引言
C语言是一门面向过程的、抽象化的通用程序设计语言,广泛应用于底层开发。它在编程语言中具有举足轻重的地位。
此文为【C语言必知必会】子系列第四篇,基于进行C语言选择结构的编程题专项练习,结合专题优质题目,带领读者从0开始,深度掌握知识点。

文章目录
1️⃣ 前言
在【C语言你还没卷起来?】系列中,我们学习了顺序结构、选择结构、循环结构等,同时也通过专项练习进行了知识点的巩固和手敲代码的锻炼。
在子系列中,我们将基于PTA教学平台,向C语言学习者提供更优质的题目与更巧妙、精髓的解题思想与方法。
PTA是一个程序设计类实验辅助教学平台,由千名老师共同建设,里面包含了上万道高质量题目,用户量达百万。
在本讲中,将深入讲解选择结构的编程题,在思想上引领读者,带领读者在理论结合实际的基础上更好地学习、吸收、掌握C语言。
2️⃣PTA专项练习
接下来,开始我们的选择结构专篇练习。
1.两个数的简单计算器
本题要求编写一个简单计算器程序,可根据输入的运算符,对2个整数进行加、减、乘、除或求余运算。题目保证输入和输出均不超过整型范围。
输入格式:
输入在一行中依次输入操作数1、运算符、操作数2,其间以1个空格分隔。操作数的数据类型为整型,且保证除法和求余的分母非零。
输出格式:
当运算符为+、-、*、/、%时,在一行输出相应的运算结果。若输入是非法符号(即除了加、减、乘、除和求余五种运算符以外的其他符号)则输出ERROR。
输入样例1:
-7 / 2
输出样例1:
-3
输入样例2:
3 & 6
输出样例2:
ERROR
解题思路:
使用switch-case语句即可
#include <stdio.h>
int main()
{
int a,b;
char c;
scanf("%d %c %d",&a,&c,&b);
switch(c)
{
case'+':
printf("%d",a+b);
break;
case'-':
printf("%d",a-b);
break;
case'*':
printf("%d",a*b);
break;
case'/':
printf("%d",a/b);
break; case'%':
printf("%d",a%b);
break;
default:
printf("ERROR");
break;
}
}
程序运行如下:

2.计算个人所得税
假设个人所得税为:税率×(工资−1600)。请编写程序计算应缴的所得税,其中税率定义为:
当工资不超过1600时,税率为0;
当工资在区间(1600, 2500]时,税率为5%;
当工资在区间(2500, 3500]时,税率为10%;
当工资在区间(3500, 4500]时,税率为15%;
当工资超过4500时,税率为20%。
输入格式:
输入在一行中给出非负工资。
输出格式:
在一行输出个人所得税,精确到小数点后2位。
输入样例1:
1600
输出样例1:
0.00
输入样例2:
1601
输出样例2:
0.05
输入样例3:
3000
输出样例3:
140.00
输入样例4:
4000
输出样例4:
360.00
输入样例5:
5000
输出样例5:
680.00
解题思路:选择结构采用if-else语句即可
代码如下:
#include<stdio.h>
int main()
{
int a;
double b;
scanf("%d",&a);
if(a<=1600) b=0;
else if(a<=2500) b=(a-1600)*0.05;
else if(a<=3500) b=(a-1600)*0.1;
else if(a<=4500) b=(a-1600)*0.15;
else b=(a-1600)*0.2;
printf("%.2f",b);
return 0;
}
程序运行结果:

3.计算天数
本题要求编写程序计算某年某月某日是该年中的第几天。
输入格式:
输入在一行中按照格式“yyyy/mm/dd”(即“年/月/日”)给出日期。注意:闰年的判别条件是该年年份能被4整除但不能被100整除、或者能被400整除。闰年的2月有29天。
输出格式:
在一行输出日期是该年中的第几天。
输入样例1:
2009/03/02
输出样例1:
61
输入样例2:
2000/03/02
输出样例2:
62
解题思路:先判断是否为闰年,进而确定二月的天数
#include<stdio.h>
int main()
{
int a,b,c,d;
scanf("%d/%d/%d",&a,&b,&c);
if(a%4==0 && a%100!=0) d=29;
else if(a%400==0) d=29;
else d=28;
if(b==1) printf("%d",c);
if(b==2) printf("%d",31+c);
if(b==3) printf("%d",31+d+c);
if(b==4) printf("%d",31*2+d+c);
if(b==5) printf("%d",31*2+d+c+30);
if(b==6) printf("%d",31*3+d+c+30);
if(b==7) printf("%d",31*3+d+c+30*2);
if(b==8) printf("%d",31*4+d+c+30*2);
if(b==9) printf("%d",31*5+d+c+30*2);
if(b==10) printf("%d",31*5+d+c+30*3);
if(b==11) printf("%d",31*6+d+c+30*3);
if(b==12) printf("%d",31*6+d+c+30*4);
return 0;
}
程序运行结果:

