普遍性:
一上一下摆动,preDiff = arr[i]-arr[i-1],curDiff = arr[i+1] - arr[i],
摆动的判断条件即为:
(preDiff>0 && curDiff<0)||(preDiff<0 && curDiff>0)

特殊性:
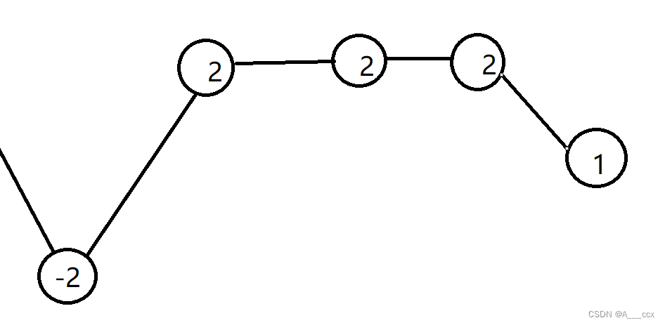
1. 平台元素:由题意知,从 -2 到 1之间是有三个摆动的,可以将前两个 2 去掉,不进行判断,对第三个2进行判断,则判断条件为:
(preDiff>=0 && curDiff<0)||(preDiff<=0 && curDiff>0)

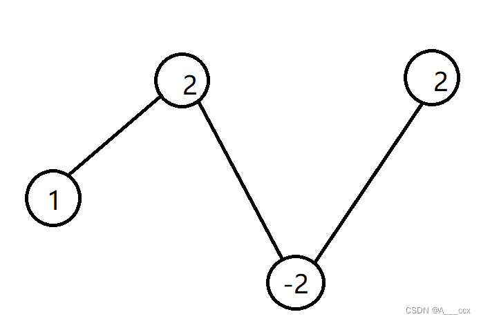
2.首尾元素
由题意知(1)中摆动次数为2,(2)中的摆动次数为1,为了符合以上判断条件,默认统计变量从1开始,只遍历到arr.length -1 ;增加一个虚节点(以上判断条件至少三个元素),值和首元素的值相同。
3.单调平台元素:
这类元素的处理方式是:首先preDiff的值是由curDiff赋给的,此类元素在逻辑上是当preDiff的值的正负性发生变化的时候才有意义,所以将preDiff的值的赋值处写在条件判断成功里面即可。

最终代码:
public int wiggleMaxLength(int[] nums) {
//大体:
int count = 1;//初始值为1,表示右端点有一个摆动。
int preDiff = 0;//将左侧差值设置为0,表示的是将首元素延长一个
for (int i = 0; i < nums.length - 1; i++) {
if ((preDiff >= 0 && (nums[i + 1] - nums[i]) < 0) ||
(preDiff <= 0 && (nums[i + 1] - nums[i]) > 0)) {
//加上等号表示的平台的情况;
count++;
preDiff = (nums[i + 1] - nums[i]);
}
}
return count;
}
1676

被折叠的 条评论
为什么被折叠?



