): number {
// if (n <= 0) return 0
// if (n === 1) return 1
// return fibonacci(n - 1) + fibonacci(n - 2)
// }
/**
* 斐波那契数列(循环)
* @param n n
*/
export function fibonacci(n: number): number {
if (n <= 0) return 0
if (n === 1) return 1
let n1 = 1 // 记录 n-1 的结果
let n2 = 0 // 记录 n-2 的结果
let res = 0
for (let i = 2; i <= n; i++) {
res = n1 + n2
// 记录中间结果
n2 = n1
n1 = res
}
return res
}
// 功能测试
// console.log(fibonacci(10))
划重点
- 动态规划的思路
- 识别出时间复杂度
扩展
青蛙跳台阶:一只青蛙,一次可以跳 1 个台阶,也可以跳 2 个台阶,问该青蛙跳上 n 级台阶,总共有多少种方式?
分析
f(1) = 1跳 1 级台阶,只有一种方式f(2) = 2跳 2 级台阶,有两种方式f(n) = f(n - 1) + fn(n - 2)跳 n 级,可拆分为两个问题- 第一次跳,要么 1 级,要么 2 级,只有这两种
- 第一次跳 1 级,剩下有
f(n - 1)种方式 - 第一次跳 2 级,剩下有
f(n - 2)种方式
看公式,和斐波那契数列一样。
十、移动 0
题目
定义一个函数,将数组种所有的 0 都移动到末尾,例如输入 [1, 0, 3, 0, 11, 0] 输出 [1, 3, 11, 0, 0, 0]。要求:
- 只移动
0,其他数字顺序不变 - 考虑时间复杂度
- 必须在原数组就行操作
如果不限制“必须在原数组修改”
- 定义
part1part2两个空数组 - 遍历数组,非
0push 到part1,0push 到part2 - 返回
part1.concat(part2)
时间复杂度 O(n) 空间复杂度 O(n) ,
所以,遇到类似问题,要提前问面试官:是否能在原数组基础上修改?
传统方式
思路
- 遍历数组
- 遇到
0则 push 到数组末尾 - 然后用 splice 截取掉当前元素
分析性能
- 空间复杂度没有问题
O(1) - 时间复杂度
- 看似是
O(n) - 但实际上
splice和unshift一样,修改数组结构,时间复杂度是O(n) - 总体看来时间复杂度是
O(n^2),不可用
- 看似是
【注意】网上有很多人对这种方式点赞,切不可随意从众,要对思考!
双指针
思路(可画图解释,参考视频讲解)
- 指针1 指向第一个 0 ,指针2 指向第一个非 0
- 把指针1 和 指针2 进行交换
- 指针向后移
性能分析
- 时间复杂度
O(n) - 空间复杂度
O(1)
性能测试,实际对比差距非常大。
答案
使用双指针,保证时间复杂度。
/**
* @description 移动 0 到数组末尾
*/
/**
* 移动 0 到数组的末尾(嵌套循环)
* @param arr number arr
*/
export function moveZero1(arr: number[]): void {
const length = arr.length
if (length === 0) return
let zeroLength = 0
// O(n^2)
for (let i = 0; i < length - zeroLength; i++) {
if (arr[i] === 0) {
arr.push(0)
arr.splice(i, 1) // 本身就有 O(n)
i-- // 数组截取了一个元素,i 要递减,否则连续 0 就会有错误
zeroLength++ // 累加 0 的长度
}
}
}
/**
* 移动 0 到数组末尾(双指针)
* @param arr number arr
*/
export function moveZero2(arr: number[]): void {
const length = arr.length
if (length === 0) return
let i
let j = -1 // 指向第一个 0
for (i = 0; i < length; i++) {
if (arr[i] === 0) {
// 第一个 0
if (j < 0) {
j = i
}
}
if (arr[i] !== 0 && j >= 0) {
// 交换
const n = arr[i]
arr[i] = arr[j]
arr[j] = n
j++
}
}
}
// // 功能测试
// const arr = [1, 0, 3, 4, 0, 0, 11, 0]
// moveZero2(arr)
// console.log(arr)
// const arr1 = []
// for (let i = 0; i < 20 * 10000; i++) {
// if (i % 10 === 0) {
// arr1.push(0)
// } else {
// arr1.push(i)
// }
// }
// console.time('moveZero1')
// moveZero1(arr1)
// console.timeEnd('moveZero1') // 262ms
// const arr2 = []
// for (let i = 0; i < 20 * 10000; i++) {
// if (i % 10 === 0) {
// arr2.push(0)
// } else {
// arr2.push(i)
// }
// }
// console.time('moveZero2')
// moveZero2(arr2)
// console.timeEnd('moveZero2') // 3ms
划重点
- 咨询面试官,确认是否必须要修改原数据?
