LeetCode 257. 二叉树的所有路径
1、题目
题目链接:257. 二叉树的所有路径
给你一个二叉树的根节点 root ,按 任意顺序 ,返回所有从根节点到叶子节点的路径。
叶子节点 是指没有子节点的节点。
示例 1:

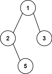
输入:root = [1,2,3,null,5]
输出:["1->2->5","1->3"]
示例 2:
输入:root = [1]
输出:["1"]
提示:
- 树中节点的数目在范围 [1, 100] 内
- -100 <= Node.val <= 100
2、深度优先搜索(递归实现)
思路
这道题目要求返回从二叉树的根节点到所有叶子节点的路径。一种直观的解法是使用深度优先搜索(DFS)。
在深度优先搜索遍历二叉树时,我们需要考虑当前的节点以及它的孩子节点。
- 如果当前节点不是叶子节点,则在当前的路径末尾添加该节点,并继续递归遍历该节点的每一个孩子节点。
- 如果当前节点是叶子节点,则在当前路径末尾添加该节点后我们就得到了一条从根节点到叶子节点的路径,将该路径加入到答案即可。
如此,当遍历完整棵二叉树以后我们就得到了所有从根节点到叶子节点的路径。
代码
#include <iostream>
#include <vector>
#include <string>
using namespace std;
//Definition for a binary tree node.
struct TreeNode {
int val;
TreeNode *left;
TreeNode *right;
TreeNode() : val(0), left(nullptr), right(nullptr) {
}
TreeNode(int x) : val(x), left(nullptr), right(nullptr) {
}
TreeNode(int x, TreeNode *left, TreeNode *right) : val(x), left(left), right(right) {
}
};
// 递归解法
class Solution {
public:
void traversal(TreeNode* cur, vector<int>& path, vector<string>& result) {
// 将当前节点的值添加到path中
path.push_back(cur

最低0.47元/天 解锁文章
1148

被折叠的 条评论
为什么被折叠?



