1、滴定管的使用:
(1)使用前的准备
洗涤:自来水→洗液→自来水→蒸馏水。
涂凡士林:活塞的大头表面和活塞槽小头的内壁。
检漏:将滴定管内装水至最高标线,夹在滴定管夹上放置2分钟。
酸式滴定管:用滤纸检查活塞两端和管夹是否有水渗出,然后将活塞旋转1800,再检查一次。
碱式滴定管:放置2分钟,如果漏水应更换橡皮管或大小合适的玻璃珠。
润洗:为保证滴定管内的标准溶液不被稀释,应先用标准溶液洗涤滴定管3次,每次5~10mL 。
装液:左手拿滴定管,使滴定管倾斜,右手拿试剂瓶往滴定管中倒溶液,直至充满零刻线以上。
排气泡:酸式滴定管尖嘴处有气泡时,右手拿滴定管上部无刻度处,左手打开活塞,使溶液迅速冲走气泡;碱式滴定管有气泡时,将橡皮塞向上弯曲,两手指挤压玻璃珠,使溶液从管尖喷出,排除气泡。
调零点:调整液面与零刻度线相平,初读数为“0.00mL”。
读数:
a.读数时滴定管应竖直放置;
b.注入或放出溶液时,应静置1~2分钟后再读数;
c.初读数最好为0.00mL;
d.无色或浅色溶液读弯月面最低点,视线应与弯月面水平相切;
e.深色溶液应读取液面上缘最高点;
f.读取时要估读一位。

(2)滴定操作:
将滴定管夹在右边。
酸式滴定管:活塞柄向右,左手从滴定管后向右伸出,拇指在滴定管前,食指及中指在管后,三指平行的轻轻拿住活塞柄。
注意:不要向外用力,以免推出活塞。
碱式滴定管:左手拇指在前,食指在后,捏住橡皮管中玻璃珠的上方,使其与玻璃珠之间形成一条缝隙,溶液即可流出。
注意:不要捏玻璃珠下方的橡皮管,也不可使玻璃珠上下移动,否则空气进入形成气泡。
边滴边摇瓶:滴定操作可在锥形瓶或烧杯内进行。在锥形瓶中进行滴定,用右手的拇指、食指和中指拿住锥形瓶,其余两指辅助在下侧,使瓶底离滴定台高约2~3cm,滴定管下端深入瓶口内约1cm。左手控制滴定速度,便滴加溶液,边用右手摇动锥形瓶,边滴边摇配合好。
滴定操作的注意事项:
①滴定时,最好每次都从0.00 mL开始。
②滴定时,左手不能离开旋塞,不能任溶液自流。
③摇瓶时,应转动腕关节,使溶液向同一方向旋转(左旋、右旋均可)。不能前后振动,以免溶液溅出。摇动还要有一定的速度,一定要使溶液旋转出现一个漩涡,不能摇得太慢,影响化学反应的进行。
④滴定时,要注意观察滴落点周围颜色变化,不要去看滴定管上的刻度变化。
⑤滴定速度控制方面
连续滴加:开始可稍快,呈“见滴成线”,这时为10mL/min,即,每秒3~4滴左右。注意不能滴成“水线”,这样,滴定速度太快。
间隔滴加:接近终点时,应改为一滴一滴的加入,即加一滴摇几下,再加再摇。
半滴滴加:最后是每加半滴,摇几下锥形瓶,直至溶液出现明显的颜色使一滴悬而不落,沿器壁流入瓶内,并用蒸馏水冲洗瓶颈内壁,再充分摇匀。
⑥半滴的控制和吹洗:
用酸管时,可轻轻转动旋塞,使溶液悬挂在出口管嘴上,形成半滴,用锥形瓶内壁将其沾落,再用洗瓶吹洗。
对于碱管,加上半滴溶液时,应先松开拇指和食指,将悬挂的半滴溶液沾在锥形瓶内壁上,再放开无名指和小指,这样可避免出口管尖出现气泡。
滴入半滴溶液时,也可采用倾斜锥形瓶的方法,将附于壁上的溶液涮至瓶中,这样可以避免吹洗次数太多,造成被滴物过度稀释。
2、滴定管校准的基本方法
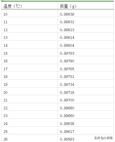
将待校准的滴定管充分洗净,装入蒸馏水至刻度零处,记录水的温度。然后由滴定管放出10mL 水至预先称过质量的具塞瓶中,盖上瓶塞,再称出它的质量(精确到0.01g)。两次质量之差即为放出水的质量。用同样的方法称出滴定管从0到20mL,0到30mL,0到40mL ,0到50mL刻度间水的质量,用实验温度时1mL水的质量来除每次得到水的质量,即可得到相当于滴定管各部分容积的实际毫升数。
例如在15℃由滴定管中放出10.03mL水,其质量为10.04g,又此算出水的实际体积为:10.04/0.99793=10.06(mL) 故滴定管这段容积的误差为10.06-10.03=+0.03mL。使用时应将视容量为10.03 mL,加上校正值+0.03mL,才等于真实容量(10.03+0.03=10.06mL)。
附:在不同温度下1mL纯水的质量