- 数组是有序结构,不能随意
spliceunshift - 双指针的思路
十一、连续最多的字符
题目
给一个字符串,找出连续最多的字符,以及次数。
例如字符串 'aabbcccddeeee11223' 连续最多的是 e ,4 次。
传统方式
嵌套循环,找出每个字符的连续次数,并记录比较。
时间复杂度看似是 O(n^2),因为是嵌套循环。 但实际上它的时间复杂度是 O(n),因为循环中有跳转。
双指针
画图解释,参考视频讲解。
只有一次循环,时间复杂度是 O(n)
性能测试,发现两者时间消耗一样,循环次数也一样。
其他方式
这个题目网上还有其他的答案
- 正则表达式 —— 正则表达式的效率非常低,可进行性能测试(代码
x-reg.ts) - 使用数组累计各个字符串的长度,然后求出最大值 —— 增加空间复杂度,面试官不会喜欢
【注意】算法尽量用基础代码实现,尽量不要用现成的 API 或语法糖 —— 方便,但你不好直观判断时间复杂度
答案
上述两种方式(嵌套循环和双指针)都可以
/**
* @description 连续字符
*/
interface IRes {
char: string
length: number
}
/**
* 求连续最多的字符和次数(嵌套循环)
* @param str str
*/
export function findContinuousChar1(str: string): IRes {
const res: IRes = {
char: '',
length: 0
}
const length = str.length
if (length === 0) return res
let tempLength = 0 // 临时记录当前连续字符的长度
// O(n)
for (let i = 0; i < length; i++) {
tempLength = 0 // 重置
for (let j = i; j < length; j++) {
if (str[i] === str[j]) {
tempLength++
}
if (str[i] !== str[j] || j === length - 1) {
// 不相等,或者已经到了最后一个元素。要去判断最大值
if (tempLength > res.length) {
res.char = str[i]
res.length = tempLength
}
if (i < length - 1) {
i = j - 1 // 跳步
}
break
}
}
}
return res
}
/**
* 求连续最多的字符和次数(双指针)
* @param str str
*/
export function findContinuousChar2(str: string): IRes {
const res: IRes = {
char: '',
length: 0
}
const length = str.length
if (length === 0) return res
let tempLength = 0 // 临时记录当前连续字符的长度
let i = 0
let j = 0
// O(n)
for (; i < length; i++) {
if (str[i] === str[j]) {
tempLength++
}
if (str[i] !== str[j] || i === length - 1) {
// 不相等,或者 i 到了字符串的末尾
if (tempLength > res.length) {
res.char = str[j]
res.length = tempLength
}
tempLength = 0 // reset
if (i < length - 1) {
j = i // 让 j “追上” i
i-- // 细节
}
}
}
return res
}
// // 功能测试
// const str = 'aabbcccddeeee11223'
// console.info(findContinuousChar2(str))
// let str = ''
// for (let i = 0; i < 100 * 10000; i++) {
// str += i.toString()
// }
// console.time('findContinuousChar1')
// findContinuousChar1(str)
// console.timeEnd('findContinuousChar1') // 219ms
// console.time('findContinuousChar2')
// findContinuousChar2(str)
// console.timeEnd('findContinuousChar2') // 228ms
划重点
- 注意实际的时间复杂度,不要被代码所迷惑
- 双指针的思路(常用于解决嵌套循环)
十二、快速排序
题目
用 Javascript 实现快速排序,并说明时间复杂度。
思路
快速排序是基础算法之一,算法思路是固定的
- 找到中间位置 midValue
- 遍历数组,小于 midValue 放在 left ,大于 midValue 放在 right
- 继续递归,concat 拼接
splice 和 slice
代码实现时,获取 midValue 可以通过 splice 和 slice 两种方式
理论分析,slice 要优于 splice ,因为 splice 会修改原数组。
但实际性能测试发现两者接近。
但是,即便如此还是倾向于选择 slice —— 因为它不会改动原数组,类似于函数式编程
性能分析
快速排序 时间复杂度 O(n*logn) —— 有遍历,有二分
