为什么NLP用Layernorm而不是batchnorm?
面试题
为什么NLP用Layernorm而不是batchnorm?
理论基础
什么是 批量归一化(Batch Normalization,BN)?
-
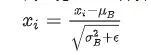
核心原理: BN在每一层的训练过程中,对输入的激活值在小批量(batch)内进行归一化。
-
计算步骤:
-
计算均值和方差:对于给定的批量输入,计算每个神经元的均值μ 和方差σ;
-
归一化:使用计算得到的均值和方差,对输入进行标准化处理,使其均值为0,方差为1。

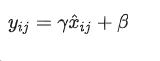
- 缩放和平移:引入可学习的参数 γ 和 β,对标准化后的数据进行缩放和平移,以增加模型表达能力。

简单例子: 假设我们有一个批量大小为2的输入 [2, 4]。我们计算其均值 μB=3 和方差 σ。归一化后得到 [−1,1][-1, 1][−1,1]。然后应用缩放和平移参数,例如 γ=2 和 β=1,最后得到 [−1×2+1,1×2+1]=[−1,3]。
- 应用:主要用于卷积神经网络中,通过对 mini-batch 的每个维度进行标准化,减少内部协变量偏移,提高训练的稳定性。
什么是 层归一化(Layer Normalization,LN)?
-
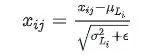
核心原理: LN不在批量维度上进行归一化,而是在特征维度上进行归一化。其步骤如下:
-
计算步骤:
-
计算均值和方差:对于给定输入的每一层,计算每个样本特征维度的均值μ 和方差σ;
-
归一化:使用计算得到的均值和方差,对输入进行标准化处理,使其均值为0,方差为1。

- 缩放和平移:引入可学习的参数 γ 和 β,对标准化后的数据进行缩放和平移

简单例子: 假设我们有一个输入向量 [1, 2, 3]。我们计算其均值μL=2 和方差 σ 。归一化后得到 [-1, 0, 1]。然后应用缩放和平移参数,例如 γ=1 和 β=0,最后得到 [-1, 0, 1]。
- 应用:LayerNorm (Layer Normalization) 主要用于 RNN 和 Transformer 等序列模型中,它对整个层进行标准化,独立于 mini-batch,确保在不同时间步和序列长度下具有一致的归一化效果。
为什么NLP用Layernorm而不是batchnorm?
CV中,数据shape为(n:图片数,channel:通道数,H*W:长 * 宽)。
CV中,把channel,通道维视为特征维,如RGB三原色。把一个batch内全部图片,分别对红、绿、蓝计算出了三个均值和标准差。每张图片宽高确定,符合物理实际意义,符合图片数据特点。
NLP中,数据shape为(batch:句子数,seq_len:句子长度,d:词嵌入维度)。
NLP中,如果也像CV一样,把中间的seq_len句子长度维视为特征维,
-
首先没意义,因为句子不像图片,比如图片计算RGB三原色,还是有实际物理意义,而nlp的文本中每个句子第i个词所在的位置算均值标准差没意义,不同句子第i个词没什么物理意义关系。
-
没法算,不同句子长度不同,有的句子后面全是padding补齐的0,这些padding位置算norm没法算。
所以NLP中采用layernorm,把第一个batch维视为特征维,针对句子之内算norm,最后输出batch个norm。才符合NLP数据的特点。
最后的最后
感谢你们的阅读和喜欢,我收藏了很多技术干货,可以共享给喜欢我文章的朋友们,如果你肯花时间沉下心去学习,它们一定能帮到你。
因为这个行业不同于其他行业,知识体系实在是过于庞大,知识更新也非常快。作为一个普通人,无法全部学完,所以我们在提升技术的时候,首先需要明确一个目标,然后制定好完整的计划,同时找到好的学习方法,这样才能更快的提升自己。
这份完整版的大模型 AI 学习资料已经上传优快云,朋友们如果需要可以微信扫描下方优快云官方认证二维码免费领取【保证100%免费】
大模型知识脑图
为了成为更好的 AI大模型 开发者,这里为大家提供了总的路线图。它的用处就在于,你可以按照上面的知识点去找对应的学习资源,保证自己学得较为全面。

经典书籍阅读
阅读AI大模型经典书籍可以帮助读者提高技术水平,开拓视野,掌握核心技术,提高解决问题的能力,同时也可以借鉴他人的经验。对于想要深入学习AI大模型开发的读者来说,阅读经典书籍是非常有必要的。

实战案例
光学理论是没用的,要学会跟着一起敲,要动手实操,才能将自己的所学运用到实际当中去,这时候可以搞点实战案例来学习。

面试资料
我们学习AI大模型必然是想找到高薪的工作,下面这些面试题都是总结当前最新、最热、最高频的面试题,并且每道题都有详细的答案,面试前刷完这套面试题资料,小小offer,不在话下

640套AI大模型报告合集
这套包含640份报告的合集,涵盖了AI大模型的理论研究、技术实现、行业应用等多个方面。无论您是科研人员、工程师,还是对AI大模型感兴趣的爱好者,这套报告合集都将为您提供宝贵的信息和启示。

这份完整版的大模型 AI 学习资料已经上传优快云,朋友们如果需要可以微信扫描下方优快云官方认证二维码免费领取【保证100%免费】

被折叠的 条评论
为什么被折叠?



