
能量吸收材料和结构的开发是为了通过变形和损坏来分散或减轻动态载荷的能量,从而保护相关器件免受损害。它们已成为现代技术的重要组成部分,具有广泛的应用,涉及国防、个人防护设备、工业、汽车和航空领域。此外,在性能、重量和人体工程学之间实现良好的平衡通常是吸能材料和结构开发的一个关键目标,因此,许多研究集中在特殊设计和(多)材料解决方案上,如蜂窝结构、拉胀材料、泡沫结构、三周期最小表面结构(TPMS)和张拉整体结构。最近,受自然启发模仿体心立方(BCC)和面心立方(FCC)晶体结构中原子排列的晶格结构由于优异的机械性能引起了广泛研究兴趣。这些结构由立方晶格排列的互连支柱或梁组成,兼具轻质、强度、刚度和能量吸收能力。然而,这些复杂设计的使用通常受到制造工艺的限制。
3D打印无疑已经成为制造这些结构的新技术。通过逐层制造,越来越多的定制结构和创新几何形状得以实现。这项技术的关键优势来自设计自由度,这也是人们越来越感兴趣的原因。此外,该技术可打印多种材料,包括聚合物、金属、玻璃甚至混凝土。3D打印的工艺类型也多种多样,包括立体光刻、选择性激光烧结以及熔融沉积等。熔融沉积(FDM)工艺是一种低成本的消费级3D打印技术,该工艺打印的零件同样具有良好的机械性能,适合多种应用;其次,该工艺原料处理简单,打印部件不需进一步后处理。最后,FDM是一种相对简单且经济高效的技术,可获得广泛使用。
聚合物具有许多优点,包括降低成本和易于设计复杂结构。PLA和ABS是最常使用的两种聚合物,它们具有相对较低的熔化温度,易于通过FDM技术加工。另一方面,Tough-PLA是PLA的改性材料,提高了韧性和抗冲击性,其中添加了增强剂并对PLA的聚合物结构进行了改性,机械性能得以提高。
3D打印蜂窝/晶格结构设计的原理已通过大量研究得到确立,这些研究检查了结构与性能之间的关系,特别是在能量吸收领域。然而,应变率对机械行为的影响也不容忽视,特别是当这些组件可能暴露在严酷的负载环境中时。对碳纤维增强PEEK的动态行为研究发现,随着填充密度的增加,样品的机械强度增加,而变形减少;对PLA的研究发现,韧性会随着应变率的增加而增加。对采用激光烧结3D打印的热塑性弹性体的非线性机械行为(TPE)研究发现,尽管使用了更先进的工艺,但TPE的机械性能根据构建方向的不同而存在显著差异。对激光粉末床熔融(L-PBF)打印的316L不锈钢五种三周期最小表面(TPMS)片基结构在准静态和动态加载条件下的机械性能研究发现,所有五种结构在动态载荷下均表现出改善的机械性能。当前,仍需要对增材制造部件(材料或晶格结构)的动态机械响应进行更多研究,以提供有效的表征方法。
国外的研究人员近期使用FDM技术研究了聚合物晶格结构的机械性能,以探究它们在准静态和动态负载环境下能量吸收应用的潜力。此外,他们尝试建立了两种热塑性原材料的机械行为与3D打印块状样本的准静态/动态行为之间的相关性,以研究它们在准静态和动态下对晶格结构的能量吸收能力的影响装载条件。这些样品使用ABS和Tough-PLA打印,研究还包括评估FDM打印工艺对前驱体长丝机械性能的影响。此外,研究了准静态拉伸和压缩测试下打印方向对样品机械性能的影响,随后测试评估了材料的应变率敏感性。
通过实验,对三种不同晶格结构(BCC、FCC和BCC+FCC)在两种相对密度下的动态和准静态力学性能进行了详细比较。使用落锤对晶格结构进行冲击测试,对两种加载条件下的平台应力和能量吸收值进行分析和比较。

根据ASTMD-637-I标准方法进行拉伸试验的狗骨试样的插图,不同的栅格方向:(a)0°,(b)45°和(c)90°

准静态拉伸试验的实验装置:(a)3D打印试样试验和(b)丝材试验

准静态压缩试验条件:(a)3d打印的样品,(b)晶格结构定位图和(c)准静态压缩试验的实验设置和示意图

分离霍普金斯压力杆测试设置:(a)用于动态压缩测试的霍普金斯压力杆系统的总体视图和(b)霍普金斯压力杆测试设置的示意图

带有单元格的晶格结构的CAD模型说明:基于(a)BCC单元格、(b)FCC单元格和(c)BCC+FCC单元格的晶格结构

3D打印的晶格结构准静态压缩试验的实验装置和示意图

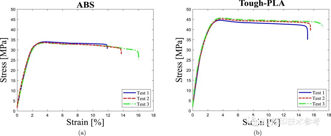
准静态应力-通过对纤维试样进行拉伸试验得出的应变曲线:(a)ABS纤维和(b)Tough PLA

