285个地级市灯光数据和雾霾数据
1、时间:
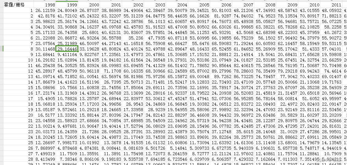
1992-2013年285个地级市灯光数据
1998-2016年285个地级市雾霾数据
2、指标:地级市灯光数据和地级市雾霾数据
3、范围:285个地级市
4、来源:达尔豪斯大学
5、方法说明:
数据来源于达尔豪斯大学通过传感仪对PM2.5进行的测算并利用ArcGIS对处理得到中国各省2000-2016年的PM2.5浓度值,相比于巴特尔研究所的数据更加的精确,数据来源真实可靠。
6、指标解释:
雾霾,是雾和霾的组合词。
雾霾常见于城市。中国不少地区将雾并入霾一起作为灾害性天气现象进行预警预报,统称为“雾霾天气”。雾霾是特定气候条件与人类活动相互作用的结果。
高密度人口的经济及社会活动必然会排放大量细颗粒物(PM 2.5),一旦排放超过大气循环能力和承载度,细颗粒物浓度将持续积聚,此时如果受静稳天气等影响,极易出现大范围的雾霾。
7、下载链接:
285个地级市灯光数据和雾霾数据
https://download.youkuaiyun.com/download/2201_75673146/88315809


该篇文章详细描述了1992年至2013年285个中国地级市的灯光数据以及1998年至2016年的雾霾数据,由达尔豪斯大学提供,基于PM2.5监测和ArcGIS处理,分析了雾霾形成的原因和指标。数据揭示了人口密集区域的环境影响。
141

被折叠的 条评论
为什么被折叠?



