题目:
打家劫舍
https://leetcode.cn/problems/house-robber/
你是一个专业的小偷,计划偷窃沿街的房屋。每间房内都藏有一定的现金,影响你偷窃的唯一制约因素就是相邻的房屋装有相互连通的防盗系统,如果两间相邻的房屋在同一晚上被小偷闯入,系统会自动报警。
给定一个代表每个房屋存放金额的非负整数数组,计算你 不触动警报装置的情况下 ,一夜之内能够偷窃到的最高金额。
示例 1:
输入:[1,2,3,1] 输出:4 解释:偷窃 1 号房屋 (金额 = 1) ,然后偷窃 3 号房屋 (金额 = 3)。 偷窃到的最高金额 = 1 + 3 = 4 。
示例 2:
输入:[2,7,9,3,1] 输出:12 解释:偷窃 1 号房屋 (金额 = 2), 偷窃 3 号房屋 (金额 = 9),接着偷窃 5 号房屋 (金额 = 1)。 偷窃到的最高金额 = 2 + 9 + 1 = 12 。
提示:
1 <= nums.length <= 1000 <= nums[i] <= 400
代码:
class Solution {
public int rob(int[] nums) {
int n=nums.length;
if(n>=2) nums[1]=Math.max(nums[0],nums[1]);
for(int i=2;i<n;i++){
nums[i]=Math.max(nums[i-2]+nums[i],nums[i-1]);
}
return nums[n-1];
}
}
思路:
这是一个典型的dp问题,设f[i]是偷盗前i个房屋可以获得的最高金额。
当房间数大于2时,可以将前i个房屋能获得的最大金额分为两种情况。
(1)偷第i个房间,则由题意知道,此时就不能偷第i-1个房间。因为f[i-2]等于偷前i-2个房间可以偷到的最大金额,所以此时偷前i个房间可以获得的最大金额等于偷前i-2个房间能偷到的最大金额加上第i个房间的金额,即f[i]=f[i-2]+nums[i];
(2)不偷第i个房间,此时可以偷第i-1个房间,偷前i个房间能获得的最大金额就相当于偷前i-1个房间可以获得的最大金额,即f[i]=f[i-1];
综合两种情况,取两种情况的最大值,即为偷前i个房间可以获得的最大金额,即:
f[i]=max(f[i-2]+nums[i],f[i-1]);
所以状态转移方程:

最后结果为f[n-1],n为房屋总个数。
题目
打家劫舍 II
https://leetcode.cn/problems/house-robber-ii/
你是一个专业的小偷,计划偷窃沿街的房屋,每间房内都藏有一定的现金。这个地方所有的房屋都 围成一圈 ,这意味着第一个房屋和最后一个房屋是紧挨着的。同时,相邻的房屋装有相互连通的防盗系统,如果两间相邻的房屋在同一晚上被小偷闯入,系统会自动报警 。
给定一个代表每个房屋存放金额的非负整数数组,计算你 在不触动警报装置的情况下 ,今晚能够偷窃到的最高金额。
示例 1:
输入:nums = [2,3,2] 输出:3 解释:你不能先偷窃 1 号房屋(金额 = 2),然后偷窃 3 号房屋(金额 = 2), 因为他们是相邻的。
示例 2:
输入:nums = [1,2,3,1] 输出:4 解释:你可以先偷窃 1 号房屋(金额 = 1),然后偷窃 3 号房屋(金额 = 3)。 偷窃到的最高金额 = 1 + 3 = 4 。
例 3:
输入:nums = [1,2,3] 输出:3
提示:
1 <= nums.length <= 1000 <= nums[i] <= 1000
代码:
class Solution {
public int rob(int[] nums) {
int n=nums.length;
if(n<2){
return maxRob(nums);
}
return Math.max(maxRob(Arrays.copyOfRange(nums,0,n-1)),maxRob(Arrays.copyOfRange(nums,1,n)));
}
int maxRob(int[] nums){
int n=nums.length;
if(n>=2) nums[1]=Math.max(nums[0],nums[1]);
for(int i=2;i<n;i++){
nums[i]=Math.max(nums[i-2]+nums[i],nums[i-1]);
}
return nums[n-1];
}
}
思路:
这个题和上面一个题的思路差不多,只不过因为这个是环形房屋,所以可以将环形房屋拆分成线形房屋,分为两种情况讨论。
这个题和上个不一样的地方在于第一个房屋和最后一个房屋不能同时偷盗,所以分为以下两种情况讨论(设有n个房屋):
(1)偷盗第一个房屋,此时不能偷盗最后一个房屋,所以此时能获得的最大金额为偷盗第1个房屋到第n-1个房屋的最大金额。
(2)偷盗最后一个房屋,此时不能偷盗第一个房屋,所以此时能获得的最大金额为偷盗第2个房屋到第n个房屋的最大金额。
按上个题的思路算出两种情况下获得的最大金额,然后取两种情况的最大值即可。
要注意的一点是当只有一个房屋的时候,直接返回该房屋的金额即可。
题目
打家劫舍 III
https://leetcode.cn/problems/house-robber-iii/
小偷又发现了一个新的可行窃的地区。这个地区只有一个入口,我们称之为 root 。
除了 root 之外,每栋房子有且只有一个“父“房子与之相连。一番侦察之后,聪明的小偷意识到“这个地方的所有房屋的排列类似于一棵二叉树”。 如果 两个直接相连的房子在同一天晚上被打劫 ,房屋将自动报警。
给定二叉树的 root 。返回 在不触动警报的情况下 ,小偷能够盗取的最高金额 。
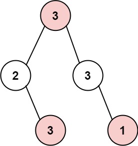
示例 1:

