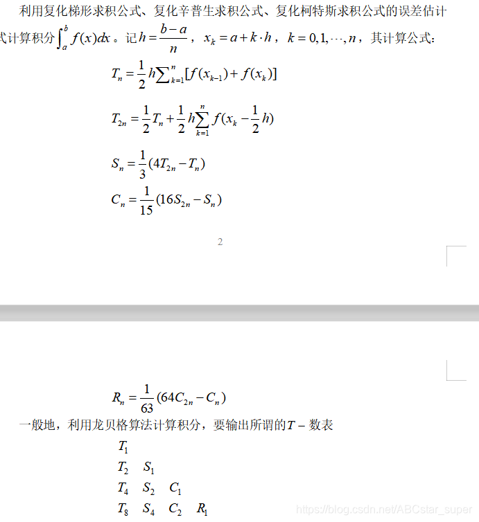
数学原理:

主要代码:

报告内容:


计算方法实验3-Romberg积分
最新推荐文章于 2023-05-17 12:58:32 发布
博客包含数学原理、主要代码和报告内容等信息技术相关关键信息,虽未详细展开,但涵盖了技术实现的理论、代码实践及成果呈现等方面。
博客包含数学原理、主要代码和报告内容等信息技术相关关键信息,虽未详细展开,但涵盖了技术实现的理论、代码实践及成果呈现等方面。
数学原理:

主要代码:

报告内容:



被折叠的 条评论
为什么被折叠?