什么是接收灵敏度?
接收灵敏度是指接收机能够处理的最小输入信号强度,通常以信噪比来衡量。
什么是接收灵敏度?什么是信噪比?举个例子,两个人在交谈的时候,假设A是接收机角色,当B对A说话的同时旁边还有人放视频,B说的话就是有用的信号,视频声音就是噪声是没用的信号,B说话的音量比视频的音量就是“信噪比”。当视频音量远远超过B的音量时,A就听不到B说的话了。接收灵敏度则是A能听清B说话的最小音量。
接收灵敏度是接收机性能的一个关键指标,因为它决定了接收机是否能够在弱信号条件下正常运作。
接收灵敏度为什么越低越好?B更大声说话是否能解决问题?实际上,当B离A较远时(正如我们手机离基站距离变远时),A能听到B的声音是必然减小的。所以A的接收灵敏度越低,A和B的距离更远也能正常沟通。
我们知道灵敏度的计算公式如下:

-
-174(dBm/Hz)是热底噪:A和B聊天时,环境固有的随机噪声,无法避免
-
NF是接收机的系统级联噪声:声音从B发出传输到A耳朵里,中途任何造成B的声音比上噪声的比值下降的综合(距离、墙、任何导致这个比值减小的因素)
-
B是占用带宽:频率带宽打个不太恰当的比喻就是音色,在这个例子里面我们假设的是B的声音和视频声音音色是完全一样的,谁的声音大A就能听清谁的声音
-
SNRmin是基带解调所需要的最低信噪比:这取决于接收机和调制方式,与前端电路无关。只有B的声音比上噪声大于这个门限,A才能听清。这个门限可以认为A的年龄和听力决定了他能听到的最低声音是确定的
从这个公式我们可以得到以下信息:
固定带宽和调制方式后,提高灵敏度唯一的方式就是优化NF。也就是说,当A的听力能力和声音的音色固定了,唯一可以让A能听清B说话所需的音量变小的方式就是减小链路的NF。
如何优化NF提高接收灵敏度?
根据噪声的级联公式:

可以得出第一级放大器的噪声系数F1和增益对总的噪声影响最大,后面的噪声会被稀释掉。
B的声音传输到A,如何减小链路上总的NF?如果B拿一个扩音器讲话,那么这个扩音器就是第一级放大器。扩音器将B的声音扩大倍数就是增益,即使B不说话,扩音器也会输出沙沙响的杂音,即扩音器自己也有噪声系数F1。
从噪声系数F到噪声因子NF的转换参考下面例子。
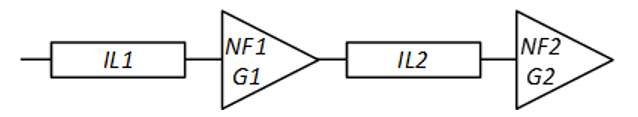
常见的接收机模型,从测试座到transceiver,只有一个外置LNA,可以等效为下图:

我们常见的提高接收灵敏度的方式就是在接收机前面加一个LNA,那么增加LNA为何能提升灵敏度,以及需要注意什么?
LNA改善灵敏度的本质在于降低总的NF,即如NF级联公式所描述的,系统的总噪声主要取决于第一级放大器的噪声。Transceiver的NF要远比LNA的NF大,所以LNA作为第一级放大器可以明显降低系统总的NF。需要注意的是对于transceiver内部集成了LNA的情况下,如果还要增加外置LNA提升灵敏度,需要注意LNA的NF和增益大小,如果LNA的NF较差,且增益较低,有可能导致加了LNA灵敏度反而变差的情况。LNA的噪声系数就可以理解为B手中的扩音器自己产生的噪声,如果扩音器自己产生的噪声放大输出后的沙沙响过大,那么这个扩音器反而成了累赘。所以在LNA的选型中一定要选择低的NF。
总结
通过前端电路改善接收机的接收灵敏度的方式在于优化系统总的噪声,通过增加外置LNA的方式是改善灵敏度的常用措施之一,而在LNA的器件选型中最关键的参数就是NF和增益。艾为的LNA产品采用Smart Linearity Technology (SLT)专利技术可以实现超低噪声系数、高线性的、高增益,这为您的接收机系统优化提供了极大的便利。
345

被折叠的 条评论
为什么被折叠?



