一,简介
二分查找是细节比较多的,但是你理解细节那么二分查找可以直接秒杀的。二分查找是必须有序才能用吗?答案显然是不太正确的。更准确的说是具有二段性便可以使用二分查找,而且二分查找是有模板的。接下来我将会介绍一些二分查找的类型题目,来帮助大家理解并快速上手二分查找。
二,模板类型
二分查找分为三个模板类型,分别是朴素二分模板,寻找左区间的二分模板,寻找右区间的二分模板。
就拿这一题来讲解朴素模板:704.二分查找

class Solution {
public:
int search(vector<int>& nums, int target) {
int left = 0, right = nums.size() - 1;
//先判断范围
while (left <= right)
{
int mid = (left + right) / 2;
//判断左右区间
if (nums[mid] > target)
{
right = mid - 1;
}
else if (nums[mid] < target)
{
left = mid + 1;
}
else
{
return mid;
}
}
return -1;
}
};
总结:
朴素模板一般不常用记忆即可。

这一题讲解左右端点模板:在排序数组中查找元素的第一个和最后一个位置

class Solution {
public:
vector<int> searchRange(vector<int>& nums, int target) {
int left = 0, right = nums.size() - 1;
int begin, end;
//细节处理如果数组为空,返回-1,-1
if (nums.size() == 0)
{
return { -1,-1 };
}
//进入循环条件
while (left < right)
{
//写出中间值
int mid = left + (right - left) / 2;
if (nums[mid] < target)
{
left = mid + 1;
}
else
{
right = mid;
}
}
//判断数组左端点
if (nums[left] == target)
{
begin = left;
}
else //没有则直接返回-1,-1
{
return { -1,-1 };
}
//判断数组右端点
left = 0, right = nums.size() - 1;
while (left < right)
{
int mid = left + (right - left + 1) / 2;
if (nums[mid] <= target)
{
left = mid;
}
else
{
right = mid - 1;
}
}
return { begin,right };
}
};
模板总结:
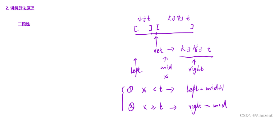
只要写出左右端点模板即可完成编码,当判断左右端点时,如果是mid+1则mid为left+(right-left)/2,如果是mid-1则mid为left+(right-left+1)/2。
三,例题
其它代码分类讨论,接下来我就带大家熟悉二分模板。

例题:35.搜索插入位置

class Solution {
public:
int searchInsert(vector<int>& nums, int target) {
int left=0,right=nums.size()-1;
//进入循环条件
while(left<right)
{
//根据左右端点判断mid
int mid=left+(right-left)/2;
//判断左端点
if(nums[mid]<target)
{
left=mid+1;
}
else
{
right=mid;
}
}
//处理细节,如果没有则插入最后一个位置
if(nums[left]<target)
{
return left+1;
}
else
{
return left;
}
}
};

例题:x的平方根
class Solution {
public:
int mySqrt(int x) {
//处理细节,x小于1,0的平方为0
if(x<1)
{
return 0;
}
//x大于等于1
int left=1,right=x;
while(left<right)
{
//判断右端点
long long mid=left+(right-left+1)/2;
if(mid*mid<=x)
{
left=mid;
}
else
{
right=mid-1;
}
}
return right;
}
};
例题:
山脉数组的峰顶索引
class Solution {
public:
int peakIndexInMountainArray(vector<int>& arr) {
int left=0,right=arr.size()-1;
while(left<right)
{
//判断右端点
int mid=left+(right-left+1)/2;
if(arr[mid]>arr[mid-1])
{
left=mid;
}
else
{
right=mid-1;
}
}
return right;
}
};

总结:这个题就很好表达了二分查找的使用有序并不是必要条件
例题:
寻找峰值
和上一题一样找清楚判断左右端点对于mid的关系
class Solution {
public:
int findPeakElement(vector<int>& nums) {
int left=0,right=nums.size()-1;
while(left<right)
{
//判断左端点
int mid=left+(right-left)/2;
if(nums[mid]<nums[mid+1])
{
left=mid+1;
}
else
{
right=mid;
}
}
return left;
}
};
例题:
寻找旋转排序数组中的最小值
该题需要了解数组是怎样旋转的,分为ab,cd两个段。如果第一个值大于最后一个说明最小值在cd段,反之在ab段,这样就可以判断left和right怎么变化。
class Solution {
public:
int findMin(vector<int>& nums) {
int left=0,right=nums.size()-1;
int n=nums.size();
while(left<right)
{
int mid=left+(right-left)/2;
if(nums[mid]>nums[n-1])
{
left=mid+1;
}
else
{
right=mid;
}
}
return nums[left];
}
};

例题:
点名
该题因为不限制时间所以有多种解法
class Solution {
public:
int takeAttendance(vector<int>& records) {
int n=records.size();
int left=0,right=n-1;
while(left<right)
{
int mid=left+(right-left)/2;
if(records[mid]==mid)
{
left=mid+1;
}
else
{
right=mid;
}
}
//处理细节问题,如果是最后一个数确实需要加1
if(records[left]==left)
{
left++;
return left;
}
else
{
return left;
}
}
};
2688

被折叠的 条评论
为什么被折叠?