具体参考标准JJG196-2006
3、滴定分析结果总是超出了误差范围怎么办?
总的来说,对于任何滴定分析,都要首先了解什么样的精度要求才是有意义的并且是必须的,之后如果发现一些结果还是超出了误差范围,你就要从以下几点去找原因:
(1)待测样品是否在整个样品中具有代表性?
换句话说,你应该从取样时就开始寻找可能的错误。“分析结果仅代表实际被分析的样品的结果。”也许在实际测量前,样品可能来自于一个没有混合均匀的容器。亦或在取样后,样品暴露在不同的环境条件下。例如样品在滴定前放置不同的时间段,就会吸收不同量的空气中的二氧化碳。在样品转换器上用敞开式的滴定容器时,就应考虑到这一点。因此我们建议先将滴定容器密闭起来,再在滴定开始之前,用一种特殊装置将其打开(Cover- UpTM),就象Rondo样品转换器上的那种。
(2)用多少样品来做分析?对于极少量的样品的分析,天平的性能就至关重要。
那么进行一次最小称样量的测试就可以了解天平是否符合要求。
(3)如果是滴定仪自身的问题,可从以下几个方面来做检查:
a.液管的末端是否有虹吸滴定头,并且工作是否正常?该滴定头是为了防止滴定剂扩散到样品中去。如果失去滴定头,滴定剂就会流入到滴定池中,并和样品反应。但这部分的消耗量是不被计算在内的,因此就能导致比较大的标准偏差。
b.滴定管应检查是否漏气。如果接头没有拧紧或阀的工作不正常,就可能出现漏液。在这种情况下,并不是所有滴定仪馈送的滴定剂都加入到样品中去。由于这种影响不具有重复性,就会导致较大的标准偏差。
c.滴定管中存在有气泡。这通常是由滴定剂中所溶解的气体如CO2、SO2或O2造成的。因此滴定剂在使用前应有个脱气过程,如放置在超声波水浴中。滴定瓶托架作为滴定仪的一个附件可以将滴定瓶提升至与滴定管一样的高度,这就确保在充满滴定管时不会出现负压而造成脱气。卡尔菲休滴定所用试剂由于溶解有SO2,对此极为敏感,因此,在DL31/DL38卡尔菲休滴定仪中,可以适当降低其充液速度。
科学指南针为超过3000家高校和企业提供一站式科研服务。截止2021年6月:服务1049家高校、2388家企业,提供249所高校研究所免费上门取样服务,平均每天处理样品数5000+、 注册会员数18w+、平均4.5天出结果、客户满意度超过98%。
免责声明:部分文章整合自网络,因内容庞杂无法联系到全部作者,如有侵权,请联系删除,我们会在第一时间予以答复,万分感谢。
更多科研干货教程,可以点击下面链接获取哦~
本文详细介绍了滴定管的使用方法,包括清洗、涂油、检漏、润洗、装液、排气泡、调零点和读数等步骤,同时阐述了滴定操作技巧和注意事项。还涵盖了滴定管校准的基本方法以及分析结果超出误差范围时的排查策略。
16

被折叠的 条评论
为什么被折叠?