普通的排序算法(如冒泡排序)时间复杂度时 O(n^2)
答案
使用 slice 方案
/**
* @description 快速排序
*/
/**
* 快速排序(使用 splice)
* @param arr number arr
*/
export function quickSort1(arr: number[]): number[] {
const length = arr.length
if (length === 0) return arr
const midIndex = Math.floor(length / 2)
const midValue = arr.splice(midIndex, 1)[0]
const left: number[] = []
const right: number[] = []
// 注意:这里不用直接用 length ,而是用 arr.length 。因为 arr 已经被 splice 给修改了
for (let i = 0; i < arr.length; i++) {
const n = arr[i]
if (n < midValue) {
// 小于 midValue ,则放在 left
left.push(n)
} else {
// 大于 midValue ,则放在 right
right.push(n)
}
}
return quickSort1(left).concat(
[midValue],
quickSort1(right)
)
}
/**
* 快速排序(使用 slice)
* @param arr number arr
*/
export function quickSort2(arr: number[]): number[] {
const length = arr.length
if (length === 0) return arr
const midIndex = Math.floor(length / 2)
const midValue = arr.slice(midIndex, midIndex + 1)[0]
const left: number[] = []
const right: number[] = []
for (let i = 0; i < length; i++) {
if (i !== midIndex) {
const n = arr[i]
if (n < midValue) {
// 小于 midValue ,则放在 left
left.push(n)
} else {
// 大于 midValue ,则放在 right
right.push(n)
}
}
}
return quickSort2(left).concat(
[midValue],
quickSort2(right)
)
}
// // 功能测试
// const arr1 = [1, 6, 2, 7, 3, 8, 4, 9, 5]
// console.info(quickSort2(arr1))
// // 性能测试
// const arr1 = []
// for (let i = 0; i < 10 * 10000; i++) {
// arr1.push(Math.floor(Math.random() * 1000))
// }
// console.time('quickSort1')
// quickSort1(arr1)
// console.timeEnd('quickSort1') // 74ms
// const arr2 = []
// for (let i = 0; i < 10 * 10000; i++) {
// arr2.push(Math.floor(Math.random() * 1000))
// }
// console.time('quickSort2')
// quickSort2(arr2)
// console.timeEnd('quickSort2') // 82ms
// // 单独比较 splice 和 slice
// const arr1 = []
// for (let i = 0; i < 10 * 10000; i++) {
// arr1.push(Math.floor(Math.random() * 1000))
// }
// console.time('splice')
// arr1.splice(5 * 10000, 1)
// console.timeEnd('splice')
// const arr2 = []
// for (let i = 0; i < 10 * 10000; i++) {
// arr2.push(Math.floor(Math.random() * 1000))
// }
// console.time('slice')
// arr2.slice(5 * 10000, 5 * 10000 + 1)
// console.timeEnd('slice')
划重点
- 排序算法(基本功)
- 二分法的时间复杂度
- 注意数组的操作(
splicevsslice)
十三、1-10000 之间的对称数(回文)
题目
打印 1-10000 之间的对称数
使用数组反转
- 数字转换为字符串
- 字符串转换为数组 reverse ,再 join 生成字符串
- 比较前后的字符串
使用字符串头尾比较
- 数字转换为字符串
- 字符串头尾比较
还可以使用栈(但栈会用到数组,性能不如直接操作字符串)
- 数字转换为字符串,求长度
- 如果长度是偶数,则用栈比较
- 如果长度是奇数,则忽略中间的数字,其他的用栈比较
生成反转数
- 通过