输入: root = [3,2,3,null,3,null,1] 输出: 7 解释: 小偷一晚能够盗取的最高金额 3 + 3 + 1 = 7
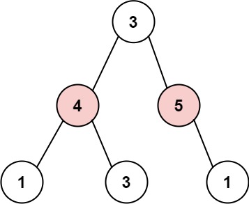
示例 2:

输入: root = [3,4,5,1,3,null,1] 输出: 9 解释: 小偷一晚能够盗取的最高金额 4 + 5 = 9
提示:
- 树的节点数在
[1, 104]范围内 0 <= Node.val <= 104
代码:
class Solution {
public int rob(TreeNode root) {
int[] res=dfs(root);
return Math.max(res[0],res[1]);
}
int[] dfs(TreeNode node){
if(node==null){
return new int[]{0,0};
}
int[] l=dfs(node.left);
int[] r=dfs(node.right);
int[] res=new int[2];
res[0]=Math.max(l[0],l[1])+Math.max(r[0],r[1]);
res[1]=l[0]+r[0]+node.val;
return res;
}
}
思路:
这个题可以设置一个数组,num[0]记录不偷当前节点的房屋能获得的最大金额,num[1]记录偷当前节点能获得的最大金额。记录当前节点左节点为left,右节点为right,对两种情况进行讨论。
(1)当不偷当前房屋的时候,左子节点可以偷盗也可以不偷盗,即从左子节点上的房屋能获得的最大金额为max(left[0],left[1])。同理,右子节点房屋也可以偷盗可以不偷,右子节点房屋能获得的最大金额为max(right[0],right[1])。即num[0]=max(left[0],left[1])+max(right[0],right[1])。
(2)当偷盗当前房屋,左右子节点都不能偷盗,从左右子节点能获得的最大金额分别为left[0]和right[0],再加上当前节点能获得的金额,即为偷盗当前房屋能获得的最大金额。即num[1]=left[0]+right[0]+node.val。
最后计算到根节点,所有房屋能获得的最大金额为max(root[0],root[1])。
文章介绍了LeetCode中三道与打家劫舍相关的编程题目,主要涉及动态规划和二叉树的解题策略。第一题是线性房屋的动态规划问题,第二题考虑了环形房屋的情况,第三题将问题扩展到二叉树结构,要求在不触动警报的情况下计算最高盗窃金额。每题都提供了代码实现和解题思路。
1262





