1.冒泡排序的算法思想
-
①比较相邻的元素。如果第一个比第二个大,就交换他们两个。
②对每一对相邻元素做同样的工作,从开始第一对到结尾的最后一对。在这一点,最后的元素应该会是最大的数。
③ 针对所有的元素重复以上的步骤,除了最后一个。
④持续每次对越来越少的元素重复上面的步骤,直到没有任何一对数字需要比较。
-
以数组{36,26, 27,2,4,19,50,48}为例,以下为图解分析:

-
基于对所有排序算法的比较来看,冒泡排序算是所有排序方法中比较简单的一种排序,所以这里就不进行太多的介绍,直接以代码实现:
void Swap(int* p1, int* p2)
{
int tmp = *p1;
*p1 = *p2;
*p2 = tmp;
}
void Bubble_Sort(int* arr, int n)
{
int end = n - 1;
while (end)/* 外循环为排序趟数,n个数进行n-1趟 */
{
int count = 0;
for (int i = 0; i < end; i++)/* 内循环为每趟比较的次数,第i趟比较n-i次 */
{
if (arr[i]>arr[i + 1])
{
Swap(&arr[i], &arr[i + 1]);
count++;
}
}
if (count == 0)
return;
end--;
}
}
void BubbleSort_test()
{
int arr[] = { 4, 3, 2, 8, 0, 9, 7, 8, 5, 4, 8, 9, 5, 6, 4 };
int n = sizeof(arr) / sizeof(int);
Bubble_Sort(arr, n);
printf("冒泡排序结果:");
for (int i = 0; i < n; i++)
{
printf("%d ", arr[i]);
}
printf("\n");
}
3.冒泡排序的特性总结
- 时间复杂度分析
①最优情况下时间复杂度:O( n ),若数组的初始状态是正序的,一趟扫描即可完成排序。所需的关键字比较次数 C 和记录移动次数 M 均达到最小值:

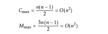
②最差情况下时间复杂度:O( n^2 ),若初始数组是逆序的,需要进行 n-1 趟排序。每趟排序要进行 n-i 次关键字的比较(1≤i≤n-1),且每次比较都必须移动记录三次来达到交换记录位置。在这种情况下,比较次数 C 和移动次数 M 均达到最大值:

- 空间复杂度分析
冒泡排序的空间复杂度为O( 1 )。 - 空间复杂度分析
冒泡排序就是把小的元素往前调或者把大的元素往后调。比较是相邻的两个元素比较,交换也发生在这两个元素之间。所以,如果两个元素相等,是不会再交换的;如果两个相等的元素没有相邻,那么即使通过前面的两两交换把两个相邻起来,这时候也不会交换,所以相同元素的前后顺序并没有改变,所以冒泡排序是一种稳定排序算法。 - 稳定性分析
冒泡排序是稳定的排序。
本文详细介绍了冒泡排序的算法思想,包括其基本步骤、代码实现、时间与空间复杂度分析,以及稳定性特点。通过具体实例,展示了冒泡排序的过程,并对比了其在不同情况下的性能表现。
813

被折叠的 条评论
为什么被折叠?