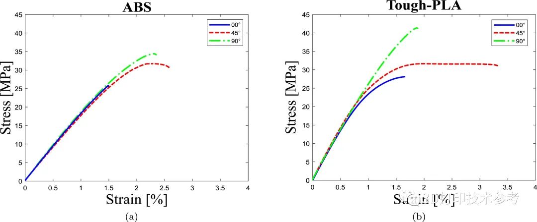
准静态应力----通过对具有不同光栅方向的3d型印刷试样的拉伸试验获得的应变曲线:(a)ABS型试样和(b)Tough PLA试样

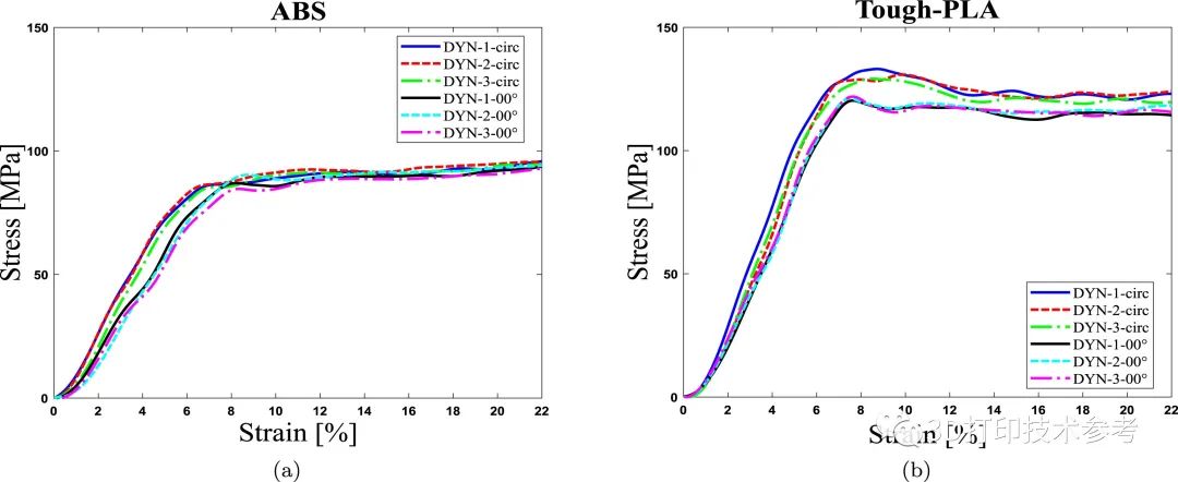
动态应力----在3d打印圆柱形试样上进行的具有不同方向的什压压缩试验所获得的应变曲线:(a)ABS试样和(b)Tough PLA试样

用FDM 3D打印工艺,制造具有不同单元和相对密度的3D打印晶格结构

变形过程:在准静态压缩试验下的3d印刷晶格结构(a)BCC试样,(b)FCC试样和(c)BCC+FCC试样

在动态压缩试验条件下,BCC、FCC、BCC+FCC 3d打印结构的变形过程
拉伸试验发现,FDM工艺对原材料的力学性能有很大影响,试样的晶格取向对材料性能有明显的影响。研究介绍了3D打印的ABS和Tough PLA圆柱体的准静态和高应变速率响应。在改变打印路径时,它们的抗压强度没有显著的差异。结果表明,ABS和Tough PLA在高应变速率动态压缩和准静态压缩下均表现出韧性行为。对于两种材料和所有参数配置,与准静态压缩测试相比,在高应变速率载荷下,屈服应力显著增加。
研究发现,晶格的相对密度在控制晶格结构的压缩和能量吸收性能方面起着关键作用。FCC和BCC+FCC晶格显示出具有高初始峰值应力的拉伸主导曲线。与ABS结构相比,Tough PLA结构表现出明显更大的阻力。
与准静态试验结果相比,跌落试验结果发生了显著变化。应变速率的影响在试验中是显而易见的。当暴露在动态负载下时,这三种拓扑结构表现出脆性行为。由于连接处的应力集中,支柱分离,导致结构连续性丧失,从而导致应力曲线大幅下降。这些现象极大影响了晶格结构在动态载荷下的吸收能。这项研究使未来能够对这些结构进行分析,以便更有效的设计它们来吸收冲击能量。解决压缩载荷期间应力集中问题的一种可能解决方案是采用基于表面的晶格结构,如TPMS,与基于桁架的晶格相比,其表现出更平滑的挤压行为。
参考:Experimental investigation of the quasi-static and dynamic compressive behavior of polymer-based 3D-printed lattice structures
注:本文内容由3D打印技术参考整理编辑,转载请点击转载须知。
欢迎转发

主编微信:2396747576(请注明身份); 硕博千人交流Q群:248112776;网址:www.amreference.com
延伸阅读:
2.ORNL和NASA合作,3D打印一体式月球车车轮,减少组装
4.清华大学最新《Science》:开发出无机材料普适性3D打印新方法


565

被折叠的 条评论
为什么被折叠?