4.求一元二次方程的根
本题目要求一元二次方程的根,结果保留2位小数。
输入格式:
输入在一行中给出3个浮点系数a、b、c,中间用空格分开。
输出格式:
根据系数情况,输出不同结果:
1)如果方程有两个不相等的实数根,则每行输出一个根,先大后小;
2)如果方程有两个不相等复数根,则每行按照格式“实部+虚部i”输出一个根,先输出虚部为正的,后输出虚部为负的;
3)如果方程只有一个根,则直接输出此根;
4)如果系数都为0,则输出"Zero Equation";
5)如果a和b为0,c不为0,则输出"Not An Equation"。
输入样例1:
2.1 8.9 3.5
输出样例1:
-0.44
-3.80
输入样例2:
1 2 3
输出样例2:
-1.00+1.41i
-1.00-1.41i
输入样例3:
0 2 4
输出样例3:
-2.00
输入样例4:
0 0 0
输出样例4:
Zero Equation
输入样例5:
0 0 1
输出样例5:
Not An Equation
解题思路:均注释于代码中,可逐个分析:
如果a和b都为0,进入第一个条件分支。如果c也为0,则输出"Zero Equation"表示零方程;如果c不为0,则输出"Not An Equation"表示非方程。
如果a为0,进入第二个条件分支。如果c不为0,则计算并输出根的值:c / (-b);如果c为0,则直接输出"0.00"。
如果判别式d大于0,进入第三个条件分支。计算并输出两个实根的值:(sqrt(d) - b) / (2 * a)和((-1) * sqrt(d) - b) / (2 * a)。
如果判别式d等于0,进入第四个条件分支。如果b不为0,则计算并输出根的值:b / (-2 * a);如果b为0,则直接输出"0.00"。
如果判别式d小于0,进入最后一个条件分支。如果b不为0,则计算并输出共轭复根的值:g + f i和g - f i;如果b为0,则实部为0,直接输出"0.00 + f i"和"0.00 - f i"。
代码如下:
#include<stdio.h>
#include<math.h>
int main()
{
double a, b, c, d, x1, x2, e, f, g;
// 读取输入的系数a、b和c
scanf("%lf %lf %lf", &a, &b, &c);
// 计算判别式d
d = b * b - 4 * a * c;
e = (-1) * d;
if (a == 0 && b == 0)
{
// 当a和b均为0时
if (c == 0)
printf("Zero Equation"); // 输出"零方程"
else
printf("Not An Equation"); // 输出"非方程"
}
else
{
if (a == 0)
{
// 当a为0时
if (c != 0)
printf("%.2f", c / (-b)); // 输出"c/(-b)"
else
printf("0.00"); // 输出"0.00"
}
else if (d > 0)
{ // a不为0时
// 当判别式大于0时,方程有两个不同实根
x1 = (sqrt(d) - b) / (2 * a);
x2 = ((-1) * sqrt(d) - b) / (2 * a);
// 输出两个实根
printf("%.2f\n%.2f", x1, x2);
}
else if (d == 0)
{
// 当判别式等于0时,方程有两个相同实根
if (b != 0)
printf("%.2f", b / (-2 * a)); // 输出"b/(-2*a)"
else
printf("0.00"); // 输出"0.00"
}
else
{
// 当判别式小于0时,方程有共轭复根
if (b != 0)
{
f = sqrt(e) / (2 * a);
g = b / (-2 * a);
// 输出共轭复根
printf("%.2f+%.2fi\n%.2f-%.2fi", g, f, g, f);
}
else
{
// 如果b等于0,则实部为0
printf("0.00+%.2fi\n0.00-%.2fi", f, f);
}
}
}
return 0;
}
程序运行结果:

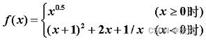
5.计算分段函数[2]
本题目要求计算下列分段函数f(x)的值:

注:可在头文件中包含math.h,并调用sqrt函数求平方根,调用pow函数求幂。
输入格式:
输入在一行中给出实数x。
输出格式:
在一行中按“f(x) = result”的格式输出,其中x与result都保留两位小数。
输入样例1:
10
输出样例1:
f(10.00) = 3.16
输入样例2:
-0.5
输出样例2:
f(-0.50) = -2.75
按照题目要求即可,代码如下:
#include<stdio.h>
#include<math.h>
int main()
{
double x,y;
scanf("%lf",&x);
if(x>=0) y=sqrt(x);
else y=pow(x+1,2)+2*x+1/x;
printf("f(%.2f) = %.2f",x,y);
return 0;
}
程序运行结果:

6.比较大小
本题要求将输入的任意3个整数从小到大输出。
输入格式:
输入在一行中给出3个整数,其间以空格分隔。
输出格式:
在一行中将3个整数从小到大输出,其间以“->”相连。
输入样例:
4 2 8
输出样例:
2->4->8
简单的互换,代码如下:
#include<stdio.h>
int main()
{
int a,b,c,d;
scanf("%d %d %d",&a,&b,&c);
if(a>b)
{ //使a最小
d=a;
a=b;
b=d;
}
if(a>c)
{ //再把a与c对比 使a最小
d=a;
a=c;
c=d;
}
if(b>c)
{ //再把b与c对比
d=b;
b=c;
c=d;
}
printf("%d->%d->%d",a,b,c);
return 0;
}
7. 12-24小时制
编写一个程序,要求用户输入24小时制的时间,然后显示12小时制的时间。
输入格式:
输入在一行中给出带有中间的:符号(半角的冒号)的24小时制的时间,如12:34表示12点34分。当小时或分钟数小于10时,均没有前导的零,如5:6表示5点零6分。
提示:在scanf的格式字符串中加入:,让scanf来处理这个冒号。
输出格式:
在一行中输出这个时间对应的12小时制的时间,数字部分格式与输入的相同,然后跟上空格,再跟上表示上午的字符串AM或表示下午的字符串PM。如5:6 PM表示下午5点零6分。注意,在英文的习惯中,中午12点被认为是下午,所以24小时制的12:00就是12小时制的12:0 PM;而0点被认为是第二天的时间,所以是0:0 AM。
输入样例:
21:11
输出样例:
9:11 PM
较为简单,根据提示即可,代码如下:
#include<stdio.h>
int main()
{
int a,b;
char c=':';
scanf("%d%c%d",&a,&c,&b);
if(a<12) printf("%d%c%d AM",a,c,b);
else
{
if(a==12) printf("%d%c%d PM",a,c,b);
else printf("%d%c%d PM",a-12,c,b);
}
return 0;
}
程序运行结果:

8.输出闰年
输出21世纪中截止某个年份以来的所有闰年年份。注意:闰年的判别条件是该年年份能被4整除但不能被100整除、或者能被400整除。
输入格式:
输入在一行中给出21世纪的某个截止年份。
输出格式:
逐行输出满足条件的所有闰年年份,即每个年份占一行。输入若非21世纪的年份则输出"Invalid year!"。若不存在任何闰年,则输出“None”。
输入样例1:
2048
输出样例1:
2004
2008
2012
2016
2020
2024
2028
2032
2036
2040
2044
2048
输入样例2:
2000
输出样例2:
Invalid year!
较为简单,代码如下:
#include<stdio.h>
int main()
{
int a,i;
scanf("%d",&a);
if(a<=2000) printf("Invalid year!");
else if(a<2004) printf("None");
else if(a<=2100)
{
for(i=2004;i<=a;i++)
{
if((i%4==0 && i%100!=0)||i%400==0) printf("%d\n",i);
}
}
return 0;
}
程序运行结果:

9.新胖子公式
根据钱江晚报官方微博的报导,最新的肥胖计算方法为:体重(kg) / 身高(m) 的平方。如果超过 25,你就是胖子。于是本题就请你编写程序自动判断一个人到底算不算胖子。
输入格式:
输入在一行中给出两个正数,依次为一个人的体重(以 kg 为单位)和身高(以 m 为单位),其间以空格分隔。其中体重不超过 1000 kg,身高不超过 3.0 m。
输出格式:
首先输出将该人的体重和身高代入肥胖公式的计算结果,保留小数点后 1 位。如果这个数值大于 25,就在第二行输出 PANG,否则输出 Hai Xing。
输入样例 1:
100.1 1.74
输出样例 1:
33.1
PANG
输入样例 2:
65 1.70
输出样例 2:
22.5
Hai Xing
较为简单,代码如下:
#include<stdio.h>
int main()
{
double a,b,c;
scanf("%lf %lf",&a,&b);
c=a/(b*b);
if(c>25) printf("%.1f\nPANG",c);
else printf("%.1f\nHai Xing",c);
return 0;
}
程序运行结果:

10.成绩转换
本题要求编写程序将一个百分制成绩转换为五分制成绩。转换规则:
大于等于90分为A;
小于90且大于等于80为B;
小于80且大于等于70为C;
小于70且大于等于60为D;
小于60为E。
输入格式:
输入在一行中给出一个整数的百分制成绩。
输出格式:
在一行中输出对应的五分制成绩。
输入样例:
90
输出样例:
A
解题思路:使用switch语句即可,也可使用if-else语句
代码如下:
#include<stdio.h>
int main()
{
int a,b;
scanf("%d",&a);
b=a/10;
switch(b)
{
case 10:
case 9:
printf("A");
break;
case 8:
printf("B");
break;
case 7:
printf("C");
break;
case 6:
printf("D");
break;
default:
printf("E");
break;
}
return 0;
}
程序运行结果:

3️⃣ 总结
此文为 【C语言必知必会】子系列第四篇 ,通过以题代练的形式带领读者掌握C语言的选择结构,带领读者从0开始,深度掌握知识点。
以题代练对于C语言的学习是十分重要的,专栏将持续提供优质C语言编程题与理论课的学习,带领读者全方位掌握C语言,读者可订阅专栏持续跟进。
1万+