%和Math.floor将数字生成一个反转数 - 比较前后的数字
性能分析
时间复杂度看似相当,都是 O(n)
但 方案1 涉及到了数组的转换和操作,就需要耗费大量的时间
- 数组 reverse 需要时间
- 数组和字符串的转换需要时间
方案 2 3 比较,数字操作最快。电脑的原型就是计算器,所以处理数字是最快的。
答案
第三种方案,参考 palindrome-number.ts
/**
* @description 对称数
*/
/**
* 查询 1-max 的所有对称数(数组反转)
* @param max 最大值
*/
export function findPalindromeNumbers1(max: number): number[] {
const res: number[] = []
if (max <= 0) return res
for (let i = 1; i <= max; i++) {
// 转换为字符串,转换为数组,再反转,比较
const s = i.toString()
if (s === s.split('').reverse().join('')) {
res.push(i)
}
}
return res
}
/**
* 查询 1-max 的所有对称数(字符串前后比较)
* @param max 最大值
*/
export function findPalindromeNumbers2(max: number): number[] {
const res: number[] = []
if (max <= 0) return res
for (let i = 1; i <= max; i++) {
const s = i.toString()
const length = s.length
// 字符串头尾比较
let flag = true
let startIndex = 0 // 字符串开始
let endIndex = length - 1 // 字符串结束
while (startIndex < endIndex) {
if (s[startIndex] !== s[endIndex]) {
flag = false
break
} else {
// 继续比较
startIndex++
endIndex--
}
}
if (flag) res.push(i)
}
return res
}
/**
* 查询 1-max 的所有对称数(翻转数字)
* @param max 最大值
*/
export function findPalindromeNumbers3(max: number): number[] {
const res: number[] = []
if (max <= 0) return res
for (let i = 1; i <= max; i++) {
let n = i
let rev = 0 // 存储翻转数
// 生成翻转数
while (n > 0) {
rev = rev * 10 + n % 10
n = Math.floor(n / 10)
}
if (i === rev) res.push(i)
}
return res
}
// 功能测试
// console.info(findPalindromeNumbers3(200))
// 性能测试
console.time('findPalindromeNumbers1')
findPalindromeNumbers1(100 * 10000)
console.timeEnd('findPalindromeNumbers1') // 408ms
console.time('findPalindromeNumbers2')
findPalindromeNumbers2(100 * 10000)
console.timeEnd('findPalindromeNumbers2') // 53ms
console.time('findPalindromeNumbers3')
findPalindromeNumbers3(100 * 10000)
console.timeEnd('findPalindromeNumbers3') // 42ms
划重点
- 尽量不要使用内置 API ,不好判断时间复杂度
- 尽量不要转换数据格式,尤其注意数组(有序结构,不能乱来~)
- 数字操作最快
十四、搜索单词
字符串前缀匹配
题目
请描述算法思路,不要求写出代码。
- 先给一个英文单词库(数组),里面有几十万个英文单词
- 再给一个输入框,输入字母,搜索单词
- 输入英文字母,要实时给出搜索结果,按前缀匹配
要求
- 尽量快
- 不要使用防抖(输入过程中就及时识别)
常规思路
keyup 之后,拿当前的单词,遍历词库数组,通过 indexOf 来前缀匹配。
性能分析
- 算法思路的时间复杂度是
O(n) - 外加
indexOf也需要时间复杂度。实际的复杂度要超过O(n)
优化数据结构
英文字母一共 26 个,可按照第一个字母分组,分为 26 组。这样搜索次数就减少很多。
可按照第一个字母分组,那也可以按照第二个、第三个字母分组。
即,在程序初始化时,把数组变成一个树,然后按照字母顺序在树中查找。
const arr = [
'abs',
'arab',
'array',
'arrow',
'boot',
'boss',
// 更多...
]
const obj = {
a: {
b: {
s: {}
},
r: {
a: {
b: {}
},
r: {
a: {
y: {}
},
o: {
w: {}
}
}
}
},
b: {
o: {
o: {
t: {}
},
s: {
s: {}
}
}
},
// 更多...
