task3 — 卷积神经网络(CNN)
卷积神经网络(简称CNN)是一类特殊的人工神经网络,是深度学习中重要的一个分支。CNN在很多领域都表现优异,精度和速度比传统计算学习算法高很多。特别是在计算机视觉领域,CNN是解决图像分类、图像检索、物体检测和语义分割的主流模型。
1 卷积层
在二维卷积层中,一个二维输入数组和一个二维核(kernel)数组通过互相关运算输出一个二维数组。

卷积窗从输⼊数组的最左上开始,按从左往右、从上往下的顺序,依次在输入数组上滑动。当卷积窗滑动到某一置时,窗口中的输入子数组与核数组按元素相乘并求和,得到输出数组中相应位置的元素。上图的运算:

2 池化层
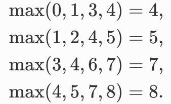
池化层直接计算池化窗⼝内元素的最⼤值或者平均值。

在二维最大池化中,池化窗口从输入数组的最左上方开始,按从左往右、从上往下的顺序,依次在输入数组上滑动。当池化窗口滑动到某一位置时,窗口中的输入子数组的最大值即输出数组中相应位置的元素。上图的运算:

3 LeNet

本文介绍了卷积神经网络(CNN)在计算机视觉领域的核心作用,包括卷积层、池化层的工作原理,以及经典的LeNet、AlexNet和GoogleNet模型的结构特点和改进策略。CNN因其在图像识别和处理上的高效性,成为解决图像分类、物体检测等任务的主流模型。
最低0.47元/天 解锁文章
576

被折叠的 条评论
为什么被折叠?



