本专栏持续输出数据结构题目集,欢迎订阅。
题目
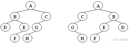
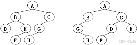
给定两棵树 T1 和 T2。如果 T1 可以通过若干次左右孩子互换就变成 T2,则我们称两棵树是“同构”的。例如图1给出的两棵树就是同构的,因为我们把其中一棵树的结点A、B、G的左右孩子互换后,就得到另外一棵树。而图2就不是同构的。
图1:

图2:

现给定两棵树,请你判断它们是否是同构的。
输入格式:
输入给出2棵二叉树的信息。对于每棵树,首先在一行中给出一个非负整数 n (≤10),即该树的结点数(此时假设结点从 0 到 n−1 编号);随后 n 行,第 i 行对应编号第 i 个结点,给出该结点中存储的 1 个英文大写字母、其左孩子结点的编号、右孩子结点的编号。如果孩子结点为空,则在相应位置上给出 “-”。给出的数据间用一个空格分隔。注意:题目保证每个结点中存储的字母是不同的。
输出格式:
如果两棵树是同构的,输出“Yes”,否则输出“No”。
输入样例1(对应图1):
8
A 1 2
B 3 4
C 5 -
D - -
E 6 -
G 7 -
F - -
H - -
8
G - 4
B 7 6
F - -
A 5 1
H - -
C 0 -
D - -
E 2 -
输出样例1:
Yes
输入样例2(对应图2):
8
B 5 7
F - -
A 0 3
C 6 -
H - -
D - -
G 4 -
E 1 -
8
D 6 -
B 5 -
E - -
H - -
C 0 2
G - 3
F - -
A 1 4
输出样例2:
No
代码
#include <stdio.h>
#include <stdlib.h>
#include <string.h>
#define MAX_N 10
typedef struct TreeNode {
char data;
int left;
int right;
} TreeNode;
// 读取并构建树,返回根节点索引
int buildTree(TreeNode *tree) {
int n;
scanf("%d", &n);
getchar(); // 消耗换行符
if (n == 0) return -1; // 空树返回-1
int check[MAX_N] = {0};
for (int i = 0; i < n; i++) {
char left, right;
scanf("%c %c %c", &tree[i].data, &left, &right);
getchar(); // 消耗换行符
// 处理左子节点
if (left == '-') {
tree[i].left = -1;
} else {
tree[i].left = left - '0';
check[tree[i].left] = 1;
}
// 处理右子节点
if (right == '-') {
tree[i].right = -1;
} else {
tree[i].right = right - '0';
check[tree[i].right] = 1;
}
}
// 找到根节点(未被任何节点指向的节点)
int root = -1;
for (int i = 0; i < n; i++) {
if (!check[i]) {
root = i;
break;
}
}
return root;
}
// 判断两棵树是否同构
int isIsomorphic(TreeNode *T1, int r1, TreeNode *T2, int r2) {
// 两个空树同构
if (r1 == -1 && r2 == -1) return 1;
// 一个空树一个非空树不同构
if ((r1 == -1 && r2 != -1) || (r1 != -1 && r2 == -1)) return 0;
// 根节点数据不同则不同构
if (T1[r1].data != T2[r2].data) return 0;
// 情况1:左子树和右子树都不交换
// 情况2:左子树和右子树交换
return (isIsomorphic(T1, T1[r1].left, T2, T2[r2].left) &&
isIsomorphic(T1, T1[r1].right, T2, T2[r2].right)) ||
(isIsomorphic(T1, T1[r1].left, T2, T2[r2].right) &&
isIsomorphic(T1, T1[r1].right, T2, T2[r2].left));
}
int main() {
TreeNode T1[MAX_N], T2[MAX_N];
int r1 = buildTree(T1);
int r2 = buildTree(T2);
if (isIsomorphic(T1, r1, T2, r2)) {
printf("Yes\n");
} else {
printf("No\n");
}
return 0;
}
279

被折叠的 条评论
为什么被折叠?