}
这样时间复杂度就大幅度减少,从 O(n) 降低到 O(m) (m 是单词的最大长度)
划重点
- 对于已经明确的范围的数据,可以考虑使用哈希表
- 以空间换时间
十五、数字千分位
题目
将数字按照千分位生成字符串,即每三位加一个逗号。不考虑小数。
如输入数字 78100200300 返回字符串 '78,100,200,300'
分析
- 使用数组
- 使用正则表达式
- 使用字符串拆分
性能分析
- 数组转换,影响性能
- 正则表达式,性能较差
- 操作字符串,性能较好
答案
方案二,参考 thousands-format.ts
/**
* @description 千分位格式化
*/
/**
* 千分位格式化(使用数组)
* @param n number
*/
export function format1(n: number): string {
n = Math.floor(n) // 只考虑整数
const s = n.toString()
const arr = s.split('').reverse()
return arr.reduce((prev, val, index) => {
if (index % 3 === 0) {
if (prev) {
return val + ',' + prev
} else {
return val
}
} else {
return val + prev
}
}, '')
}
/**
* 数字千分位格式化(字符串分析)
* @param n number
*/
export function format2(n: number): string {
n = Math.floor(n) // 只考虑整数
let res = ''
const s = n.toString()
const length = s.length
for (let i = length - 1; i >= 0; i--) {
const j = length - i
if (j % 3 === 0) {
if (i === 0) {
res = s[i] + res
} else {
res = ',' + s[i] + res
}
} else {
res = s[i] + res
}
}
return res
}
// // 功能测试
// const n = 10201004050
// console.info('format1', format1(n))
// console.info('format2', format2(n))
划重点
- 从尾向头计算,和日常遍历的顺序相反
- 慎用数组操作
- 慎用正则表达式
十六、切换字母大小写
题目
切换字母大小写,输入 'aBc' 输出 'AbC'
分析
需要判断字母是大写还是小写
- 正则表达式
charCodeAt获取 ASCII 码(ASCII 码表,可以网上搜索)
性能分析
- 正则表达式性能较差
- ASCII 码性能较好
答案
使用 charCodeAt ,参考代码 switch-case.ts
/**
* @description 切换字母大小写
* @author 双越老师
*/
/**
* 切换字母大小写(正则表达式)
* @param s str
*/
export function switchLetterCase1(s: string): string {
let res = ''
const length = s.length
if (length === 0) return res
const reg1 = /[a-z]/
const reg2 = /[A-Z]/
for (let i = 0; i < length; i++) {
const c = s[i]
if (reg1.test(c)) {
res += c.toUpperCase()
} else if (reg2.test(c)) {
res += c.toLowerCase()
} else {
res += c
}
}
return res
}
/**
* 切换字母大小写(ASCII 编码)
* @param s str
*/
export function switchLetterCase2(s: string): string {
let res = ''
const length = s.length
if (length === 0) return res
for (let i = 0; i < length; i++) {
const c = s[i]
const code = c.charCodeAt(0)
if (code >= 65 && code <= 90) {
res += c.toLowerCase()
} else if (code >= 97 && code <= 122) {
res += c.toUpperCase()
} else {
res += c
}
}
return res
}
// // 功能测试
// const str = '100aBcD$#xYz'
// console.info(switchLetterCase2(str))
// // 性能测试
// const str = '100aBcD$#xYz100aBcD$#xYz100aBcD$#xYz100aBcD$#xYz100aBcD$#xYz100aBcD$#xYz'
// console.time('switchLetterCase1')
// for (let i = 0; i < 10 * 10000; i++) {
// switchLetterCase1(str)
// }
// console.timeEnd('switchLetterCase1') // 436ms
// console.time('switchLetterCase2')
// for (let i = 0; i < 10 * 10000; i++) {
// switchLetterCase2(str)
// }
// console.timeEnd('switchLetterCase2') // 210ms
划重点
- 慎用正则表达式
- ASCII 码
十七、小数相加
题目
为何 0.1 + 0.2 !== 0.3
答案
计算机用二进制存储数据。
整数用二进制没有误差,如 9 表示为 1001 。
而有的小数无法用二进制表示,如 0.2 用二进制表示就是 1.10011001100...
所以,累加小数时会出现误差。
这不仅仅是 JS ,所有的计算机语言都这样。
扩展
可以使用第三方库 www.npmjs.com/package/mat…
总结
内容总结
包含了数组、栈、队列、链表、二叉树这些常见的数据结构。 常用的算法思维如贪婪、二分、动态规划,以及如何计算时间复杂度。
划重点
- 有序数据考虑用二分
- 双指针可以解决嵌套循环
注意事项
- 注意区分逻辑结构和物理结构,否则思维会很混乱
- 要有“算法敏感度”,条件反射般的根据数据结构分析时间复杂度
本文是2022年前端算法的不完全指南,涵盖旋转数组、括号匹配、用栈实现队列、链表反转、二分查找等经典算法。强调了算法在前端开发中的重要性,分析了各种算法的实现思路、性能和优化技巧,旨在提升前端开发者在面试和工作中解决实际问题的能力。
5898

被折叠的 条评论
为什么被折叠?



